中文English
ISSN 1001-5256 (Print)
ISSN 2097-3497 (Online)
CN 22-1108/R

Vol.41 No.1 (291 in total) Jan. 2025

Theme Issue: Functional Cure of Chronic Hepatitis B Executive 

Executive Chief Editor: ZHUANG Hui

Peking University Health Science Center

Display Method:
Editorial
Functional cure of chronic hepatitis B is not a dream
Hui ZHUANG
2025, 41(1): 2-6. DOI: 10.12449/JCH250101
Abstract(1914) HTML (2311) PDF (1656KB)(392)
Abstract:
Functional cure of chronic hepatitis B (CHB) is defined as HBsAg<0.05 IU/mL and serum HBV DNA<10 IU/mL for at least 24 weeks after discontinuation of antiviral therapy. This requires suppression of HBV replication and reduction of viral antigen production, as well as restoration of immune response to HBV infection. About 30% — 50% of highly selected CHB patients treated with nucleos(t)ide analogues can achieve functional cure after add-on therapy or monotherapy with pegylated interferon-α or a finite course of treatment with nucleos(t)ide analogues among patients with HBsAg<100 IU/mL. At present, clinical trials are being conducted for more than 40 types of novel anti-HBV drugs and immunomodulators. The combination of drugs that inhibit viral replication, reduce antigen burden, and restore immune response to HBV infection may be an ideal strategy to achieve the functional cure of CHB. However, further studies are needed to determine the optimal drug combination, the timing and sequence of medication, and the duration of treatment.
Expert Forum
New drugs for the functional cure of hepatitis B: Focusing on antisense oligonucleotides and small interfering RNAs
Xieer LIANG, Zhihong LIU, Jinlin HOU
2025, 41(1): 7-14. DOI: 10.12449/JCH250102
Abstract(1991) HTML (2710) PDF (716KB)(298)
Abstract:
Existing nucleos(t)ide analogues and pegylated interferon exhibit limited efficacy in the functional cure of hepatitis B. Recently, small nucleic acid drugs, such as antisense oligonucleotides and small interfering RNAs, have brought unprecedented breakthroughs in the functional cure of hepatitis B with their brand-new mechanisms of action and remarkable efficacy in early clinical studies. Small nucleic acid drugs, such as antisense oligonucleotides and small interfering RNAs, can reduce the level of HBsAg and strive to achieve HBsAg seroclearance. The reduction in HBsAg may restore the hepatitis B-specific immune function of the body to some extent and may further transform the simple clearance of HBsAg into hard endpoints with clinical value, such as reducing hepatitis B-related liver events. By meticulously analyzing the dynamic trajectory of HBsAg alterations within the context of new drug applications and further optimizing combined treatment strategies and regimens, it is expected to transform the functional cure of hepatitis B into the ultimate goal of improving survival rates and quality of life.
How far is the functional cure of chronic hepatitis B from complete cure?
Na GAO, Zhiliang GAO
2025, 41(1): 15-23. DOI: 10.12449/JCH250103
Abstract(2311) HTML (2418) PDF (1039KB)(369)
Abstract:
Functional cure is currently the ideal treatment endpoint for chronic hepatitis B (CHB) in China and globally. HBsAg seroclearance and HBV DNA that cannot be detected in peripheral blood for more than 24 weeks marks the regression of hepatitis B virus (HBV) infection. However, there is still a lack of systematic description of the characteristics of intrahepatic HBV markers after HBsAg seroclearance. This article elaborates on the issues including the latest definition of functional cure, the characteristics of intrahepatic virological markers after HBsAg seroclearance, the significance of ultrasensitive serum HBsAg detection, and antiviral therapy for CHB patients with a low level of HBsAg, so as to improve the understanding of functional cure among clinicians.
Effect of hepatitis B virus integration on functional cure
Xiaoqi YU, Xinxin ZHANG
2025, 41(1): 24-29. DOI: 10.12449/JCH250104
Abstract(1383) HTML (1944) PDF (618KB)(194)
Abstract:
Functional cure is currently recommended by guidelines as the ideal treatment goal for the prevention and treatment of chronic hepatitis B (CHB) in China and globally, and it is defined as sustained and undetectable serum HBsAg and HBV DNA, HBeAg clearance, and presence or absence of HBsAg seroconversion, accompanied by resolution of liver inflammation, histopathological improvements, and a significant reduction in the incidence rate of end-stage liver disease. HBV can integrate into the host genome and contribute to the continuous production of HBsAg, which can occur in the early stage of chronic HBV infection. In addition to the covalently closed circular DNA that is hard to be eliminated in liver tissue, HBsAg derived from HBV integration independent of viral replication may be the most important factor for the difficulty in achieving functional cure after antiviral therapy in patients with hepatitis B. This article reviews the research advances in HBV integration in recent years and discusses its impact on functional cure.
Guideline
Expert consensus on the sequential surgery following conversion therapy based on the combination of immune checkpoint inhibitors and antiangiogenic targeted drugs for advanced hepatocellular carcinoma (2024 edition)
Professional Committee for Prevention and Control of Hepatobiliary and Pancreatic Diseases of Chinese Preventive Medicine Association, Chinese Society of Liver Cancer, Liver Study Group of Surgery Committee of Beijing Medical Association, et al
2025, 41(1): 30-40. DOI: 10.3760/cma.j.cn113884-20240814-00245
Abstract(2401) HTML (2559) PDF (1162KB)(311)
Abstract:
Up to half of patients with hepatocellular carcinoma (HCC) in China are diagnosed at an advanced stage and often with a dismal prognosis. More effective treatment strategies are mandatory. In recent years, the combination of immune checkpoint inhibitors and anti-angiogenic targeted therapy has shown a promising treatment effect in advanced HCC with prolonged survival of patients, which also offered an opportunity for sequential curative surgery. Sequential curative hepatectomy or liver transplantation following conversion therapy brings survival benefits to patients. Aiming to improve the long-term survival of overall population with liver cancer and contribute to the goal of a 15% increase in the 5-year survival of overall cancer patients outlined in the “Healthy China 2030” blueprints, the Professional Committee for Prevention and Control of Hepatobiliary and Pancreatic Diseases of Chinese Preventive Medicine Association, Chinese Society of Liver Cancer, and the Liver Study Group of Surgery Committee of Beijing Medical Association organized in-depth discussions among relevant domestic experts. These discussions focus on the latest progress since the release of Chinese expert consensus on conversion therapy of immune checkpoint inhibitors combined antiangiogenic targeted drugs for advanced hepatocellular carcinoma (2021 edition) and have reached new consensus on the modifications and supplements to some key points. This consensus aims to further guide clinical practice, standardize medical protocol, and usher the new development in liver surgery.
An excerpt of non‑cirrhotic portal fibrosis/idiopathic portal hypertension: APASL recommendations for diagnosis and management (2024)
Junqi XIA, Zhe LYU, Chenghai LIU, Xingshun QI
2025, 41(1): 41-43. DOI: 10.12449/JCH250106
Abstract(1123) HTML (2250) PDF (487KB)(210)
Abstract:
Recently, Asian Pacific Association for the Study of the Liver published the recommendations for the diagnosis and management of non-cirrhotic portal fibrosis (NCPF)/idiopathic portal hypertension (IPH). The guidelines mainly elaborate on the definition, diagnosis, histological features, natural history, and management of NCPF/IPH, in order to strengthen the understanding of NCPF/IPH-related issues and establish a global consensus. This article makes an excerpt of the key statements in the guidelines.
Viral Hepatitis
Changes in renal function in chronic hepatitis B patients treated initially with entecavir versus tenofovir alafenamide fumarate and related influencing factors
Shipeng MA, Yanqing YU, Xiaoping WU, Liang WANG, Liping LIU, Yuliang ZHANG, Xin WAN, Shanfei GE
2025, 41(1): 44-51. DOI: 10.12449/JCH250107
Abstract(1989) HTML (1199) PDF (1093KB)(193)
Abstract:
  Objective  To investigate the influence of entecavir (ETV) versus tenofovir alafenamide fumarate (TAF) on renal function in previously untreated patients with chronic hepatitis B (CHB).  Methods  A retrospective analysis was performed for the clinical data of 167 previously untreated CHB patients who received ETV or TAF treatment for at least 48 weeks at the outpatient service of Department of Infectious Diseases in The First Affiliated Hospital of Nanchang University from September 2019 to November 2023, and according to the antiviral drug used, they were divided into ETV group with 117 patients and TAF group with 50 patients. In order to balance baseline clinical data, propensity score matching (PSM) was used for matching and analysis at a ratio of 2∶1, and the two groups were compared in terms of estimated glomerular filtration rate (eGFR) and the incidence rate of abnormal renal function at week 48. According to eGFR at week 48, the patients were divided into normal renal function group and abnormal renal function group. The independent-samples t test or the Mann-Whitney U test was used for comparison of continuous data between two groups, and the chi-square test or the Fisher’s exact test was used for comparison of categorical data between two groups. The multivariate Logistic regression analysis was used to investigate the influencing factors for abnormal renal function, and the receiver operating characteristic (ROC) curve was used to assess the performance of each indicator in predicting abnormal renal function. The Kaplan-Meier method was used to analyze the cumulative incidence rate of abnormal renal function, and the log-rank test was used for comparison. The analysis of variance with repeated measures was used to compare the dynamic changes of eGFR during antiviral therapy in CHB patients.  Results  After PSM matching, there were 100 patients in the ETV group and 50 patients in the TAF group. There were no significant differences in baseline clinical data between the ETV group and the TAF group (all P>0.05), with an eGFR level of 112.29±9.92 mL/min/1.73 m2 in the ETV group and 114.72±12.15 mL/min/1.73 m2 in the TAF group. There was a reduction in eGFR from baseline to week 48 in both groups, and compared with the TAF group at week 48, the ETV group had a significantly lower eGFR (106.42±14.12 mL/min/1.73 m2 vs 112.25±13.44 mL/min/1.73 m2t=-2.422, P=0.017) and a significantly higher incidence rate of abnormal renal function (17.00% vs 4.00%, χ2=5.092, P=0.024). After the patients were divided into normal renal function group with 131 patients and abnormal renal function group with 19 patients, the univariate analysis showed that there were significant differences between the two groups in age (Z=-2.039, P=0.041), treatment drug (ETV/TAF) (χ2=5.092, P=0.024), and baseline eGFR level (t=4.023, P<0.001), and the multivariate Logistic regression analysis showed that baseline eGFR (odds ratio [OR]=0.896, 95% confidence interval [CI]: 0.841 — 0.955, P<0.001) and treatment drug (OR=5.589, 95%CI: 1.136 — 27.492, P=0.034) were independent influencing factors for abnormal renal function. Baseline eGFR had an area under the ROC curve of 0.781 in predicting abnormal renal function in CHB patients, with a cut-off value of 105.24 mL/min/1.73 m2, a sensitivity of 73.68%, and a specificity of 82.44%. The Kaplan-Meier curve analysis showed that the patients with baseline eGFR≤105.24 mL/min/1.73 m2 had a significantly higher cumulative incidence rate of abnormal renal function than those with baseline eGFR>105.24 mL/min/1.73 m2χ2=22.330, P<0.001), and the ETV group had a significantly higher cumulative incidence rate of abnormal renal function than the TAF group (χ2=4.961, P=0.026). With the initiation of antiviral therapy, both the ETV group and the TAF group had a significant reduction in eGFR (F=5.259, P<0.001), but the ETV group only had a significant lower level of eGFR than the TAF group at week 48 (t=-2.422, P=0.017); both the baseline eGFR≤105.24 mL/min/1.73 m2 group and the baseline eGFR>105.24 mL/min/1.73 m2 group had a significant reduction in eGFR (F=5.712, P<0.001), and there was a significant difference in eGFR between the two groups at baseline and weeks 12, 24, 36, and 48 (t=-13.927, -9.780, -8.835, -9.489, and -8.953, all P<0.001).  Conclusion  For CHB patients initially treated with ETV or TAF, ETV antiviral therapy has a higher risk of renal injury than TAF therapy at week 48.
Liver histopathological features of HBeAg-negative patients in the indeterminate phase of low-viral-load chronic hepatitis B virus infection
Lulu ZHOU, Bing DONG, Jiejing XIN, Guanghua XU, Na LIU
2025, 41(1): 52-56. DOI: 10.12449/JCH250108
Abstract(774) HTML (313) PDF (740KB)(83)
Abstract:
  Objective  To investigate the liver histopathological features of HBeAg-negative patients in the indeterminate phase of low-viral-load chronic hepatitis B virus (HBV) infection.  Methods  A total of 271 patients with low-viral-load HBeAg-negative chronic HBV infection who underwent liver biopsy in Department of Infectious Diseases, Affiliated Hospital of Yan’an University, from September 2013 to June 2021 were enrolled as subjects, and the degree of liver injury was compared between patients based on age, sex, presence or absence of the family history of hepatitis B, HBsAg, and alanine aminotransferase (ALT) level. The chi-square test was used for comparison of categorical data between two groups.  Results  Among the 271 patients with HBeAg-negative chronic HBV infection, 86 patients (31.73%) grade≥A2 liver inflammatory activity, 72 (26.57%) had a liver fibrosis stage of ive, and 112 (41.33%) had moderate or severe liver histological injury. The proportion of patients with grade≥A2 liver inflammatory activity in the patients with ALT>20 U/L was significantly higher than that in the patients with ALT≤20 U/L (χ2=3.938, P=0.047). There were no significant differences in the proportion of patients with grade≥A2 liver inflammatory activity between the patients with different ages, sexes, family history of hepatitis B, HBsAg levels (all P>0.05),there were no significant differences in the proportion of patients with a liver fibrosis stage of ≥F2 between the patients with different ages, sexes, family history of hepatitis B, HBsAg, and ALT levels (all P>0.05), and the stratified analysis of patients aged≤30 years and patients without the family history of hepatitis B showed no statistical significance between groups (all P>0.05). There was no significant difference in the degree of liver histological injury between the patients with different ages, sexes, family history of hepatitis B, HBsAg, and ALT levels (all P>0.05).  Conclusion  Significant liver injury is observed in more than 40% of the patients with low-viral-load HBeAg-negative chronic HBV infection, and there is no significant difference in the degree of liver histological injury between the patients with different ages, sexes, family history of hepatitis B, HBsAg, and ALT levels. Even for the patients aged≤30 years who deny the family history of hepatitis B, there is still a considerable proportion of patients with liver injury, which should be taken seriously by clinicians.
The level of HBV cccDNA in liver tissue and its clinical significance in patients in the convalescence stage of hepatitis B virus-related acute-on-chronic liver failure
Zhekai CAI, Long XU, Wenli LIU, Yingqun XIAO, Qingmei ZHONG, Wei ZHANG, Min WU
2025, 41(1): 57-62. DOI: 10.12449/JCH250109
Abstract(860) HTML (246) PDF (690KB)(80)
Abstract:
  Objective  To investigate the expression level of HBV cccDNA in patients in the convalescence stage of hepatitis B virus-related acute-on-chronic liver failure (HBV-ACLF) and its correlation with HBV markers and liver histopathological changes.  Methods  A total of 30 patients in the convalescence stage of HBV-ACL who were hospitalized in The Ninth Hospital of Nanchang from January 2015 to October 2023 were enrolled as liver failure group, and 9 patients with chronic hepatitis B (CHB), matched for sex and age, were enrolled as control group. The content of HBV cccDNA in liver tissue was measured, and its correlation with clinical data and laboratory markers was analyzed. The independent-samples t test or the Mann-Whitney U test was used for comparison of continuous data between two groups, and a one-way analysis of variance or the Kruskal-Wallis H test was used for comparison between multiple groups; the Fisher’s exact test was used for comparison of categorical data between groups. A Spearman correlation analysis was performed.  Results  The liver failure group had a significantly lower content of HBV cccDNA in liver tissue than the control group (-0.92±0.70 log10 copies/cell vs -0.13±0.91 log10 copies/cell, t=2.761, P=0.009). In the liver failure group, there was no significant difference in the content of HBV cccDNA in liver tissue between the HBeAg-positive patients and the HBeAg-negative patients (P>0.05); there was no significant difference in the content of HBV cccDNA in liver tissue between the patients with different grades (G0-G2, G3, and G4) of liver inflammatory activity (P>0.05); there was no significant difference in the content of HBV cccDNA in liver tissue between the patients with different stages (S0-S2, S3, and S4) of liver fibrosis (P>0.05); there was no significant difference in the content of HBV cccDNA in liver tissue between the patients with negative HBV DNA and those with positive HBV DNA (P>0.05). For the liver failure group, the content of HBV cccDNA in liver tissue was positively correlated with the content of HBV DNA in liver tissue (r=0.426, P=0.043) and was not significantly correlated with the content of HBV DNA in serum (P>0.05).  Conclusion  There is a significant reduction in the content of HBV cccDNA in liver tissue in the convalescence stage of HBV-ACLF. HBV cccDNA exists continuously and stably in liver tissue and can better reflect the persistent infection and replication of HBV than HBV DNA in serum and liver tissue.
Fatty Liver Disease
Characteristics of cardiometabolic risk in patients with different subtypes of non-alcoholic fatty liver disease
Lili GAO, Yong WANG, Huafang YAN, Xiaoliang WANG, Yunfeng WANG
2025, 41(1): 63-68. DOI: 10.12449/JCH250110
Abstract(992) HTML (294) PDF (647KB)(83)
Abstract:
  Objective  To investigate the difference in the risk of cardiovascular diseases between patients with different subtypes of non-alcoholic fatty liver disease (NAFLD) from the perspective of metabolism, since cardiovascular events induced by metabolic disorders are the leading cause of death in NAFLD.  Methods  The cluster sampling method was used to conduct a multicenter cross-sectional study among three representative hospitals in Pudong New Area of Shanghai, China. A total of 37 122 sets of physical examination data from July 2022 to June 2023 were collected and stratified according to body mass index (BMI). The chi-square test was used for comparison of continuous data between groups, and a multivariable Logistic regression analysis was used to investigate the association between NAFLD subtypes and cardiometabolic risk factors.  Results  A total of 9 372 cases of NAFLD were detected, with a detection rate of 25.25%, and more than 97% of these patients were diagnosed with metabolic associated fatty liver disease (MAFLD). The subgroup analysis showed that the detection rates of lean, overweight, and obese NAFLD were 7.72%, 33.99%, and 63.56%, respectively. Compared with the patients with lean or overweight NAFLD, the patients with obese NAFLD showed a significantly higher proportion of patients with abnormalities in blood pressure, blood glucose, triglyceride (TG), high-density lipoprotein (HDL) or uric acid (all P<0.001). Among related risk factors, lean NAFLD was associated with the increase in total cholesterol (TC)(P<0.05), while overweight NAFLD and obese NAFLD were not associated with TC abnormalities (P>0.05); obese NAFLD was not associated with TG abnormalities, while lean NAFLD and overweight NAFLD were associated with TG abnormalities (both P<0.05); all types of NAFLD were associated with the abnormalities of waist-hip ratio, blood pressure, blood glucose, low-density lipoprotein, HDL, and uric acid (all P<0.05).  Conclusion  The detection rates of different subtypes of NAFLD in Shanghai Pudong are close to those reported in China and globally, and the epidemiologic data of NAFLD can be used analogously for MAFLD. There are certain differences in the distribution and association of cardiometabolic risk factors between different subtypes of NAFLD, and targeted interventions should be formulated based on the metabolic characteristics of each type of NAFLD.
Liver Neoplasm
Efficacy of stereotactic body radiotherapy combined with sintilimab and bevacizumab in treatment of unresectable hepatocellular carcinoma
Teng ZHANG, Quan WANG, Wengang LI, Xuezhang DUAN
2025, 41(1): 69-74. DOI: 10.12449/JCH250111
Abstract(1256) HTML (2122) PDF (1358KB)(87)
Abstract:
  Objective  To investigate the efficacy and safety of stereotactic body radiotherapy (SBRT) combined with sintilimab and bevacizumab in the treatment of patients with unresectable hepatocellular carcinoma (uHCC) and related prognostic factors.  Methods  A total of 42 patients with uHCC who underwent SBRT combined with sintilimab and bevacizumab in Department of Radiation Oncology, The Fifth Medical Centre of PLA General Hospital, from March to December 2022 were enrolled. The prescribed dose of planning target volume was 36‍ ‍—‍ ‍50 Gy in 5‍ ‍—‍ ‍6 fractions for continuous irradiation, followed by the regimen of sintilimab and bevacizumab. Each course of treatment was 3 weeks until the presence of tumor progression or serious adverse events. The Kaplan-Meier method was used to calculate overall survival (OS) rate and progression-free survival (PFS) rate, and the log-rank test was used for comparison between groups; the Cox proportional hazards model was used to investigate the influencing factors for prognosis.  Results  The median follow-up time was 21.6 months, with an objective response rate of 69%, a disease control rate of 85.7%, a median PFS of 10.0 months (95% confidence interval [CI]: 6.7‍ ‍—‍ ‍13.0), and a median OS of 23.3 months (95%CI: 14.7‍ ‍—‍ ‍31.8). Most adverse events were grade 1‍ ‍—‍ ‍2 events, and there were no fatal adverse events. At 6‍ ‍—‍ ‍8 weeks after treatment, the AFP response group had a significantly better OS than the non-AFP response group (not reached vs 11.8 months, P=0.007). The multivariate analysis showed that AFP response was associated with the good prognosis of patients (hazard ratio=0.31, 95%CI: 0.13‍ ‍—‍ ‍0.75, P=0.009).  Conclusion  For patients with uHCC, SBRT combined with sintilimab and bevacizumab can improve survival with a manageable safety profile, and a >50% reduction in AFP at 6‍ ‍—‍ ‍8 weeks after treatment can be used as a potential prognostic indicator.
Risk factors for concurrent hepatic hydrothorax before intervention in primary liver cancer and construction of a nomogram prediction model
Yuanzhen WANG, Renhai TIAN, Yingyuan ZHANG, Danqing XU, Lixian CHANG, Chunyun LIU, Li LIU
2025, 41(1): 75-83. DOI: 10.12449/JCH250112
Abstract(758) HTML (393) PDF (1292KB)(81)
Abstract:
  Objective  To investigate the influencing factors for hepatic hydrothorax (HH) before intervention for primary hepatic carcinoma (PHC), and to construct and assess the nomogram risk prediction model.  Methods  A retrospective analysis was performed for the clinical data of 353 hospitalized patients who attended the Third People’s Hospital of Kunming for the first time from October 2012 to October 2021 and there diagnosed with PHC, and according to the presence or absence of HH, they were divided into HH group with 153 patients and non-HH group with 200 patients. General data and the data of initial clinical testing after admission were collected from all PHC patients. The independent-samples t test was used for comparison of normally distributed continuous data between two groups, and the Mann-Whitney U test was used for comparison of non-normally distributed continuous data between two groups; the chi-square test or the Fisher’s exact test was used for comparison of categorical data between groups. After the multicollinearity test was performed for the variables with statistical significance determined by the univariate analysis, the multivariate Logistic regression analysis was used to identify independent influencing factors. The “rms” software package was used to construct a nomogram risk prediction model, and the Hosmer-Lemeshow test and the receiver operating characteristic (ROC) curve were used to assess the risk prediction model; the “Calibration Curves” software package was used to plot the calibration curve, and the “rmda” software package was used to plot the clinical decision curve and the clinical impact curve.  Results  Among the 353 patients with PHC, there were 153 patients with HH, with a prevalence rate of 43.34%. Child-Pugh class B (odds ratio [OR]=2.652, 95% confidence interval [CI]: 1.050 — 6.698, P=0.039), Child-Pugh class C (OR=7.963, 95%CI: 1.046‍ ‍—‍ ‍60.632, P=0.045), total protein (OR=0.947, 95%CI: 0.914‍ ‍—‍ ‍0.981, P=0.003), high-sensitivity C-reactive protein (OR=1.007, 95%CI: 1.001‍ ‍—‍ ‍1.014, P=0.025), and interleukin-2 (OR=0.801, 95%CI: 0.653‍ ‍—‍ ‍0.981, P=0.032) were independent influencing factors for HH before PHC intervention, and a nomogram risk prediction model was established based on these factors. The Hosmer-Lemeshow test showed that the model had a good degree of fitting (χ2=5.006, P=0.757), with an area under the ROC curve of 0.752 (95%CI: 0.701‍ ‍—‍ ‍0.803), a sensitivity of 78.40%, and a specificity of 63.50%. The calibration curve showed that the model had good consistency in predicting HH before PHC intervention, and the clinical decision curve and the clinical impact curve showed that the model had good clinical practicability within a certain threshold range.  Conclusion  Child-Pugh class, total protein, interleukin-2, and high-sensitivity C-reactive protein are independent influencing factors for developing HH before PHC intervention, and the nomogram model established based on these factors can effectively predict the risk of developing HH.
The distribution pattern of traditional Chinese medicine syndromes and influencing factors for primary liver cancer: An analysis of 415 cases
Zhiyao SHI, Xiaofei FAN, Yu GAO, Shaojian REN, Shiyu WU, Xixing WANG
2025, 41(1): 84-91. DOI: 10.12449/JCH250113
Abstract(989) HTML (446) PDF (765KB)(76)
Abstract:
  Objective  To investigate the influencing factors for traditional Chinese medicine (TCM) syndromes of primary liver cancer, and to provide a theoretical basis for the TCM syndrome differentiation and standardized treatment of liver cancer.  Methods  TCM syndrome differentiation was performed for 415 patients who were admitted to Shanxi Institute of Traditional Chinese Medicine and were diagnosed with primary liver cancer based on pathological or clinical examinations from January 2019 to December 2023. The chi-square test was used for comparison of categorical data between groups, and the unordered polytomous logistic regression model was used to investigate the influencing factors for TCM syndromes of liver cancer.  Results  The common initial symptoms of the 415 patients with primary liver cancer included pain in the liver area (31.81%), abdominal distension (25.30%), abdominal pain (15.18%), and weakness (13.98%), and the main clinical symptoms included poor appetite (70.84%), fatigue (69.16%), pain in the liver area (67.47%), poor sleep (59.04%), abdominal distension (53.01%), and constipation (52.53%). There were significant differences in TCM syndromes between patients with different sexes, courses of the disease, clinical stages, Child-Pugh classes, presence or absence of intrahepatic and extrahepatic metastasis, and presence or absence of transcatheter arterial chemoembolization (TACE) and radiofrequency ablation (all P<0.05). The logistic regression analysis showed that male sex was a risk factor for damp-heat accumulation (odds ratio [OR]=2.036, P=0.048) and the syndrome of spleen-kidney Yang deficiency (OR=5.240, P<0.001); a course of disease of<1 year was a risk factor for damp-heat accumulation (OR=2.837, P=0.004) and syndrome of Qi stagnation and blood stasis (OR=2.317, P=0.021), but it was a protective factor against syndrome of spleen-kidney Yang deficiency (OR=0.385, P=0.005); Child-Pugh class A/B was a protective factor against liver-kidney Yin deficiency (OR=0.079, P<0.001); intrahepatic metastasis was a risk factor for liver-kidney Yin deficiency (OR=5.117, P=0.003) and syndrome of spleen-kidney Yang deficiency (OR=3.303, P=0.010); TACE was a protective factor against liver-kidney Yin deficiency (OR=0.171, P<0.001) and syndrome of spleen-kidney Yang deficiency (OR=0.138, P<0.001); radiofrequency ablation was a risk factor for damp-heat accumulation (OR=4.408, P<0.001) and liver-kidney Yin deficiency (OR=32.036, P<0.001).  Conclusion  Sex, course of disease, Child-Pugh class, intrahepatic metastasis, TACE, and radiofrequency ablation are the main influencing factors for TCM syndromes of liver cancer.
Effect of sorafenib and donafenib on the pharmacokinetics of ertugliflozin in rats
Yanru DENG, Gexi CAO, Bin YAN, Ying LI, Zhanjun DONG
2025, 41(1): 92-98. DOI: 10.12449/JCH250114
Abstract(795) HTML (480) PDF (1361KB)(55)
Abstract:
  Objective  To investigate the effect of sorafenib and donafenib on the pharmacokinetics of ertugliflozin in rats, and to provide a theoretical basis for drug combination in clinical practice.  Methods  A total of 24 male Sprague-Dawley rats were randomly divided into groups A, B, C, and D, with 6 rats in each group. The rats in groups A and B were given sorafenib control solvent and sorafenib (100 mg/kg), respectively, by gavage for 7 consecutive days, followed by ertugliflozin (1.5 mg/kg) by gavage on day 7. Blood samples were collected from the angular vein plexus at different time points, and ultra-performance liquid chromatography-tandem mass spectrometry was used to determine the mass concentration of ertugliflozin and plot the plasma concentration-time curves, while the non-compartment model in DAS 2.1.1 software was used to calculate related pharmacokinetic parameters. The independent-samples t test was used for comparison of normally distributed continuous data between two groups, and the Mann-Whitney U test was used for comparison of non-normally distributed continuous data between two groups.  Results  Compared with group A, group B had significant increases in the AUC0-t and AUC0-∞ of the plasma concentration-time curve of ertugliflozin (both P<0.05), significant prolongation of t1/2, MRT0-t, and MRT0-∞ (all P<0.05), and a significant reduction in CLZ/FP<0.05). Compared with group C, group D had significant increases in the AUC0-t and AUC0-∞ of ertugliflozin (both P<0.05), significant prolongation of Tmaxt1/2, MRT0-t, and MRT0-∞ (all P<0.01), and significant reductions in VZ/F and CLZ/F (both P<0.05).  Conclusion  Both sorafenib and donafenib can affect the pharmacokinetics of ertugliflozin in rats and significantly increase the plasma exposure of ertugliflozin. The efficacy and adverse drug reactions of ertugliflozin should be closely monitored during combined use in clinical practice and the dose should be adjusted when necessary to avoid the potential risk of drug interaction.
Other Liver Disease
Level of vitamin D in children with cholestatic liver disease and its clinical features
Ziyun GUO, Lina DU, Xiaoxuan XIE, Yan YANG
2025, 41(1): 99-103. DOI: 10.12449/JCH250115
Abstract(1005) HTML (540) PDF (628KB)(81)
Abstract:
  Objective  To investigate vitamin D level in children with cholestatic liver disease, and to provide a theoretical basis for vitamin D supplementation therapy in children with this disease.  Methods  A total of 116 children with cholestatic liver disease who attended Department of Traditional Chinese Medicine, Beijing Children’s Hospital, Capital Medical University, for the first time from January 2022 to January 2024 were enrolled and divided into groups for comparison based on sex, age, vitamin D supplementation dose, course of the disease, and etiology. The data on the serum level of 25-hydroxyvitamin D (25-OH-D) and related biochemical parameters were collected to assess the correlation between vitamin D level and biochemical parameters. The chi-square test or the Fisher’s exact test was used for comparison of categorical data between groups, and the Spearman rank correlation test was used for correlation analysis.  Results  Among the 116 children, 76 (65.5%) had vitamin D deficiency or insufficiency. The children with vitamin D deficiency or insufficiency accounted for 65.7% (46/70) among boys and 65.2% (30/46) among girls, with no significant difference between boys and girls (χ2=0.003, P=0.956). The children with vitamin D deficiency or insufficiency accounted for 83.3% (25/30) among the children who had never received vitamin D supplementation, 58.7% (27/46) among the children with a daily supplementation dose of 500 IU, 64.3% (18/28) among the children with a daily supplementation dose of 700 IU, and 50.0% (6/12) among the children with a daily supplementation dose of>700 IU, and there was no significant difference between these groups (χ2=6.460, P=0.091). Comparison between the groups with different etiologies showed that the children with vitamin D deficiency or insufficiency accounted for 57.7% (15/26) in the infectious disease group, 66.7% (10/15) in the inherited metabolic disease group, 66.7% (6/9) in the drug-induced liver injury group, 100.0% (8/8) in the group with abnormal structure of the biliary system, and 63.8% (37/58) in the group with unknown etiology, and there was no significant difference between these groups (χ2=5.304, P=0.252). Comparison between the groups with different courses of the disease showed that the children with vitamin D deficiency or insufficiency accounted for 78.4% (29/37) in the<1 month group, 54.3% (25/46) in the 1‍ — ‍3 months group, 53.3% (8/15) in the 3‍ — ‍6 months group, and 77.8% (14/18) in the>6 months group, with no significant difference between these groups (χ2=7.432, P=0.059). Comparison between different age groups showed that compared with the infant group, the children group had a significantly higher proportion of children with vitamin D deficiency or insufficiency (χ2=9.504, P=0.018). The correlation analysis showed that serum aspartate aminotransferase and alanine aminotransferase had no significant correlation with 25-OH-D (P>0.05); serum alkaline phosphatase (ALP) (r=-0.286, P=0.002), gamma-glutamyl transpeptidase (GGT) (r=-0.248, P=0.007), total bilirubin (TBil) (r=-0.353, P<0.001), direct bilirubin (DBil) (r=-0.299, P=0.001), and total bile acid (r=-0.236, P=0.011) were negatively correlated with 25-OH-D, while serum calcium (r=0.263, P=0.004) and phosphorus (r=0.385, P<0.001) were positively correlated with 25-OH-D.  Conclusion  Most children with cholestatic liver disease have vitamin D deficiency or insufficiency, and the increase in serum ALP, GGT, TBil, DBil or total bile acid and the reduction in calcium or phosphorus may suggest vitamin D deficiency or insufficiency.
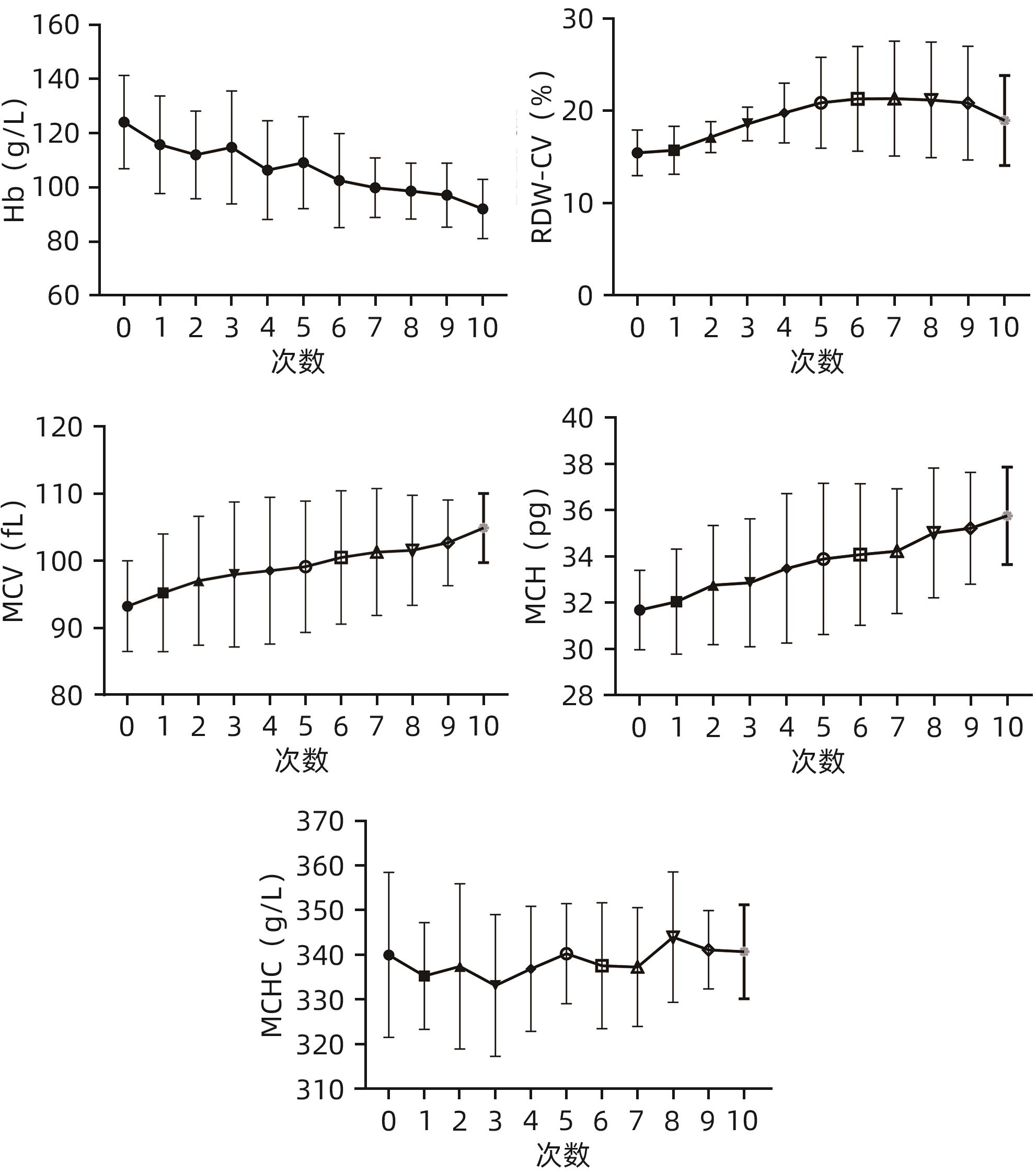
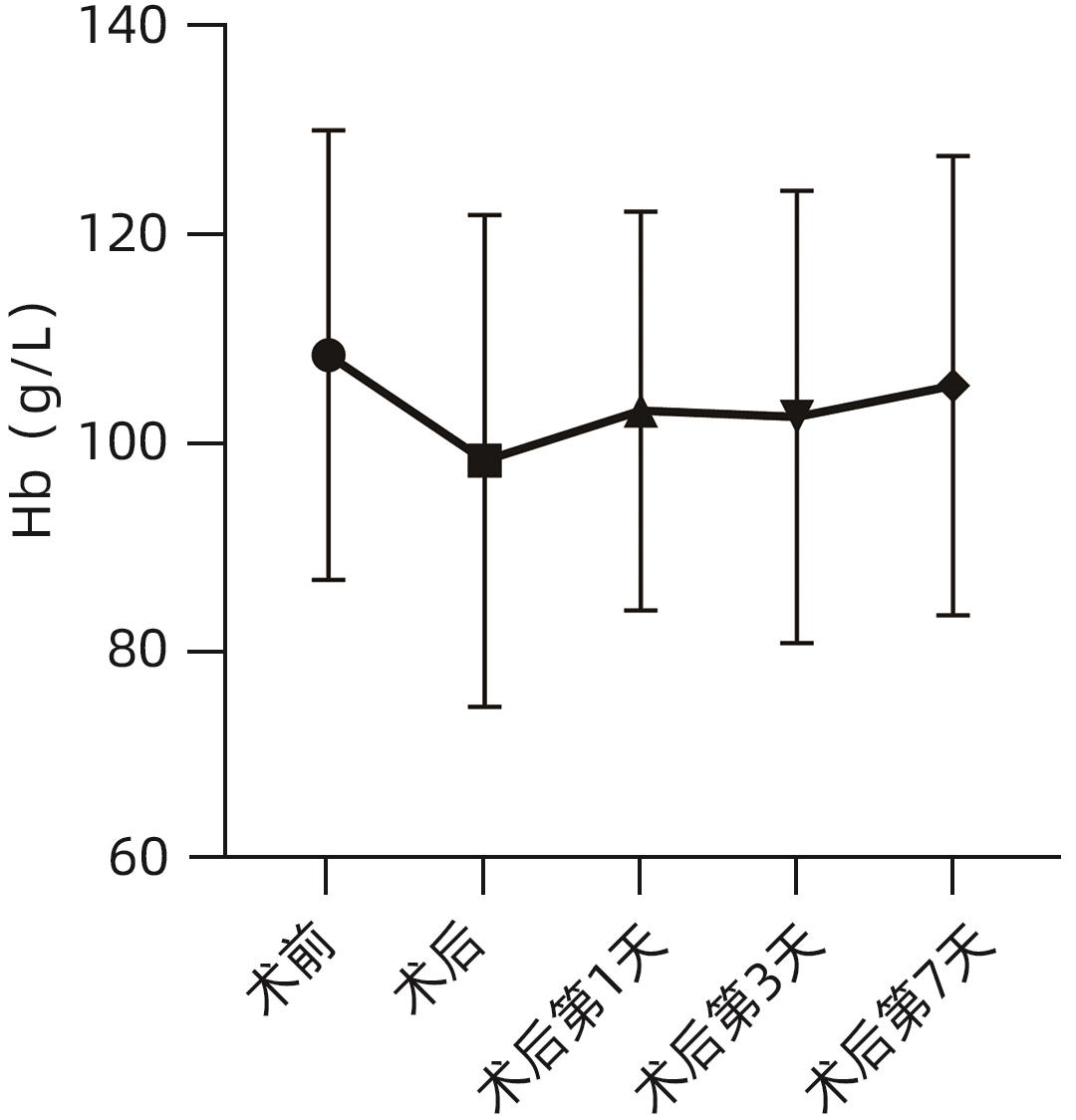
Changes in hemoglobin and related influencing factors in patients with liver failure undergoing artificial liver support therapy
Ying LIN, Li CHEN, Fei PENG, Jianhui LIN, Chuanshang ZHUO
2025, 41(1): 104-109. DOI: 10.12449/JCH250116
Abstract(986) HTML (1679) PDF (1037KB)(69)
Abstract:
  Objective  To investigate the changing trend of hemoglobin (Hb) and related influencing factors in patients with liver failure after artificial liver support system (ALSS) therapy.  Methods  A total of 106 patients with liver failure who were hospitalized and received ALSS therapy in our hospital from January to December 2018 were enrolled and analyzed in terms of clinical data and red blood cell parameters such as Hb, mean corpuscular volume (MCV), mean corpuscular hemoglobin (MCH), mean corpuscular hemoglobin concentration (MCHC), and red blood cell distribution width-coefficient of variation (RDW-CV). A one-way repeated-measures analysis of variance was used for comparison of continuous data with repeated measurement between groups, and the paired t-test was used for comparison between two groups. The Kruskal-Wallis H test was used for comparison of continuous data with skewed distribution between multiple groups, the Mann-Whitney U test was used for further comparison between two groups. Univariate and multivariate linear regression analyses were used to identify the influencing factors for the reduction in Hb after ALSS therapy.  Results  The 106 patients with liver failure received 606 sessions of ALSS therapy, and Hb was measured for 402 sessions before and after treatment. There was a significant reduction in Hb after ALSS therapy in the patients with liver failure (97.49±20.51 g/L vs 109.38±20.22 g/L, t=32.764, P<0.001). Longitudinal observation was further performed for 14 patients with liver failure, and the results showed that the level of Hb was 108.50±21.61 g/L before the last session of ALSS therapy, with certain recovery compared with the level of Hb (103.14±19.15 g/L) on the second day after ALSS, and there was an increase in Hb on day 3 (102.57±21.73 g/L) and day 7 (105.57±22.04 g/L) after surgery. The level of Hb in patients with liver failure on the second day after ALSS decreased with the increase in the number of ALSS sessions (F=8.996, P<0.001), while MCV and MCH gradually increased with the increase in the number of ALSS sessions (F=9.154 and 13.460, P=0.004 and P<0.001), and RDW-CV first gradually increased and then gradually decreased (F=4.520, P=0.032); MCHC showed fluctuations with no clear trend (F=0.811, P=0.494). The multivariate linear regression analysis showed that the duration of ALSS therapy, the mode of ALSS therapy, and initial treatment were independent risk factors for the reduction in Hb after ALSS therapy.  Conclusion  ALSS therapy can influence the level of peripheral blood Hb in patients with liver failure, and patient blood management should be strengthened for patients with liver failure who are receiving ALSS therapy.
Mechanism of action of thymic stromal lymphopoietin in a mouse model of acetaminophen-induced acute liver injury
Wenshang CHEN, Mingjing YIN, Jijin ZHU
2025, 41(1): 110-117. DOI: 10.12449/JCH250117
Abstract(870) HTML (226) PDF (2533KB)(58)
Abstract:
  Objective  To investigate the role and mechanism of thymic stromal lymphopoietin (TSLP) in a mouse model of acetaminophen (APAP)-induced acute liver injury.  Methods  A total of 16 wild-type (WT) male C57BL/6J mice were randomly divided into control group and APAP group, with 8 mice in each group, and the mice in the APAP group were given intraperitoneal injection of APAP solution at a dose of 400 mg/kg to establish an animal model, while those in the control group were given injection of an equal volume of normal saline, with samples collected after 6 hours. An automatic chemical analyzer was used to measure the serum levels of alanine aminotransferase (ALT) and aspartate aminotransferase (AST); quantitative real-time PCR was used to measure the mRNA expression levels of the inflammatory factors tumor necrosis factor-α (TNF-α) and interleukin-6 (IL-6) in liver tissue; the kit was used to measure the content of glutathione (GSH) in liver tissue homogenate; quantitative real-time PCR and Western blot were used to measure the transcriptional level and protein expression level of TSLP. Furthermore, 22 WT male C57BL/6J mice were randomly divided into control group with 8 mice, APAP group with 8 mice, and APAP+recombination TSLP (rTSLP) group with 6 mice; the mice in the APAP+rTSLP group were given intraperitoneal injection of rTSLP solution, while those in the control group and the APAP group were given injection of the solvent PBS; after 30 minutes, the mice in the APAP+rTSLP group and the APAP group were given injection of APAP solution, while those in the control group were given injection of an equal volume of normal saline. The serum levels of ALT and AST were measured; HE staining was used to observe the pathological changes of the liver; kits were used to measure the levels of the oxidative stress indices malondialdehyde (MDA) and superoxide dismutase (SOD) in liver tissue homogenate; Western blot was used to measure the expression levels of the autophagy-related proteins LC3‍Ⅰ/Ⅱ, Beclin1, and P62 and the molecules such as nuclear factor erythroid 2-related factor 2 (Nrf2), protein kinase B (Akt), phosphorylated Akt (p-Akt), mammalian target of rapamycin (mTOR), and phosphorylated mTOR (p-mTOR). In addition, 16 WT male C57BL/6J mice and 16 TSLP receptor-silenced (TSLPR-/-) mice were divided into WT mouse control group, WT mouse APAP group, TSLPR-/- mouse control group, and TSLPR-/- mouse APAP group, with 8 mice in each group; the mice in the WT mouse APAP group and the TSLPR-/- mouse APAP group were used for modeling by intraperitoneal injection of APAP solution at a dose of 400 mg/kg, and those in the WT mouse control group and the TSLPR-/- mouse control group were given injection of an equal volume of normal saline. The serum levels of ALT and AST and the content of MDA in liver tissue were measured for these four groups, and Western blot was used to measure the protein expression levels of LC3Ⅰ/Ⅱ, Akt, and p-Akt. The independent-samples t test was used for comparison of continuous data between two groups; a one-way analysis of variance was used for comparison between multiple groups, and the least significant difference t-test was used for further comparison between two groups.  Results  After the mouse model of APAP-induced acute liver injury was established successfully, there were significant increases in the mRNA and protein expression levels of TSLP compared with the control group (both P<0.01). In the study of rTSLP, compared with the control group, the APAP group had significant increases in ALT and AST (both P<0.001) and radial necrosis along the central vein observed by HE staining of liver tissue, as well as significant reductions in the protein expression levels of the oxidative stress indices SOD and Nrf2 and a significant increase in the level of MDA (all P<0.01); compared with the APAP group, the APAP+rTSLP group had significant reductions in ALT and AST, a significant reduction in necrotic area of liver tissue, significant increases in the protein expression levels of SOD and Nrf2, and a significant reduction in MDA (all P<0.05); there were significant differences in the protein expression levels of LC3Ⅰ/Ⅱ, Beclin1, P62, p-Akt, and p-mTOR between the APAP+rTSLP group and the control group (all P<0.01). In the study of TSLPR-/- mice, compared with the WT mice after modeling, the TSLPR-/- mice had significant increases in the levels of ALT, AST, and MDA and significant reductions in the expression levels of LC3Ⅰ/Ⅱ and p-Akt (all P<0.05).  Conclusion  TSLP can increase autophagy, reduce oxidative stress, and thus improve acute liver injury induced by APAP overdose, possibly by activating the PI3K/Akt signaling pathway and inhibiting mTOR.
Biliary Disease
Clinical features of patients with recurrent primary common bile duct stones after cholecystectomy
Jianhui LU, Yongli LI, Ruifang GUO, Rongquan XUE
2025, 41(1): 118-126. DOI: 10.12449/JCH250118
Abstract(1448) HTML (2838) PDF (877KB)(91)
Abstract:
  Objective  To investigate the general situation, dietary factors, and clinical features of patients with recurrent primary common bile duct stones, and to provide a basis for effective prevention of stone recurrence.  Methods  A retrospective analysis was performed for 23 730 patients who underwent cholecystectomy due to cholelithiasis in Department of Hepatobiliary, Pancreatic and Spleen Surgery, Inner Mongolia People’s Hospital, from January 2013 to December 2023, and according to the presence or absence of recurrence of primary common bile duct stones after surgery, 334 patients were divided into recurrence group. The recurrence group was further analyzed based on sex in terms of recurrence rate, recurrence cycle, recurrence age, recurrence type, and general, disease, imaging, and dietary factors. The independent-samples t test was used for comparison of continuous data between two groups, the chi-square test was used for comparison of categorical data between two groups.  Results  There were 334 cases of recurrence of primary bile duct stones after cholecystectomy, with a recurrence rate of 1.41%, and the highest frequency of recurrence cycle was observed in 10 years after surgery, with a significant difference in recurrence cycle between the male and female patients (t=5.238, P<0.001). There was a significant difference in the recurrence rate of stones after surgery between the patients with simple gallstones and those with gallbladder and common bile duct stones at initial diagnosis (1.23% vs 2.76%, χ2=42.104, P<0.001). The patients with recurrence aged >60 years accounted for the highest proportion in the whole population and in both male and female populations, and 92% were Han residents; 10% of the patients with recurrence had a family history of gallstones, and as for comorbidities, the patients with hypertension accounted for the highest proportion. Among the patients with recurrence, the patients with smoking or drinking accounted for 76.7% and 10.3%, respectively. As for body weight, 63.8% of the patients with recurrence had a normal body mass index (BMI), and 23.2% of the patients were overweight; compared with body weight at the time of the first gallbladder surgery, a reduction in body weight was observed in 60.1% of the patients with recurrence, while an increase in body weight was observed in 22.9% of the patients with recurrence. There were significant differences between the male and female patients with recurrence in age composition, ethnicity, the type of place of residence, comorbidities, smoking, drinking, BMI, and the change in body weight (all P<0.001). As for the type of stone recurrence, the ratio of multiple stones, solitary stones, and muddy stones was 74∶15∶11, and the stone size of <1 cm, 1-2 cm, and >2 cm accounted for about 40.5%, 48.8%, and 10.6%, respectively. As for the surgical procedure, the patients undergoing laparotomy accounted for 66.1%, and those undergoing laparoscopy accounted for 33.9%. The patients with various types of dyslipidemia accounted for a percentage of<30%. There were significant differences between the male and female patients with recurrence in the type of stones at initial onset, the type and size of stones, and surgical procedure (all P<0.001). Imaging data showed that 4 patients had an abnormal structure of the bile duct, manifesting as long and curve cystic ducts, and 73.1% of the patients had common bile duct dilatation after surgery. The follow-up of dietary factors showed irregular diets in 55.8% of the patients with recurrence. As for the dietary structure, meat and staple food accounted for 43.8% and 37.8%, respectively, which showed a sex difference, with meat in male patients and staple food in female patients; 64.1% of the patients with recurrence had a high-salt and high-oil diet; 59.8% of the patients had changes in diet after the first surgery for stones, among whom 80% were able to have a regular diet, and the patients with a regular diet accounted for 92%.  Conclusion  There is a relatively low recurrence rate of primary common bile duct stones in this area, and there is no sex difference. The peak of recurrence is 10 years after surgery, and recurrence of stones is mainly observed in the population aged >60 years. The analysis of dietary and clinical features can help doctors and patients to further understand the characteristics of the recurrence of primary common bile duct stones and provide a basis for subsequent targeted prevention.
Case Report
POEMS syndrome with hepatosplenomegaly as the initial manifestation: A report of two cases
Ye ZHANG, Wenqing WANG, Jing LI, Qianrong BAI, Jiayu LI, Yan CHENG, Miaomiao FANG, Nana GAO, Changxing HUANG
2025, 41(1): 127-132. DOI: 10.12449/JCH250119
Abstract(968) HTML (257) PDF (2190KB)(84)
Abstract:
POEMS syndrome is a rare condition associated with plasma cell disorders, and it often involves multiple systems and has diverse clinical manifestations. This article reports two cases of POEMS syndrome with hepatosplenomegaly as the initial manifestation. During the course of the disease, the patients presented with lower limb weakness, hepatosplenomegaly, lymph node enlargement, ascites, hypothyroidism, positive M protein, and skin hyperpigmentation, and 18F-FDG PET-CT imaging revealed bone lesions mainly characterized by osteolytic changes and plasma cell tumors. There was an increase in the serum level of vascular endothelial growth factor. The patients were finally diagnosed with POEMS syndrome, and the symptoms were relieved after immunomodulatory treatment.
Review
Application of health-related quality of life assessment in patients with chronic hepatitis B and related advances
Fei HUANG, Meifang HAN
2025, 41(1): 133-140. DOI: 10.12449/JCH250120
Abstract(1290) HTML (2054) PDF (763KB)(124)
Abstract:
The transformation of traditional biomedical model into the bio-psycho-social medical model means that the purpose of clinical diagnosis and treatment not only focuses on the disease itself, but also emphasizes the quality of life and happiness index of patients. Since chronic hepatitis B (CHB) is infectious and has high rates of recurrence and progression, patients have to bear many pressures in terms of physiology, psychology, economy, and society, which seriously affects their quality of life. Therefore, it is very important to perform health-related quality of life (HRQoL) assessments for patients with CHB. This article reviews the clinical significance and measurement tools of HRQoL assessments in patients with CHB and summarizes the influencing factors for HRQoL in CHB patients and the measures to improve their HRQoL. This article will provide theoretical support for dynamic monitoring of HRQoL in CHB patients and practical guidance for optimizing the clinical diagnosis and treatment regimens for CHB and improving the quality of life of patients.
Application of machine learning in the diagnosis and treatment of chronic hepatitis C
Hua HAN, Zhongping DUAN, Yang WANG
2025, 41(1): 141-144. DOI: 10.12449/JCH250121
Abstract(690) HTML (313) PDF (533KB)(72)
Abstract:
With the development of artificial intelligence, machine learning has shown great potential in the field of medical health. Machine learning conducts a comprehensive analysis of patient data including clinical features, blood tests, and imaging examinations and establishes corresponding mathematical models to achieve the diagnosis and treatment of diseases and the prediction of disease conditions, thereby guiding disease management. With reference to the latest research findings, this article reviews the application of machine learning in chronic hepatitis C and related research advances.
Advances of clinical trials related to Resmetirom as an approved new drug for metabolic dysfunction-associated steatohepatitis
Aifang LIU, Lei LUO, Wenlong YANG
2025, 41(1): 145-150. DOI: 10.12449/JCH250122
Abstract(2067) HTML (2537) PDF (1374KB)(311)
Abstract:
Metabolic dysfunction-associated steatotic liver disease is the largest liver disease around the world and is a serious public health hazard, but there has always been a lack of drugs approved for treatment. On March 14, 2024, Resmetirom became the first drug approved by the US Food and Drug Administration for the treatment of metabolic dysfunction-associated steatohepatitis (MASH). This article summarizes the mechanism of action of Resmetirom in the treatment of MASH, related clinical trial designs, and some research results and analyzes shortcomings and future prospects. Current data have shown that Resmetirom is effective in improving steatohepatitis and liver fibrosis, but there is still a large gap between Resmetirom and the ideal drug for the treatment of MASH, and it is expected to develop more effective drugs for MASH.
Research advances in the association of adipokines with metabolic associated fatty liver disease and its associated liver cancer
Yixiao ZHANG, Jianguang SUN, Bowen JIANG
2025, 41(1): 151-158. DOI: 10.12449/JCH250123
Abstract(1082) HTML (622) PDF (1450KB)(82)
Abstract:
With the emergence of unhealthy dietary structures in people’s life, metabolic associated fatty liver disease (MAFLD) has gradually become the most important chronic liver disease in China, and there is also a gradual increase in the cases of MAFLD-associated liver cancer. Adipose tissue not only has the function of energy storage, but also secretes adipokines that play an important role in the development and progression of MAFLD and its associated liver cancer. Studies on the mechanism of adipokines have provided important help for the prevention and treatment of MAFLD, and a large number of studies have shown that the abnormal secretion of adipokines is associated with MAFLD and plays an important regulatory role in the development and progression of liver cancer. Adipokines are not only regulated at the gene level, but they can also interact with genes through specific pathways to co-regulate pathophysiological processes such as inflammation, metabolism, immunity, and cell proliferation in MAFLD and its associated liver cancer. This article reviews the latest studies on the association of adipokines with MAFLD and its associated liver cancer, in order to provide new directions for further research on the pathogenesis of liver cancer.
Role of dynamin-related protein 1 in non-alcoholic fatty liver disease
Haishan SHEN, Shuo WANG, Gong FENG
2025, 41(1): 159-163. DOI: 10.12449/JCH250124
Abstract(1291) HTML (396) PDF (803KB)(86)
Abstract:
The morphological changes and functions of mitochondria are closely associated with the development and progression of non-alcoholic fatty liver disease (NAFLD). Dynamin-related protein 1 (Drp1) is one of the primary proteins determining mitochondrial fission, and its activity is strictly controlled to ensure the balance of mitochondrial dynamics according to cellular needs. Drp1 can enhance mitochondrial interactions and mitochondrial fission by promoting the formation of endoplasmic reticulum tubules, and the phosphorylation state and deacetylation of Drp1 can also affect the morphological changes of mitochondria, thereby affecting the status of NAFLD. This article elaborates on the role and mechanism of action of Drp1 in the progression of NAFLD, in order to provide ideas for targeted therapy for NAFLD.
Association of the adipokine Chemerin with the development and progression of liver fibrosis
Xinyuan ZHANG, Nuoqi ZHANG, Guohui YU, Wenshuai REN, Yaling WANG
2025, 41(1): 164-169. DOI: 10.12449/JCH250125
Abstract(1049) HTML (361) PDF (950KB)(70)
Abstract:
Liver fibrosis is the common pathological process in the progression of various chronic liver diseases to liver cirrhosis, and it greatly affects the prognosis of patients with chronic liver diseases. As a novel adipokine, Chemerin participates in the metabolism of glucose and lipids and inflammation, and various studies have shown that the expression level of Chemerin is correlated with the degree of liver fibrosis, suggesting that Chemerin may be involved in the process of liver fibrosis by regulating metabolism and inflammation. Chemerin has shown certain potential in the auxiliary diagnosis of liver fibrosis and the intervention against the progression of liver fibrosis. This article reviews the potential role and mechanism of action of Chemerin in the process of liver fibrosis, in order to provide new ideas for the diagnosis and treatment of liver fibrosis.
Molecular mechanisms of traditional Chinese medicine in reversing liver fibrosis
Xiaoling GUO, Zhansheng JIA, Jing ZHANG
2025, 41(1): 170-175. DOI: 10.12449/JCH250126
Abstract(1269) HTML (1880) PDF (917KB)(326)
Abstract:
Liver fibrosis is the intermediate stage in the progression of many chronic liver diseases to liver cirrhosis, and although there is still a lack of widely accepted and effective chemical or biological agents for reversing liver fibrosis, significant progress has been made in the treatment of liver fibrosis with traditional Chinese medicine. This article elaborates on the molecular mechanisms of different herbal extracts, a single Chinese herb, and Chinese patent drugs in reversing liver fibrosis, such as inhibiting liver inflammation, exerting an effect on lipid peroxidation damage, inhibiting the activation and proliferation of hepatic stellate cells, regulating the synthesis and secretion of pro-fibrogenic factors, and regulating the synthesis and degradation of extracellular matrix, in order to provide more precise options for the treatment of liver fibrosis in the future.
Diagnosis and treatment of cirrhotic portal hypertension with spontaneous portosystemic shunt: Current status and prospects
Yaxin CHEN, Wen GUO, Kaige LIU, Qian LI, Mingxin ZHANG
2025, 41(1): 176-182. DOI: 10.12449/JCH250127
Abstract(853) HTML (1846) PDF (1386KB)(100)
Abstract:
Liver cirrhosis is the terminal stage of various chronic liver diseases, with the main clinical manifestation of portal hypertension, which can lead to spontaneous portosystemic shunt (SPSS). SPSS is very common in clinical practice and is closely associated with the prognosis of patients. This article summarizes the recent studies in the clinical significance of cirrhotic portal hypertension with SPSS, the controversies in studies, and the current status and future prospects and challenges of treatment, in order to provide a reference for the standardized diagnosis and treatment of portal hypertension.
Research advances in liver venous deprivation
Bensong HE, Ming XIAO, Qijia ZHANG, Canhong XIANG, Yanxiong WANG, Yingbo LI, Zhishuo WANG
2025, 41(1): 183-188. DOI: 10.12449/JCH250128
Abstract(863) HTML (1969) PDF (664KB)(148)
Abstract:
Portal vein embolization (PVE) can induce atrophy of the embolized lobe and compensatory regeneration of the non-embolized lobe. However, due to inadequate regeneration of future liver remnant (FLR) after PVE, some patients remain unsuitable for hepatectomy after PVE. In recent years, liver venous deprivation (LVD), which combines PVE with hepatic vein embolization (HVE), has induced enhanced FLR regeneration. Compared with associating liver partition and portal vein ligation for staged hepatectomy (ALPPS), LVD triggers faster and more robust FLR regeneration, with lower incidence rate of postoperative complications and mortality rate. By reviewing related articles on LVD, this article introduces the effectiveness of LVD and analyzes the differences and safety of various technical paths, and it is believed that LVD is a safe and effective preoperative pretreatment method.
Research advances in pancreaticobiliary maljunction
Xiaoxuan TANG, Lei WANG, Bin ZHANG
2025, 41(1): 189-194. DOI: 10.12449/JCH250129
Abstract(1507) HTML (282) PDF (742KB)(205)
Abstract:
Pancreaticobiliary maljunction (PBM) is a rare congenital developmental defect of the biliary-pancreatic system characterized by a junction of the pancreatic and bile ducts outside the duodenal wall, forming an extended common channel. This anatomical anomaly compromises the normal function of Oddi’s sphincter, weakens defenses against reflux, and thus triggers a series of biliary and pancreatic complications. Although there is a relatively low incidence rate of PBM, its insidious clinical symptoms often lead to delayed diagnosis, which increases the difficulties in treatment and the risk of poor prognosis. For PBM patients with marked bile duct dilatation, surgical intervention, especially cholecystectomy combined with extrahepatic bile duct resection and bile duct-jejunum Roux-en-Y anastomosis, remains the standard treatment at present. For PBM without marked bile duct dilatation, there are still controversies over related treatment strategies, and most experts are in favor of cholecystectomy, while there is still a lack of consensus on the management of extrahepatic bile ducts, which requires further research and exploration. Endoscopic retrograde cholangiopancreatography (ERCP) is currently the gold standard for diagnosing PBM and assessing pancreaticobiliary abnormalities, and it can not only clarify the nature of lesion, but also collect the bile and biliary duct tissue for pathological examination. ERCP also has the function of interventional treatment, such as stenting, expansion, and drainage, thereby bringing benefits to patients comorbid with biliary neoplasms. However, the application of ERCP in screening is limited by its invasiveness, with increases in technique complexity and the risk of complications in the pediatric population. This article summarizes the definition, classification, pathogenesis, and epidemiological features of PBM and the research advances in current diagnosis and treatment strategies, in order to provide guidance for clinical practice.
Introduction of High - quality Articles in Foreign Journals
The New England Journal of Medicine|Xalnesiran with or without an immunomodulator in chronic hepatitis B
2025, 41(1): 62-62. DOI: 10.12449/JCH2501.gwqkjpwzjj1
Abstract(429) HTML (182) PDF (952KB)(81)
Abstract:
Journal of Hepatology|Genetic study of intrahepatic cholestasis of pregnancy in Chinese women unveils East Asian etiology linked to historic HBV epidemic
2025, 41(1): 182-182. DOI: 10.12449/JCH2501.gwqkjpwzjj2
Abstract(368) HTML (254) PDF (960KB)(49)
Abstract:
Acknowledgements
Current reviewers
2025, 41(1): 150-150. DOI: 10.12449/JCH2501.zhixie
Abstract(311) HTML (137) PDF (935KB)(38)
Abstract: