中文English
ISSN 1001-5256 (Print)
ISSN 2097-3497 (Online)
CN 22-1108/R

留言板

尊敬的读者、作者、审稿人, 关于本刊的投稿、审稿、编辑和出版的任何问题, 您可以本页添加留言。我们将尽快给您答复。谢谢您的支持!

姓名
邮箱
手机号码
标题
留言内容
验证码

第41卷 第1期(总291期) 2025年1月
“慢性乙型肝炎的功能性治愈” 重点号
执行主编:庄辉
北京大学医学部

显示方式:
主编致辞
四十华诞 春华秋实———《临床肝胆病杂志》2025年主编致辞
贾继东, 牛俊奇, 高沿航
2025, 41(1): 1-1.
摘要(389) HTML (2087) PDF (166KB)(65)
摘要:
述评
慢性乙型肝炎功能性治愈不是梦
庄辉
2025, 41(1): 2-6. DOI: 10.12449/JCH250101
摘要(1848) HTML (2304) PDF (1656KB)(384)
摘要:
慢性乙型肝炎功能性治愈的定义是在停止抗病毒治疗后至少24周,HBsAg<0.05 IU/mL,血清HBV DNA<10 IU/mL。这需要抑制HBV复制、降低病毒抗原产生,同时恢复对HBV感染的免疫应答。约30%~50%接受核苷(酸)类似物治疗并经严格选择的慢性乙型肝炎患者,加用或单用聚乙二醇干扰素α治疗,或经核苷(酸)类似物有限疗程治疗后HBsAg<100 IU/mL者,可获得功能性治愈。目前有40余种新的抗HBV药物和免疫调节剂正在进行临床试验。抑制HBV复制、降低病毒抗原,以及提高HBV感染免疫应答药物的联合应用,可能是慢性乙型肝炎功能性治愈的理想治疗策略。但确定最佳的联合、用药时间、用药顺序和治疗期限等尚需进一步研究。
专家论坛
乙型肝炎功能性治愈新药: 聚焦反义寡核苷酸和小干扰RNA
梁携儿, 刘智泓, 侯金林
2025, 41(1): 7-14. DOI: 10.12449/JCH250102
摘要(1929) HTML (2643) PDF (716KB)(289)
摘要:
在乙型肝炎治疗领域,现有的核苷(酸)类似物以及聚乙二醇干扰素在功能性治愈方面的疗效较为有限。最近,反义寡核苷酸与小干扰RNA等小核酸药物以全新的作用机制和令人瞩目的早期临床研究疗效,为乙型肝炎的功能性治愈带来了前所未有的突破性进展。反义寡核苷酸和小干扰RNA等小核酸药物可降低HBsAg水平甚至HBsAg转阴。随着HBsAg的减少,可能部分恢复机体的乙型肝炎特异性免疫功能,并可能将单纯的HBsAg清除进一步转化为减少乙型肝炎相关肝脏事件等具有临床价值的硬终点。紧密结合新药背景下HBsAg的动态变化轨迹,进一步优化联合治疗的策略与方案,有望将乙型肝炎功能性治愈转化为提升患者生存率及显著改善其生活质量的最终目标。
慢性乙型肝炎功能性治愈离完全治愈还有多远?
高娜, 高志良
2025, 41(1): 15-23. DOI: 10.12449/JCH250103
摘要(2088) HTML (2360) PDF (1039KB)(361)
摘要:
功能性治愈是目前国内外慢性乙型肝炎的理想抗病毒治疗终点,其外周血HBsAg清除及HBV DNA检测不到并维持24周以上,标志着HBV感染的消退。然而,针对HBsAg清除后的肝内HBV标志物特点尚未有系统性描述。本文针对慢性乙型肝炎功能性治愈的最新定义、血清HBsAg清除后的肝内病毒学标志物特征、血清HBsAg高敏检测意义及低水平HBsAg是否需要治疗等问题等进行阐述,以期提高临床医生对慢性乙型肝炎功能性治愈的认识。
乙型肝炎病毒基因整合对功能性治愈的影响
俞晓琦, 张欣欣
2025, 41(1): 24-29. DOI: 10.12449/JCH250104
摘要(1346) HTML (1930) PDF (618KB)(187)
摘要:
功能性治愈是目前国内外慢性乙型肝炎防治指南推荐的理想治疗目标,被定义为完成有限疗程治疗后,血清HBsAg和HBV DNA持续检测不到、HBeAg阴转、伴或不伴HBsAg血清学转换、肝脏炎症缓解和组织病理学改善、终末期肝病发生率显著降低。HBV可以整合到宿主基因组中持续表达HBsAg,且可发生在慢性HBV感染的早期阶段,因此除了肝组织内难以清除的共价闭合环状DNA外,独立于病毒复制的HBV整合来源的HBsAg可能是慢性乙型肝炎患者在抗病毒治疗后难以实现功能性治愈的重要因素。本文围绕近年来HBV整合方面的研究进展,着重探讨其对功能性治愈的影响。
指南与规范
晚期肝细胞癌免疫靶向联合转化序贯外科治疗专家共识(2024版)
中华预防医学会肝胆胰疾病预防与控制专业委员会, 中国抗癌协会肝癌专业委员会, 北京医学会外科学分会肝脏学组, 等
2025, 41(1): 30-40. DOI: 10.3760/cma.j.cn113884-20240814-00245
摘要(2318) HTML (2440) PDF (1162KB)(299)
摘要:
多达半数的肝细胞癌患者初诊时即为晚期,而对于晚期肝细胞癌尚缺乏有效的根治性治疗措施,患者预后较差。近年来,免疫检查点抑制剂联合抗血管生成靶向药物治疗晚期肝细胞癌已显示出较高的有效率,显著延长了患者的生存期,也为序贯外科根治性手术提供了可能。经转化治疗后序贯根治性肝切除或肝移植治疗,可使患者获得长期生存获益。为了提高肝癌总体人群的远期生存率,实现《“健康中国2030”规划纲要》恶性肿瘤总体5年生存率提高15%的目标,中华预防医学会肝胆胰疾病预防与控制专业委员会、中国抗癌协会肝癌专业委员会、北京医学会外科学分会肝脏学组组织国内相关专业专家,就《基于免疫联合靶向方案的晚期肝细胞癌转化治疗中国专家共识(2021版)》发布以来新的进展进行了深入的讨论,并就相关要点的修改、增补达成新的共识,以进一步指导临床实践,规范医疗行为,推动学科发展。
《2024年亚太肝病学会推荐意见:非肝硬化门静脉纤维化/特发性门静脉高压的诊断和管理》摘译
夏俊琪, 吕哲, 刘成海, 祁兴顺
2025, 41(1): 41-43. DOI: 10.12449/JCH250106
摘要(1089) HTML (2238) PDF (487KB)(199)
摘要:
近期,亚太肝病学会发布了有关非肝硬化门静脉纤维化(NCPF)/特发性门静脉高压(IPH)诊断和管理的推荐意见。该指南主要围绕NCPF/IPH的定义、诊断、组织学特征、自然病史和管理等方面进行了系统阐述,旨在加强当前对NCPF/IPH相关问题的理解,并建立全球共识。本文对指南中的重要声明进行摘译。
病毒性肝炎
恩替卡韦与富马酸丙酚替诺福韦初治慢性乙型肝炎患者的肾功能变化比较及影响因素分析
马仕鹏, 余燕青, 邬小萍, 王亮, 刘丽萍, 张愈靓, 万欣, 葛善飞
2025, 41(1): 44-51. DOI: 10.12449/JCH250107
摘要(1877) HTML (1145) PDF (1093KB)(186)
摘要:
  目的  分析比较恩替卡韦(ETV)与富马酸丙酚替诺福韦(TAF)对初治慢性乙型肝炎(CHB)患者肾功能的影响。  方法  回顾性分析2019年9月—2023年11月于南昌大学第一附属医院感染科门诊接受ETV或TAF治疗至少48周的167例初治CHB患者临床资料。根据患者抗病毒药物分为ETV组(n=117)和TAF组(n=50)。为均衡基线临床资料,采用倾向性评分匹配(PSM)按照2∶1比例进行匹配分析,比较两组患者48周时肾小球滤过率(eGFR)水平及肾功能异常发生率。根据患者48周eGFR水平将患者分为肾功能正常组和异常组。计量资料两组间比较采用成组t检验或Mann-Whitney U检验;计数资料组间比较采用χ2检验或Fisher精确检验。采用多因素Logistic回归分析发生肾功能异常的影响因素,受试者工作特征曲线(ROC曲线)评估各指标预测发生肾功能异常的效能。采用Kaplan-Meier法分析肾功能异常累积发生率,并应用Log-rank检验进行比较。采用重复测量资料的方差分析比较CHB患者抗病毒治疗期间eGFR动态变化情况。  结果  PSM成功匹配150例CHB患者,其中ETV组100例,TAF组50例。基线时,ETV组和TAF组一般资料比较,差异均无统计学意义(P值均>0.05),两组患者基线eGFR分别为(112.29±9.92) mL·min-1·1.73 m-2和(114.72±12.15) mL·min-1·1.73 m-2。48周时两组患者eGFR水平较基线均有下降,ETV组48周eGFR明显低于TAF组[(106.42±14.12) mL·min-1·1.73 m-2 vs (112.25±13.44) mL·min-1·1.73 m-2t=-2.422,P=0.017],肾功能异常发生率明显高于TAF组(17.00% vs 4.00%,χ2=5.092,P=0.024)。将患者分为肾功能正常组(n=131)与异常组(n=19)后,单因素分析结果显示,两组患者年龄(Z=-2.039,P=0.041)、治疗药物(ETV/TAF)(χ2=5.092,P=0.024)、基线eGFR水平(t=4.023,P<0.001)差异均有统计学意义;多因素Logistic回归分析显示,基线eGFR(OR=0.896,95%CI:0.841~0.955,P<0.001)和治疗药物(OR=5.589,95%CI:1.136~27.492,P=0.034)是发生肾功能异常的独立影响因素。基线eGFR预测CHB患者发生肾功能异常的ROC曲线下面积为0.781,cut-off值为105.24 mL·min-1·1.73 m-2,敏感度和特异度分别为73.68%、82.44%。Kaplan-Meier曲线分析结果显示,基线eGFR≤105.24 mL·min-1·1.73 m-2组患者肾功能异常累积发生率高于基线eGFR>105.24 mL·min-1·1.73 m-2组患者(χ2=22.330,P<0.001);ETV组患者肾功能异常累积发生率高于TAF组患者(χ2=4.961,P=0.026)。随着抗病毒治疗启动,ETV组和TAF组患者eGFR均降低(F=5.259,P<0.001),但仅在48周时ETV组eGFR水平明显低于TAF组(t=-2.422,P=0.017);在基线eGFR≤105.24 mL·min-1·1.73 m-2和基线eGFR>105.24 mL·min-1·1.73 m-2的两组患者中,eGFR亦下降(F=5.712,P<0.001),且基线及第12、24、36、48周两组患者eGFR比较,差异均有统计学意义(t值分别为-13.927、-9.780、-8.835、-9.489、-8.953,P值均<0.001)。  结论  对于ETV或TAF初治的CHB患者,ETV抗病毒治疗48周时的肾损伤风险高于TAF治疗。
低病毒载量HBeAg阴性不确定期慢性HBV感染者肝组织病理分析
周路路, 东冰, 辛杰晶, 徐光华, 刘娜
2025, 41(1): 52-56. DOI: 10.12449/JCH250108
摘要(749) HTML (286) PDF (740KB)(77)
摘要:
  目的  分析低病毒载量HBeAg阴性不确定期慢性HBV感染者肝组织病理特征。  方法  选取2013年9月—2021年6月于延安大学附属医院感染病科行肝组织活检的271例低病毒载量HBeAg阴性慢性HBV感染者作为研究对象,比较不同年龄、性别、乙型肝炎家族史、HBsAg及ALT水平患者的肝组织损伤程度。计数资料两组间比较采用χ2检验。  结果  271例HBeAg阴性慢性HBV感染者中86例(31.73%)肝组织炎症活动度≥A2、72例(26.57%)肝纤维化分期≥F2,112例(41.33%)患者存在中、重度肝组织损伤。ALT>20 U/L患者中肝组织炎症活动度≥A2比例高于ALT≤20 U/L患者,差异有统计学意义(χ2=3.938,P=0.047)。不同年龄、性别、乙型肝炎家族史、HBsAg水平患者的肝组织炎症活动度≥A2比例差异均无统计学意义(P值均>0.05);不同年龄、性别、乙型肝炎家族史、HBsAg水平、ALT水平患者的肝纤维化分期≥F2比例差异均无统计学意义(P值均>0.05);进一步对年龄≤30岁和无乙型肝炎家族史患者进行分层分析,结果显示肝组织炎症活动度≥A2比例和肝纤维化分期≥F2比例的组间差异亦无统计学意义(P值均>0.05)。不同年龄、性别、乙型肝炎家族史、HBsAg水平、ALT水平等临床特征患者的肝组织损伤程度差异均无统计学意义(P值均>0.05)。  结论  超过40%的低病毒载量HBeAg阴性慢性HBV感染者肝组织存在显著损伤,不同年龄、性别、乙型肝炎家族史、HBsAg及ALT水平患者的肝组织损伤程度未见明显差异,即使年龄<30岁否认乙型肝炎家族史,患者仍有相当比例的肝组织存在损伤,需要引起临床医师的重视。
HBV相关慢加急性肝衰竭恢复期患者肝组织HBV cccDNA水平及其临床意义
蔡哲凯, 徐龙, 刘文丽, 肖影群, 钟青梅, 张伟, 吴敏
2025, 41(1): 57-62. DOI: 10.12449/JCH250109
摘要(832) HTML (242) PDF (690KB)(73)
摘要:
  目的  观察HBV cccDNA在HBV相关慢加急性肝衰竭(HBV-ACLF)恢复期患者肝组织中的表达水平,并探讨其与HBV标志物、肝组织病理改变的关系。  方法  选取2015年1月—2023年10月在南昌市第九医院住院的HBV-ACLF恢复期患者30例为肝衰竭组,另选取同期9例性别及年龄匹配的慢性乙型肝炎患者(CHB)作为对照组,检测肝组织HBV cccDNA水平,并分析其与临床资料、实验室检查指标的关联性。计量资料两组间比较采用成组t检验或Mann-Whitney U检验;多组间比较采用单因素方差分析或Kruskal-Wallis H检验。计数资料组间比较采用Fisher精确检验。相关性分析采用Spearman相关分析。  结果  肝衰竭组肝组织HBV cccDNA水平显著低于对照组[(-0.92±0.70) log10 copies/cell vs (-0.13±0.91) log10 copies/cell,t=2.761,P=0.009]。肝衰竭组中,血清HBeAg阳性与阴性患者肝组织HBV cccDNA水平比较,差异无统计学意义(P>0.05);肝组织炎症活动度G0~G2级、G3级、G4级患者的肝组织HBV cccDNA水平比较,差异无统计学意义(P>0.05);肝组织纤维化程度S0~S2期、S3期、S4期患者的肝组织HBV cccDNA水平比较,差异无统计学意义(P>0.05);血清HBV DNA阴性与血清HBV DNA阳性患者肝组织HBV cccDNA水平比较,差异无统计学意义(P>0.05)。肝衰竭组肝组织HBV cccDNA水平与肝组织HBV DNA水平呈正相关(r=0.426,P=0.043),与血清HBV DNA水平无明显相关性(P>0.05)。  结论  肝组织HBV cccDNA水平在HBV-ACLF恢复期明显降低,肝组织HBV cccDNA持续稳定存在,较血清及肝组织HBV DNA更能反映HBV的持续感染与复制。
脂肪性肝病
不同亚型非酒精性脂肪性肝病患者代谢性心血管病风险因素的特征分析
高黎黎, 王勇, 严华芳, 王晓亮, 王云峰
2025, 41(1): 63-68. DOI: 10.12449/JCH250110
摘要(961) HTML (278) PDF (647KB)(76)
摘要:
  目的  由于代谢紊乱诱发的心血管事件是非酒精性脂肪性肝病(NAFLD)的首位死因,本研究旨在从代谢角度对不同亚型NAFLD患者的心血管病发生风险的差异进行探索。  方法  利用整群抽样选取上海市浦东新区3家代表性医院进行多中心横断面研究,共收集2022年7月—2023年6月体检资料37 122份,并根据BMI对数据分层处理。计数资料的组间比较采用χ2检验,通过多因素Logistic回归分析不同亚型NAFLD与代谢性心血管病风险因素的相关性。  结果  NAFLD共9 372例(检出率为25.25%),其中超97%的患者被诊断为代谢相关(非酒精性)脂肪性肝病(MAFLD)。亚组分析显示,瘦型、超重型和肥胖型NAFLD检出率分别为7.72%、33.99%和63.56%。肥胖型NAFLD患者合并血压、血糖、TG、HDL及尿酸异常的比例较瘦型及超重型患者高(P值均<0.001)。风险因素中,瘦型NAFLD与TC升高相关(P<0.05),超重型及肥胖型NAFLD与TC异常不相关(P>0.05);肥胖型NAFLD与TG异常不相关,瘦型及超重型NAFLD与TG异常相关(P值均<0.05);各型NAFLD与腰臀比、血压、血糖、LDL、HDL及尿酸异常均相关(P值均<0.05)。  结论  上海市浦东地区不同亚型NAFLD检出率与国内外报道接近,NAFLD的流行病学数据可类推于MAFLD。不同亚型NAFLD在代谢性心血管病风险因素的分布及相关性方面存在一定差异,需结合各型NAFLD的整体代谢特点制定针对性干预措施。
肝脏肿瘤
立体定向放疗联合信迪利单抗和贝伐珠单抗治疗不可切除原发性肝癌的效果分析
张腾, 王权, 李文刚, 段学章
2025, 41(1): 69-74. DOI: 10.12449/JCH250111
摘要(1209) HTML (2095) PDF (1358KB)(80)
摘要:
  目的  探讨立体定向放疗联合信迪利单抗和贝伐珠单抗治疗不可切除肝癌的效果、安全性及预后指标。  方法  选取2022年3月—12月在中国人民解放军总医院第五医学中心放射治疗科接受立体定向放疗联合信迪利单抗和贝伐珠单抗类似物(双达方案)治疗的42例不可切除原发性肝癌患者,给予计划靶区处方剂量为36~50 Gy,分5~6次,连续照射,后序贯双达方案治疗,每3周为1个疗程,直至出现肿瘤进展或严重不良反应。采用Kaplan-Meier法计算总生存率和无进展生存率,并采用Log-rank检验进行比较;Cox比例风险模型分析影响预后的相关因素。  结果  中位随访时间为21.6个月,客观缓解率为69%,疾病控制率为85.7%,中位无进展生存期为10.0个月(95%CI:6.7~13.0),中位总生存期为23.3个月(95%CI:14.7~31.8)。不良反应多为1~2级,未发生致命性不良反应。治疗后6~8周AFP应答组中位总生存期显著优于AFP未应答组(未达到 vs 11.8个月,P=0.007)。多因素分析显示AFP应答与患者良好的预后相关(HR=0.31,95%CI:0.13~0.75,P=0.009)。  结论  对于不可切除肝癌患者,立体定向放疗联合双达方案可改善患者生存且安全性可控,治疗后6~8周AFP水平下降>50%可作为潜在预后指标。
原发性肝癌干预前并发肝性胸腔积液的危险因素及列线图预测模型构建
王远珍, 田仁海, 张映媛, 许丹青, 常丽仙, 刘春云, 刘立
2025, 41(1): 75-83. DOI: 10.12449/JCH250112
摘要(736) HTML (370) PDF (1292KB)(74)
摘要:
  目的  分析原发性肝癌(PHC)干预前并发肝性胸腔积液(HH)的影响因素,构建列线图风险预测模型并进行评价。  方法  回顾性收集2012年10月—2021年10月首次就诊于昆明市第三人民医院并诊断为PHC的353例住院患者的临床资料,根据是否并发HH分为胸腔积液组(n=153)和非胸腔积液组(n=200)。收集PHC患者的一般资料和入院首次临床检测资料。符合正态分布的计量资料2组间比较采用成组t检验;非正态分布的计量资料2组间比较采用Mann-Whitney U检验。计数资料组间比较采用χ2检验或Fisher确切概率法。单因素分析有统计学意义的变量经多重共线性检验后,进行多因素Logistic回归分析确定独立影响因素。使用“rms”程序包建立列线图风险预测模型,使用Hosmer-Lemeshow检验评估模型的拟合度,绘制受试者工作特征曲线。使用“Calibration Curves”程序包绘制校准曲线,使用“rmda”程序包绘制临床决策曲线及临床影响曲线对风险预测模型进行评价。  结果  353例PHC患者中存在胸腔积液有153例,患病率为43.34%。Child-Pugh分级B级(OR=2.652,95%CI:1.050~6.698,P=0.039)、Child-Pugh分级C级(OR=7.963,95%CI: 1.046~60.632,P=0.045)、总蛋白(OR=0.947,95%CI:0.914~0.981,P=0.003)、超敏C反应蛋白(OR=1.007,95%CI:1.001~1.014,P=0.025)、白细胞介素2(OR=0.801,95%CI:0.653~0.981,P=0.032)是PHC干预前并发HH的独立影响因素,据此建立列线图风险预测模型。Hosmer-Lemeshow检验显示该模型具有较好的拟合度(χ2=5.006,P=0.757),该模型的受试者工作特征曲线下面积为0.752(95%CI:0.701~0.803),灵敏度为78.40%,特异度为63.50%。校准曲线显示该模型预测PHC干预前并发HH具有较好的一致性。临床决策曲线和临床影响曲线显示在一定阈值范围内该模型具有较好的临床实用性。  结论  Child-Pugh分级、总蛋白、白细胞介素2、超敏C反应蛋白是PHC干预前发生HH的独立影响因素,据此建立的列线图模型可有效预测发生HH的风险。
415例原发性肝癌中医证候分布规律及影响因素分析
石智尧, 凡晓菲, 高宇, 任少键, 武时瑜, 王晞星
2025, 41(1): 84-91. DOI: 10.12449/JCH250113
摘要(967) HTML (429) PDF (765KB)(69)
摘要:
  目的  探讨原发性肝癌中医证候的影响因素,为肝癌中医辨证及标准化治疗提供理论参考。  方法  选取2019年1月—2023年12月山西省中医药研究院收治的经病理或临床诊断为原发性肝癌的415例患者,对其进行中医辨证分型。计数资料组间比较采用χ2检验。运用无序多分类Logistic回归模型探究肝癌中医证候的影响因素。  结果  415例原发性肝癌患者首发症状以肝区疼痛(31.81%)、腹胀(25.30%)、腹痛(15.18%)、乏力(13.98%)为常见。主要临床症状表现为纳差(70.84%)、乏力(69.16%)、肝区疼痛(67.47%)、眠差(59.04%)、腹胀(53.01%)、便秘(52.53%)等。中医证候在不同性别、病程、临床分期、Child-Pugh分级、是否有肝内转移及肝外转移、是否接受过经导管动脉化疗栓塞(TACE)及射频消融治疗分组中的分布差异均有统计学意义(P值均<0.05)。Logistic回归分析结果显示:性别为男性是湿热蕴结证(OR=2.036,P=0.048)与脾肾阳虚证(OR=5.240,P<0.001)的危险因素;病程<1年为湿热蕴结证(OR=2.837,P=0.004)、气滞血瘀证(OR=2.317,P=0.021)的危险因素,但为脾肾阳虚证(OR=0.385,P=0.005)的保护因素;Child-Pugh A/B级为肝肾阴虚证(OR=0.079,P<0.001)的保护因素;肝内转移为肝肾阴虚证(OR=5.117,P=0.003)、脾肾阳虚证(OR=3.303,P=0.010)的危险因素;接受经肝动脉化疗栓塞术治疗是肝肾阴虚证(OR=0.171,P<0.001)、脾肾阳虚证(OR=0.138,P<0.001)的保护因素;接受射频消融治疗是湿热蕴结证(OR=4.408,P<0.001)与肝肾阴虚证(OR=32.036,P<0.001)的危险因素。  结论  性别、病程、Child-Pugh分级、肝内转移、经肝动脉化疗栓塞术、射频消融是影响肝癌中医证候的主要因素。
索拉非尼和多纳非尼对大鼠体内艾托格列净药代动力学的影响
邓艳茹, 曹格溪, 闫彬, 李颖, 董占军
2025, 41(1): 92-98. DOI: 10.12449/JCH250114
摘要(770) HTML (464) PDF (1361KB)(48)
摘要:
  目的  探究索拉非尼、多纳非尼对艾托格列净在大鼠体内药代动力学的影响,为临床联合用药提供参考。  方法  24只雄性SD大鼠随机分为4组,每组6只。A、B组大鼠分别连续7天灌胃索拉非尼对照溶剂和索拉非尼(100 mg/kg),第7天均灌胃艾托格列净(1.5 mg/kg);C、D组大鼠分别连续7天灌胃多纳非尼对照溶剂和多纳非尼(40 mg/kg),第7天均灌胃艾托格列净(1.5 mg/kg)。于不同时间点从大鼠眼内眦静脉丛取血,采用超高效液相色谱-串联质谱法测定艾托格列净质量浓度并绘制药-时曲线,应用DAS 2.1.1软件非房室模型计算药代动力学参数。符合正态分布的计量资料两组间比较采用成组t检验,非正态分布的计量资料两组间比较采用Mann-Whitney U秩和检验。  结果  与A组比较,B组艾托格列净药-时曲线下面积(AUC0-t )和AUC0-∞均明显增加(P值均<0.05),半衰期(t1/2)、平均滞留时间(MRT0-t )、MRT0-∞均显著延长(P值均<0.05),清除率(CLZ/F)显著降低(P<0.05);与C组比较,D组艾托格列净的AUC0-t 、AUC0-∞均显著增加(P值均<0.01),达峰时间(Tmax)、t1/2、MRT0-t 、MRT0-∞均显著延长(P值均<0.01),表观分布容积(VZ/F)和CLZ/F均显著降低(P值均<0.05)。  结论  索拉非尼和多纳非尼均能影响艾托格列净在大鼠体内的药代动力学过程,明显增加艾托格列净的体内暴露量,临床联合用药时应密切监测疗效及药物不良反应,必要时给予剂量调整,避免潜在的药物相互作用风险。
其他肝病
胆汁淤积性肝病患儿的维生素D水平及临床特点
郭紫云, 杜丽娜, 谢晓暄, 杨燕
2025, 41(1): 99-103. DOI: 10.12449/JCH250115
摘要(982) HTML (526) PDF (628KB)(74)
摘要:
  目的  分析胆汁淤积性肝病患儿的维生素D水平,为该病患儿补充维生素D治疗提供理论依据。  方法  选取2022年1月—2024年1月于首都医科大学附属北京儿童医院中医科初次就诊的胆汁淤积性肝病患儿116例,按照性别、年龄、补充维生素D剂量、病程、病因分别进行分组比较,并收集患儿的血清25-羟基维生素D(25-OH-D)水平及相关生化指标,分析维生素D水平与生化指标的相关性。计数资料组间比较采用χ2检验或Fisher精确概率法。相关分析采用Spearman秩相关。  结果  116例患儿中76例(65.5%)存在维生素D缺乏或不足。维生素D缺乏或不足在男性中占65.7%(46/70),在女性中占65.2%(30/46),差异无统计学意义(χ2=0.003,P=0.956)。维生素D缺乏或不足在从未补充过维生素D患儿中占83.3%(25/30),在每日补充500 IU者中占58.7%(27/46),在每日补充700 IU者中占64.3%(18/28),在每日补充>700 IU者中占50.0%(6/12),差异无统计学意义(χ2=6.460,P=0.091)。不同病因比较结果显示,维生素D缺乏或不足在感染性疾病组占57.7%(15/26),在遗传代谢性疾病组占66.7%(10/15),在药物性肝损伤组占66.7%(6/9),在胆道系统结构异常组占100.0%(8/8),在病因未明组占63.8%(37/58),差异无统计学意义(χ2=5.304,P=0.252)。不同病程比较结果显示,维生素D缺乏或不足在<1个月组占78.4%(29/37),在1~3个月组占54.3%(25/46),在>3~6个月组占53.3%(8/15),在>6个月组占77.8%(14/18),差异无统计学意义(χ2=7.432,P=0.059)。不同年龄段比较结果显示,儿童组维生素D缺乏或不足占比明显高于婴儿组(82.5% vs 52.5%,χ2=9.504,P=0.018)。相关性分析结果显示,血清AST、ALT与25-OH-D无显著相关性(P值均>0.05);血清ALP(r=-0.286,P=0.002)、GGT(r=-0.248,P=0.007)、TBil(r=-0.353,P<0.001)、DBil(r=-0.299,P=0.001)、总胆汁酸(r=-0.236,P=0.011)与25-OH-D均呈负相关;血清钙(r=0.263,P=0.004)、磷(r=0.385,P<0.001)与25-OH-D均呈正相关。  结论  大部分胆汁淤积性肝病患儿存在维生素D缺乏或不足;血清ALP、GGT、TBil、DBil或总胆汁酸水平升高,钙或磷水平降低,对维生素D缺乏或不足具有提示作用。
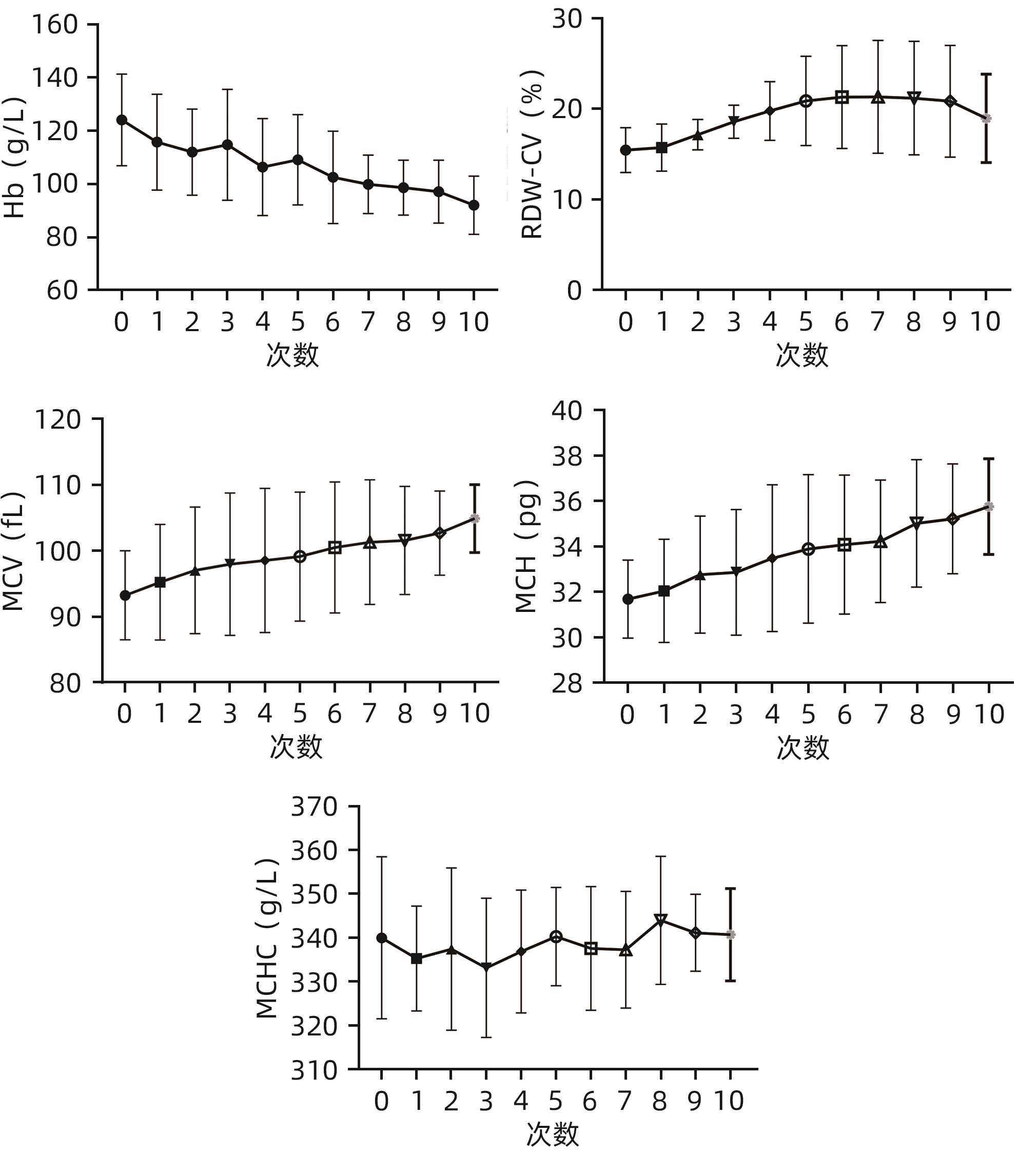
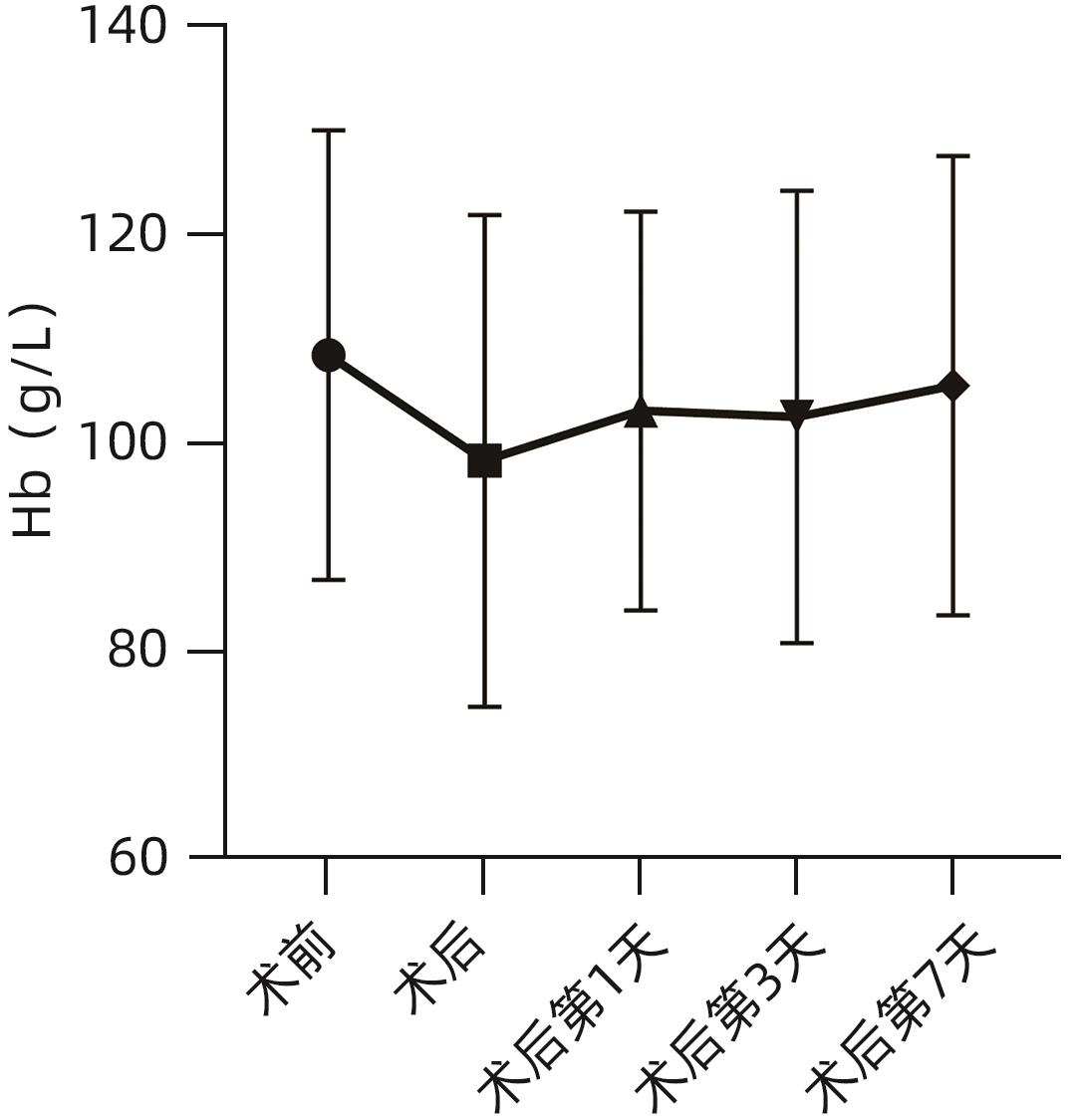
人工肝治疗肝衰竭患者血红蛋白水平的变化及其影响因素
林英, 陈力, 彭菲, 林建辉, 卓传尚
2025, 41(1): 104-109. DOI: 10.12449/JCH250116
摘要(948) HTML (1667) PDF (1037KB)(62)
摘要:
  目的  探讨肝衰竭患者接受人工肝治疗后血红蛋白(Hb)变化趋势和影响因素。  方法  选取2018年1月—12月在福建医科大学孟超肝胆医院接受人工肝治疗的肝衰竭患者106例,分析患者的临床资料与Hb、平均红细胞体积(MCV)、平均红细胞血红蛋白含量(MCH)、平均红细胞血红蛋白浓度(MCHC)和红细胞分布宽度变异系数(RDW-CV)等红细胞参数。重复测量资料组间比较采用单因素重复测量方差分析,两两比较采用配对t检验;偏态分布的计量资料多组间比较采用Kruskal-Wallis H检验,两两比较采用Mann-Whitney U检验。采用单因素及多因素线性回归分析人工肝治疗后Hb降低的影响因素。  结果  106例肝衰竭患者接受606人次人工肝治疗,其中402人次治疗前后均有Hb检测结果,肝衰竭患者接受人工肝治疗术后Hb[(97.49±20.51)g/L]较术前[(109.38±20.22)g/L]下降(t=32.764,P<0.001)。进一步对14例肝衰竭患者纵向观察,末次人工肝治疗术前Hb为(108.50±21.61)g/L,术后次日Hb[(103.14±19.15)g/L]较前恢复,术后第3天Hb[(102.57±21.73)g/L]未进一步回升,术后第7天Hb再次升高[(105.57±22.04)g/L]。肝衰竭患者术后次日Hb水平随着治疗次数的增加而降低(F=8.996,P<0.001),而MCV和MCH随着治疗次数的增加逐渐增高(F值分别为9.154和13.460,P值分别为0.004和<0.001),RDW-CV则先逐渐升高后下降(F=4.520,P=0.032),MCHC呈上下波动,无明显趋势(F=0.811,P=0.494)。多因素线性回归分析显示,人工肝操作时长、模式和首次治疗是人工肝治疗后Hb减少的独立危险因素(P值均<0.05)。  结论  人工肝治疗可影响肝衰竭患者外周Hb水平,应加强肝衰竭人工肝治疗期间的患者血液管理。
胸腺基质淋巴细胞生成素在对乙酰氨基酚诱导的急性肝损伤小鼠模型中的作用机制
陈文赏, 尹明景, 朱继金
2025, 41(1): 110-117. DOI: 10.12449/JCH250117
摘要(849) HTML (219) PDF (2533KB)(51)
摘要:
  目的  探讨胸腺基质淋巴细胞生成素(TSLP)在对乙酰氨基酚(APAP)诱导的急性肝损伤小鼠模型中的作用及其机制。  方法  16只野生型(WT)雄性C57BL/6J小鼠被随机分为2组,分别为control组和APAP组,每组8只;APAP组按照400 mg/kg的剂量腹腔注射APAP溶液建模,control组注射等体积生理盐水,6 h后进行取材。全自动化学分析仪检测血清ALT及AST,实时定量PCR方法检测肝组织炎症因子TNF-α和IL-6的mRNA表达,试剂盒检测肝组织匀浆中谷胱甘肽(GSH)含量,实时定量PCR、Western Blot方法检测TSLP的转录和蛋白水平的表达。另取22只WT雄性C57BL/6J小鼠,随机分为3组,分别为control组(n=8)、APAP组(n=8)和APAP+rTSLP组(n=6),APAP+rTSLP组先腹腔注射rTSLP溶液,同时control组、APAP组注射溶剂PBS;30 min后APAP+rTSLP组和APAP组注射APAP溶液,control组注射等体积生理盐水。检测3组小鼠血清ALT及AST;通过HE染色观察小鼠肝脏的病理变化;试剂盒检测肝组织匀浆中氧化应激指标丙二醛(MDA)、超氧化物歧化酶(SOD)水平;Western Blot方法检测自噬相关蛋白LC3Ⅰ/Ⅱ、Beclin1、P62,以及核因子E2相关因子2(Nrf2)、蛋白激酶B(Akt)、磷酸化-Akt(p-Akt)、哺乳动物雷帕霉素靶蛋白(mTOR)、磷酸化-mTOR(p-mTOR)等分子的蛋白表达。此外,取16只WT雄性C57BL/6J小鼠和16只沉默TSLP受体(TSLPR-/-)小鼠,分为WT小鼠control组、WT小鼠APAP组、TSLPR-/-小鼠control组和TSLPR-/-小鼠APAP组,每组8只,WT小鼠APAP组和TSLPR-/-小鼠APAP组按照400 mg/kg的剂量腹腔注射APAP溶液建模,WT小鼠control组和TSLPR-/-小鼠control组注射等体积生理盐水。检测4组小鼠血清ALT、AST以及肝组织的MDA含量;Western Blot方法检测LC3Ⅰ/Ⅱ、Akt、p-Akt的蛋白表达。计量资料两组间比较采用成组t检验;多组间比较采用单因素方差分析,进一步两两比较采用LSD-t检验。  结果  APAP诱导急性肝损伤小鼠建模成功后,肝脏TSLP的mRNA和蛋白表达水平较control组均升高(P值均<0.01)。在应用rTSLP的研究中,相比于control组,APAP组的ALT、AST明显升高(P值均<0.001),肝组织HE染色呈现沿中央静脉放射状坏死,氧化应激指标SOD、Nrf2蛋白表达下降,MDA水平上升(P值均<0.01);而APAP+rTSLP组较APAP组,ALT、AST下降,肝组织坏死面积减小,SOD、Nrf2蛋白表达升高,MDA下降(P值均<0.05);APAP+rTSLP组与control组相比,LC3Ⅰ/Ⅱ、Beclin1、P62、p-Akt、p-mTOR蛋白表达差异均有统计学意义(P值均<0.01)。在应用TSLPR-/-小鼠的研究中,建模后,TSLPR-/-小鼠相较于WT小鼠,ALT、AST、MDA升高,LC3Ⅰ/Ⅱ、p-Akt蛋白表达下降(P值均<0.01)。  结论  TSLP能够增加自噬,降低氧化应激,从而改善过量APAP引起的急性肝损伤,并且其作用机制可能与PI3K/Akt信号通路的激活和mTOR的抑制有关。
胆道疾病
胆囊切除术后原发性胆总管结石复发患者的临床特征分析
芦建慧, 李勇利, 郭瑞芳, 薛荣泉
2025, 41(1): 118-126. DOI: 10.12449/JCH250118
摘要(1374) HTML (2795) PDF (877KB)(83)
摘要:
  目的  分析原发性胆总管结石复发患者的总体情况、膳食因素等临床特征,为积极预防结石复发提供依据。  方法  回顾性收集2013年1月—2023年12月内蒙古自治区人民医院肝胆胰脾外科因胆石病行胆囊切除治疗的23 730例患者临床资料,其中术后复发334例。按性别分类,对复发患者的复发率、复发周期、复发年龄、复发结石类别,以及一般资料、疾病资料、影像学资料和膳食因素资料进行汇总分析。计量资料2组间比较采用成组t检验,计数资料2组间比较采用χ2检验。  结果  胆囊切除术后原发性胆总管结石复发率为1.41%,复发周期频数最高集中在术后10年,男、女性复发周期差异有统计学意义(t=5.238,P<0.001)。首次诊断为单纯胆囊结石和胆囊合并胆总管结石者其术后结石复发率分别为1.23%和2.76%,差异有统计学意义(χ2=42.104,P<0.001)。复发者中年龄>60岁在总计及男、女性中均占比最高,92%为汉族居民;10%的复发者有胆囊结石家族史;合并症中以伴高血压者占比最高。复发者中吸烟和饮酒者占比分别为76.7%和10.3%。63.8%的复发者BMI正常、23.2%为超重,且距第1次胆囊手术时体质量相比,60.1%的复发者体质量下降,22.9%体质量增加。不同性别复发者的年龄构成、民族分布、居住地类型、合并症、吸烟、饮酒、BMI分类、体质量变化差异均有统计学意义(P值均<0.001)。复发结石类型中多发、单发、泥沙样结石的比例为74∶15∶11;结石大小<1 cm、1~2 cm、>2 cm的占比分别为40.5%、48.8%和10.6%;手术方式为开腹和腹腔镜的比例分别为66.1%和33.9%;各类型血脂异常的比例均低于30%。不同性别复发者的初次结石种类、结石类型、结石大小、手术方式及高密度脂蛋白异常占比差异均有统计学意义(P值均<0.001)。影像学资料分析发现胆道结构异常者仅4例,表现为胆囊管长而弯曲,术后73.1%者伴有胆总管扩张。膳食因素随访发现55.8%的复发者平素饮食不规律。平素饮食结构以肉类和主食为主者分别占比43.8%和37.8%,且有性别差异,男性以肉类为主、女性以主食为主;64.1%的复发者平素有高盐高油的饮食习惯;59.8%的患者第1次结石术后饮食有改变,其中80%的患者能将饮食调整为规律(即饮食规律者可提高至92%)。  结论  本地区原发性胆总管结石复发率较低且无性别差异,复发高峰在术后10年,60岁以上人群是结石复发的集中群体。膳食因素及临床特征分析有助于医、患进一步认识原发性胆总管结石复发的特点,为后续采取针对性的预防提供基础依据。
病例报告
以肝脾肿大为首发表现的POEMS综合征2例报告
张野, 王文清, 李璟, 白芡蓉, 李佳玉, 成艳, 房苗苗, 高娜娜, 黄长形
2025, 41(1): 127-132. DOI: 10.12449/JCH250119
摘要(944) HTML (246) PDF (2190KB)(77)
摘要:
POEMS综合征是一种与浆细胞病有关、累及多系统的罕见病,临床表现多样。现报道2例以肝脾肿大为首发表现的POEMS综合征病例,病程中患者出现下肢无力、肝脾和淋巴结肿大、腹水、甲状腺功能减退、M蛋白阳性、皮肤色深,18F-FDG PET-CT显像发现以溶骨性改变为主的骨病变,合并浆细胞瘤,血清血管内皮生长因子水平升高,最终诊断为POEMS综合征,经免疫调节治疗后症状缓解。
综述
健康相关生活质量评估在慢性乙型肝炎患者中的应用及进展
黄菲, 韩梅芳
2025, 41(1): 133-140. DOI: 10.12449/JCH250120
摘要(1237) HTML (2034) PDF (763KB)(115)
摘要:
传统的生物医学模式转换为生物-心理-社会医学模式,意味着临床诊治的目的不仅局限于疾病本身,更要关注患者的生活质量和幸福指数。由于慢性乙型肝炎(CHB)具有传染性,且易复发和进展,患者需承受生理、心理、经济及社会诸多方面的压力,严重影响其生活质量。因此,对CHB患者进行健康相关生活质量(HRQoL)评估至关重要。本文就CHB患者HRQoL评估的临床意义及价值、测量工具等进行总结,概述影响CHB患者HRQoL的因素和改善其生活质量的措施。本文旨在为临床动态监测CHB患者的HRQoL提供理论支持,也是为优化CHB临床诊疗方案及改善CHB患者的生活质量提供实践指导。
机器学习在慢性丙型肝炎诊疗中的应用
韩华, 段钟平, 王扬
2025, 41(1): 141-144. DOI: 10.12449/JCH250121
摘要(673) HTML (307) PDF (533KB)(65)
摘要:
随着人工智能技术的发展,机器学习在医疗健康领域中展现出巨大的应用潜力。机器学习通过对患者的临床特征、血液检验、影像学检查等数据进行综合分析,建立相应的数学模型,以实现对疾病的诊断、治疗及病情评估的预测,指导疾病的管理。本文结合最新的研究成果,综述了机器学习在慢性丙型肝炎中的应用情况及研究进展。
瑞美替罗(Resmetirom)治疗代谢相关脂肪性肝炎的临床试验进展
刘爱芳, 罗磊, 杨文龙
2025, 41(1): 145-150. DOI: 10.12449/JCH250122
摘要(1978) HTML (2483) PDF (1374KB)(300)
摘要:
代谢功能障碍相关脂肪性肝病是全球第一大肝病,严重危害公众健康,但一直缺乏获批的治疗药物。2024年3月14日,Resmetirom(瑞美替罗)成为全球首个美国食品药品监督管理局批准用于治疗代谢相关脂肪性肝炎(MASH)的药物。本文归纳和总结了Resmetirom治疗MASH的作用机制、相关临床试验设计及部分研究结果,并分析其不足和展望未来。基于目前已有的研究数据,Resmetirom在改善脂肪性肝炎和肝纤维化方面是有效的,但距离理想的MASH治疗药物还有不小的距离,期待更多、更有效的药物参与其中。
脂肪因子与代谢相关脂肪性肝病及其相关肝癌的关系
张熠潇, 孙建光, 蒋博文
2025, 41(1): 151-158. DOI: 10.12449/JCH250123
摘要(1048) HTML (604) PDF (1450KB)(75)
摘要:
随着生活中不健康饮食结构的出现,代谢相关脂肪性肝病(MAFLD)逐渐成为我国第一大慢性肝病,MAFLD相关肝癌的发生也逐渐增多。脂肪组织不仅具有能量储存功能,而且其分泌的脂肪因子在MAFLD及其相关肝癌的发生发展中亦起到重要作用。脂肪因子作用机制相关研究为MAFLD的预防与治疗提供了重要的帮助,大量研究显示,脂肪因子的异常分泌不仅与MAFLD相关,其在肝癌的发生发展中也发挥了重要作用。脂肪因子不仅在基因层面被调控,也可通过特定途径与基因相互作用,共同调控MAFLD及其相关肝癌的炎症、代谢、免疫、细胞增殖等病理生理过程。本文就脂肪因子与MAFLD及其相关肝癌关系的最新研究进行综述,以期为肝癌发病机制的进一步研究提供新的方向。
动力蛋白相关蛋白1(Drp1)在非酒精性脂肪性肝病中的作用
沈海珊, 王数, 冯巩
2025, 41(1): 159-163. DOI: 10.12449/JCH250124
摘要(1257) HTML (390) PDF (803KB)(79)
摘要:
线粒体的形态变化和功能与非酒精性脂肪性肝病(NAFLD)的发生发展密切相关。动力蛋白相关蛋白1(Drp1)是决定线粒体分裂的最主要蛋白之一,其活性受到严格控制,根据细胞需要确保线粒体动力学的平衡。Drp1可通过促进内质网小管形成,促进线粒体的相互作用和分裂。Drp1的磷酸化状态及去乙酰化也可影响线粒体的形态变化,从而影响NAFLD的疾病状态。本文阐述了Drp1在NAFLD进展中的作用及机制,为靶向治疗NAFLD提供思路。
脂肪因子Chemerin与肝纤维化发生发展的关系
张欣媛, 张诺琪, 于国慧, 任文帅, 王亚玲
2025, 41(1): 164-169. DOI: 10.12449/JCH250125
摘要(1031) HTML (353) PDF (950KB)(63)
摘要:
肝纤维化是各种慢性肝病向肝硬化发展的共同病理过程,影响慢性肝病患者的预后。Chemerin是一种新型脂肪因子,参与机体糖脂代谢和炎症,并且其表达水平在多项研究中显示与肝纤维化程度具有相关性,提示Chemerin可能通过调节代谢和炎症参与肝纤维化进程。Chemerin在辅助诊断和干预肝纤维化进程方面表现出一定的潜力。本文对Chemerin在肝纤维化过程中可能发挥的作用及机制进行综述,以期为肝纤维化的诊疗提供新思路。
中药逆转肝纤维化的分子机制
郭晓玲, 贾战生, 张静
2025, 41(1): 170-175. DOI: 10.12449/JCH250126
摘要(1209) HTML (1856) PDF (917KB)(286)
摘要:
肝纤维化是许多慢性肝病进展为肝硬化的中间环节,虽然目前尚未研发出能被广泛接受和有效的化学或生物制剂来逆转肝纤维化,但其在中药治疗方面已取得了巨大的进步。本文对不同草药提取物、单味中药、中成药逆转肝纤维化的分子机制进行了阐述,包括抑制肝脏炎症、抗脂质过氧化损伤、抑制肝星状细胞活化和增殖、调节促纤维化因子的合成和分泌、调节合成和细胞外基质的降解等5个方面,以期为未来治疗肝纤维化提供更精准的选择。
肝硬化门静脉高压伴自发性门体分流的诊治现状与展望
陈雅鑫, 郭雯, 刘凯歌, 李茜, 张明鑫
2025, 41(1): 176-182. DOI: 10.12449/JCH250127
摘要(830) HTML (1821) PDF (1386KB)(93)
摘要:
肝硬化是各种慢性肝病的终末阶段,主要的临床表现为门静脉高压,其发生可导致自发性门体分流(SPSS)。SPSS在临床上多见,并且与患者预后息息相关。本文总结了近年来研究肝硬化门静脉高压伴SPSS的临床意义、研究中所存争议、当前治疗现状以及未来展望与挑战,为门静脉高压的规范化诊治提供参考。
肝静脉剥夺术的研究进展
贺本松, 肖鸣, 张琪佳, 项灿宏, 王言雄, 李迎博, 王之烁
2025, 41(1): 183-188. DOI: 10.12449/JCH250128
摘要(835) HTML (1962) PDF (664KB)(117)
摘要:
门静脉栓塞术(PVE)可引起栓塞肝叶的萎缩和非栓塞肝叶的代偿性再生。但是由于PVE术后残余肝脏(FLR)再生不充分,因此部分患者在PVE术后仍不适合行肝切除术。近年来,行PVE同时行肝静脉栓塞术(HVE)的肝静脉剥夺术(LVD)显示出诱导FLR进一步再生的效果。相比联合肝脏离断和门静脉结扎二步肝切除术,LVD触发了更快、更强的FLR再生,且术后并发症发生率和病死率更低。本文总结了LVD的相关文献,介绍LVD的有效性并分析各种技术路径的差异和安全性,认为LVD是一种安全且有效的术前预处理方法。
胰胆管合流异常的研究进展
唐晓玄, 王雷, 张斌
2025, 41(1): 189-194. DOI: 10.12449/JCH250129
摘要(1442) HTML (274) PDF (742KB)(198)
摘要:
胰胆管合流异常(PBM)是一种罕见的先天性胆胰系统发育缺陷,其特征为胰胆管在十二指肠壁外的非正常部位汇合,形成延长的共同通道。这一解剖变异破坏了Oddi括约肌的正常生理功能,减弱了对胆胰液逆流的防御机制,从而诱发胆管和胰腺的一系列并发症。尽管PBM的发病率较低,但由于其临床症状隐匿,往往导致诊断延误,增加了治疗难度和不良预后的风险。针对胆管扩张明显的PBM患者,外科干预,尤其是胆囊切除联合肝外胆管切除及胆管空肠Roux-en-Y吻合术是目前的标准疗法。但针对胆管无明显扩张的PBM,相关治疗策略尚存争议,多数专家倾向于胆囊切除,但对于肝外胆管的管理仍缺乏统一意见,亟待进一步研究探索。内镜逆行胰胆管造影(ERCP)是目前评估胰胆管结构异常和诊断PBM的首选工具,不仅可以明确病变性质,还能实现胆汁采集和胆管组织的病理学分析,且具有介入治疗功能,如支架置入、扩张、引流,尤其利于合并胆系肿瘤的患者。但ERCP的侵袭性限制了其在大规模筛查中的应用,特别是在儿童群体中,技术实施更为复杂,且存在诱发多种并发症的风险。本文旨在阐述PBM的定义、分类、发病机制、流行病学特征以及当前诊断与治疗策略研究进展,以期为临床实践提供参考指导。
国外期刊精品文章简介
The New England Journal of Medicine|Xalnesiran联合或不联合免疫调节剂用于慢性乙型肝炎治疗
2025, 41(1): 62-62. DOI: 10.12449/JCH2501.gwqkjpwzjj1
摘要(420) HTML (178) PDF (952KB)(74)
摘要:
Journal of Hepatology|中国人群妊娠期肝内胆汁淤积症的基因组学研究揭示其与历史乙型肝炎流行的潜在关联
2025, 41(1): 182-182. DOI: 10.12449/JCH2501.gwqkjpwzjj2
摘要(364) HTML (250) PDF (960KB)(42)
摘要:
消息
《临床肝胆病杂志》入选新华网“2024年科技期刊服务高质量创新发展案例”
2025, 41(1): 14-14.
摘要(226) HTML (200) PDF (945KB)(29)
摘要:
《临床肝胆病杂志》入选“中国科技期刊卓越行动计划·中文领军期刊(2024—2028)”
2025, 41(1): 117-117.
摘要(224) HTML (169) PDF (946KB)(28)
摘要:
《临床肝胆病杂志》获评“2024 年度中国高校百佳科技期刊”
2025, 41(1): 126-126.
摘要(201) HTML (153) PDF (1338KB)(28)
摘要:
《临床肝胆病杂志》入选“学术诚信与出版新媒体矩阵”首批成员单位
2025, 41(1): 163-163.
摘要(212) HTML (156) PDF (935KB)(27)
摘要:
《临床肝胆病杂志》2025年1~6期重点号选题及执行主编
2025, 41(1): 175-175.
摘要:
致谢
本期审稿专家
2025, 41(1): 150-150. DOI: 10.12449/JCH2501.zhixie
摘要(309) HTML (134) PDF (935KB)(32)
摘要:
《临床肝胆病杂志》第十七届编委会(2023—2026年)
《临床肝胆病杂志》第十七届编委会(2023—2026年)
2025, 41(1): 195-196.
摘要(247) HTML (142) PDF (213KB)(44)
摘要:
《临床肝胆病杂志》第五届审稿专家(2023—2026年)
《临床肝胆病杂志》第五届审稿专家(2023—2026年)
2025, 41(1): 197-198.
摘要(257) HTML (196) PDF (230KB)(39)
摘要:
《临床肝胆病杂志》稿约
《临床肝胆病杂志》稿约
2025, 41(1): 199-200.
摘要(242) HTML (283) PDF (324KB)(140)
摘要: