中文English
ISSN 1001-5256 (Print)
ISSN 2097-3497 (Online)
CN 22-1108/R
2023 NO.9
Theme Issue: Precision Diagnosis and Treatment of Biliary Tumors
Executive Chief Editor: ZENG Yongyi
Mengchao Hepatobiliary Hospital of Fujian Medical University

Display Method:
Editorial
Precise diagnosis and treatment of biliary tract carcinoma
Ruilin FAN, Zongren DING, Yongyi ZENG
2023, 39(9): 2025-2030. DOI: 10.3969/j.issn.1001-5256.2023.09.001
Abstract(1222) HTML (642) PDF (602KB)(198)
Abstract:
‍Biliary tract carcinoma (BTC) is a highly invasive malignant tumor, and its incidence rate has been gradually increasing in recent years. Most patients have lost the opportunity for surgery at the time of diagnosis, and traditional systemic chemotherapy has limited efficacy. In recent years, significant progress has been made for targeted immunotherapy guided by the concept of the precise treatment of tumor. This article reviews the precise diagnosis and treatment of BTC and discusses its clinical application.
Expert Forum
Hotspots and advances in neoadjuvant therapy for intrahepatic cholangiocarcinoma
Zhiwen LIN, Hongzhi LIU, Yongyi ZENG, Kecan LIN
2023, 39(9): 2031-2038. DOI: 10.3969/j.issn.1001-5256.2023.09.002
Abstract(1833) HTML (631) PDF (646KB)(219)
Abstract:
Intrahepatic cholangiocarcinoma (ICC) is a malignant tumor that originates from the epithelial cells of the intrahepatic bile ducts, specifically the secondary and higher branches. The incidence rate of ICC tends to increase significantly worldwide. Due to its insidious onset, atypical clinical symptoms in the early stage, and strong invasiveness, it is often in the advanced stage at the time of diagnosis, which may result in poor prognosis. Radical surgery is the only treatment method to prolong the survival time of patients, but recurrence and metastasis frequently occur after surgery, leading to a low 5-year survival rate. Neoadjuvant therapy refers to the administration of drug treatment or other treatment modalities before surgery to reduce tumor size, lower the risk of recurrence, increase the success rate of surgical resection, or provide better local control for surgery. Currently, there is still no standardized regimens for neoadjuvant therapy, and its potential impact on prognosis remains controversial. This article reviews the hotspots and advances in neoadjuvant therapy for ICC.
Diagnostic and treatment strategies for intrahepatic cholangiocarcinoma in special anatomical locations
Hui XUE, Fengwei LI, Kui WANG
2023, 39(9): 2039-2044. DOI: 10.3969/j.issn.1001-5256.2023.09.003
Abstract(834) HTML (645) PDF (642KB)(80)
Abstract:
The incidence rate of intrahepatic cholangiocarcinoma (ICC) has been increasing significantly in recent years, which has been taken seriously in clinical practice. Compared with hilar and extrahepatic cholangiocarcinoma, ICC tends to have an insidious onset, with clinical symptoms appearing at a later stage. ICC in special anatomical locations often refers to central-type ICC in proximity to major blood vessels and the confluence of bile ducts, namely hilar-type ICC and caudate lobe-type ICC, and such ICC has higher degrees of invasiveness and complexity compared with peripheral-type ICC. At the time of initial diagnosis, most patients with ICC in special anatomical locations do not have the opportunity for radical surgery due to the factors such as insufficient residual liver volume, jaundice, lymph node metastasis, and vascular invasion. With the rapid development of systemic therapy for ICC in recent years, some patients are downstaged after comprehensive therapy and thus obtain the opportunity for radical surgery, but more evidence is still needed to verify the efficacy of such approaches.
Features of lymph node metastasis and nerve plexus invasion in hilar cholangiocarcinoma and key points for dissection
Lixin ZHANG, Jianjiao ZHU, Gang YANG, Jingdong LI
2023, 39(9): 2045-2048. DOI: 10.3969/j.issn.1001-5256.2023.09.004
Abstract(1603) HTML (476) PDF (532KB)(118)
Abstract:
Hilar cholangiocarcinoma is the most common malignant tumor of the biliary tract, and radical surgery is still the only possible means for patients to obtain long-term survival. This article briefly describes the features of lymph node metastasis and nerve plexus invasion in hilar cholangiocarcinoma and reviews the current viewpoints on lymph node dissection and nerve plexus dissection in China and globally. It is shown that the regional lymph node dissection and nerve plexus dissection are generally accepted in China and globally, but there are still controversies over extended lymph node dissection.
Systemic therapy for gallbladder cancer in the era of precision medicine: Coexistence of opportunities and challenges
Rui ZHANG, Zhimin GENG
2023, 39(9): 2049-2056. DOI: 10.3969/j.issn.1001-5256.2023.09.005
Abstract(1304) HTML (483) PDF (627KB)(109)
Abstract:
Gallbladder cancer is the most common malignant tumor of the biliary system, and its treatment outcome is greatly limited by its invasiveness and insensitivity to conventional radiotherapy and chemotherapy. In recent years, the emergence of various high-throughput sequencing techniques has helped to deepen the understanding of the molecular mechanisms of gallbladder cancer, and promising therapeutic targets have been identified and studied in clinical trials at present. A comprehensive exploration of the molecular subtypes of gallbladder cancer is of great importance for developing individualized diagnosis and treatment strategies. Several molecular subtyping systems have been proposed based on multi-omics features, which enhances the comprehension of the molecular mechanisms and features of gallbladder cancer among clinical researchers. With reference to the latest research advances in gallbladder cancer, this article investigates the challenges in the mutation targets and molecular subtyping of gallbladder cancer, analyzes the novel targets for targeted therapy and immunotherapy, and proposes new ideas for the precise diagnosis and individualized treatment of gallbladder cancer.
Guideline
Chinese expert consensus on robot-assisted choledochal cyst excision in children (2022)
Professional Committee of Pediatric Robotic Surgery, Medical Robotic Surgery Doctor Branch of Chinese Medical Doctor Association & Professional Committee of Maternal and Child Minimally Invasive Surgery, China Maternal and Child Health Association
2023, 39(9): 2074-2080. DOI: 10.3969/j.issn.1001-5256.2023.09.007
Abstract(1172) HTML (1672) PDF (827KB)(136)
Abstract:
Robotic surgery in children started almost simultaneously with it in adults, but proceeded slowly. Since the Da Vinci robotic choledochal cyst(CC) surgery for children was firstly reported by Woo R et al in 2006, it has been gradually applied in more and more pediatric surgery centers with satisfied results. Though the successful implementation of robot-assisted congenital choledochal cyst excision in China was in 2013, the quantity and quality of this surgery have already reached a remarkable level. With the progress and application of the new technology, the acceptance of the robotic surgery for CC have kept increasing. In order to standardize the clinical practice, guarantee the quality of treatment, promote the healthy development of robotic choledochal cyst surgery for children, the Professional Committee of Pediatric Robotic Surgery of Medical Robotic Surgery Doctor Branch of Chinese Medical Doctor Association & Professional Committee of Maternal and Child Minimally Invasive Surgery of China Maternal and Child Health Association organized relevant experts to initiate the consensus on robot-assisted choledochal cyst excision in children. The consensus focuses on surgical indications, procedures and techniques, and the prevention and treatment of related surgical complications are also provided as supplementary at the end of the consensus.
Key points in AASLD Practice Guidance on Prevention, Diagnosis, and Treatment of Hepatocellular Carcinoma (2023)
Kechun WANG, Mingda WANG, Tian YANG
2023, 39(9): 2081-2086. DOI: 10.3969/j.issn.1001-5256.2023.09.008
Abstract(2473) HTML (507) PDF (623KB)(478)
Abstract:
In May 2023, the American Association for the Study of Liver Diseases (AASLD) published AASLD Practice Guidance on Prevention, Diagnosis, and Treatment of Hepatocellular Carcinoma (2023) online. The guidance mainly focuses on the prevention, diagnosis, and treatment of hepatocellular carcinoma (HCC) and provides corresponding suggestions and guidance for the problems existing in current clinical practice. The guidance emphasizes the importance and target population of HCC screening, specifies the diagnostic criteria and methods for early HCC, highlights the role of surgical treatment and related precautions in the treatment of HCC, and mentions the use of other treatment methods (such as radiotherapy, ablation, interventional therapy, and targeted therapy) and their own advantages and disadvantages. In addition, the guidance also introduces the details of HCC follow-up, such as examination items and frequency. The author’s team makes an excerpt of this guidance and systematically introduces the various key points for evaluation and related recommendations for clinical management, in order to provide a basis for the clinical management and decision-making of HCC patients from the aspect of evidence-based medicine.
Viral Hepatitis
Familial aggregation transmission of hepatitis B virus infection and influencing factors for outcome
Li LIU, Lixian CHANG, Chunyan MOU, Yingyuan ZHANG, Huimin LI, Yu LUO, Junyi LI, Chunyun LIU
2023, 39(9): 2087-2095. DOI: 10.3969/j.issn.1001-5256.2023.09.009
Abstract(1144) HTML (330) PDF (937KB)(107)
Abstract:
  Objective  To investigate the condition of hepatitis B virus (HBV) infection in Yunnan, China, in terms of familial aggregation, risk factors for transmission, and outcome, and to provide strategies for controlling the familial aggregation transmission of HBV.  Methods  The HBsAg-positive patients who were diagnosed in The Third People’s Hospital of Kunming from January 2015 to December 2017 were enrolled, and related data were analyzed, including demographic features and laboratory markers. The chi-square goodness-of-fit test for binomial distribution was performed for the families of the HBsAg-positive patients, and the familial aggregation rate was calculated. The univariate and multivariate Logistic regression models were used to analyze the risk factors for HBV transmission and new-onset liver cirrhosis or liver cancer. The Kaplan-Meier method was used to investigate the cumulative incidence rate of new-onset liver cirrhosis or liver cancer in HBsAg-positive patients, and the log-rank test was used for comparison.  Results  A total of 459 HBsAg-positive families were analyzed, involving 618 HBsAg-positive individuals and 918 HBsAg-negative individuals, and among these families, 107 had ≥2 HBsAg-positive family members, with a familial aggregation rate of 23.31% (χ2=95.393, P<0.001). The mode of transmission was mainly mother-to-child transmission. The multivariate Logistic regression analysis showed that sex (odds ratio [OR]=0.397, 95% confidence interval [CI]: 0.270-0.584, P<0.001), nationality (OR=1.655, 95%CI: 1.035-2.648, P=0.036), monthly income (OR=1.612, 95%CI: 1.094-2.375, P=0.016), shared sanitary appliance (OR=2.789, 95%CI: 1.530-5.086, P<0.001), liver cirrhosis at baseline (OR=2.702, 95%CI: 1.404-5.203, P=0.003), total cholesterol (OR=0.772, 95%CI: 0.657-0.908, P=0.002), and HBV DNA (OR=2.063, 95%CI: 1.753-2.428, P<0.001) were independent influencing factors for the familial aggregation transmission of HBV. The 618 HBsAg-positive patients were followed up for a mean time of 4.80 years, with 85 cases (13.75%) of new-onset liver cirrhosis or liver cancer, and the Kaplan-Meier analysis showed that the families with familial aggregation transmission of HBV had a significantly higher cumulative incidence rate of liver cirrhosis or liver cancer than those without familial aggregation transmission (χ2=10.629, P<0.001). A stratified analysis was performed for the 618 HBsAg-positive patients based on the presence or absence of antiviral therapy and familial aggregation transmission of HBV, and the results showed that the patients who came from the family with familial aggregation transmission of HBV and did not receive antiviral therapy had the highest cumulative incidence rate of liver cirrhosis or liver cancer (32.50%), while those who came from the family without familial aggregation transmission of HBV and received antiviral therapy had the lowest incidence rate of liver cirrhosis or liver cancer (3.33%).  Conclusion  Familial aggregation is observed in HBsAg-positive individuals, and screening, health education, and follow-up observation should be strengthened for their family members. Antiviral therapy can effectively reduce the incidence rates of liver cirrhosis and liver cancer in families with aggregation transmission.
Influencing factors for compliance with hepatocellular carcinoma surveillance in patients with chronic hepatitis B
Meng REN, Junxiu TAO, Ziming LI, Qi HAO, Yi YANG, Yufeng SHI, Yifan LIU, Yue XU, Tongtong ZHENG, Xiaodong LI
2023, 39(9): 2096-2102. DOI: 10.3969/j.issn.1001-5256.2023.09.010
Abstract(768) HTML (267) PDF (772KB)(55)
Abstract:
  Objective  To investigate the influencing factors for compliance with hepatocellular carcinoma (HCC) surveillance in patients with chronic hepatitis B (CHB).  Methods  The CHB patients who participated in the clinical study of Hubei Provincial Hospital of Traditional Chinese Medicine from June 2012 to December 2016 and had an interval of >4 years from the end of the clinical study were enrolled, and a questionnaire follow-up survey was conducted from September 2020 to December 2021. Early screening for HCC was conducted at least every 6 months as regular surveillance, and compliance with 4-year regular surveillance and related influencing factors were analyzed in the population at a high risk of HCC. The Wilcoxon rank-sum test was used for comparison of non-normally distributed continuous data between two groups, and the chi-square test was used for comparison of categorical data between groups. A multivariate Logistic regression analysis was used to investigate the influencing factors for regular HCC surveillance in CHB patients.  Results  A total of 223 CHB patients were enrolled, and 30.94% (69/223) of these CHB patients underwent regular HCC surveillance. The univariate analysis showed that age (χ2=11.940, P=0.003), long-term health education (χ2=32.066, P<0.001), use of antiviral drugs (χ2=10.004, P=0.002), and HBV DNA (χ2=12.365, P<0.001) were associated with the compliance with regular HCC surveillance in patients. The multivariate Logistic regression analysis showed that age ≥60 years (odds ratio [OR]=0.197, 95% confidence interval [CI]: 0.050-0.777, P=0.020) and long-term health education (OR=4.810, 95% CI: 2.219-10.429, P<0.001) were independent influencing factors for compliance with HCC surveillance in CHB patients.  Conclusion  There is poor overall compliance with regular HCC surveillance in CHB patients. CHB patients aged ≥60 years had poorer compliance with regular HCC surveillance than the other age groups, and patients receiving long-term health education tend to have good compliance with regular HCC surveillance.
Fatty Liver Disease
Mechanism of growth differentiation factor 11 regulating nonalcoholic fatty liver disease
Tao ZHANG, Xuecui YIN, Feifei REN, Lin DONG, Jia ZHANG, Gaofeng LU
2023, 39(9): 2103-2109. DOI: 10.3969/j.issn.1001-5256.2023.09.011
Abstract(1028) HTML (564) PDF (1551KB)(66)
Abstract:
  Objective  To investigate the effect of growth differentiation factor 11 (GDF11) on free fatty acid (FFA)-induced hepatocyte steatosis and the role of autophagy in this process.  Methods  A model of nonalcoholic fatty liver disease was established invitro, and recombinant GDF11 was added to observe its effect on hepatocyte steatosis and apoptosis. Chloroquine was added to inhibit autophagy, and the change in hepatocyte autophagy flow induced by GDF11 and its association with steatosis were explored. AM-12 cells were divided into control group, control+GDF11 group, model group, GDF11 group, and GDF11+chloroquine group. The cells in the control group were cultured with DMEM complete culture medium; the cells in the control+GDF11 group were cultured with GDF11 (100 ng/mL) added to the complete culture medium; the cells in the model group were treated with 1 mmol/L FFA (with an oleic acid/palmitic acid ratio of 2∶1) to induce hepatocyte steatosis; the cells in the GDF11 group were co-cultured with FFA and GDF11; the cells in the GDF11+chloroquine group were co-cultured with FFA, GDF11, and 20 μmol/L chloroquine (an autophagy inhibitor). Lipid droplet fluorescence staining and an automatic biochemical analyzer were used to observe lipid deposition in hepatocytes; Western blotting and protein immunofluorescence assay were used to measure the levels of autophagy-related proteins (p62 and LC3B) and the level of autophagy; JC-1 staining was used to measure mitochondrial membrane potential. A one-way analysis of variance was used for comparison of continuous data between multiple groups, and the least significant difference t-test was used for further comparison between two groups.  Results  Compared with the model group, the GDF11 group and the control group had significant reductions in the accumulation and volume of lipid droplets in hepatocytes (all P<0.05). The model group had a significantly higher level of triglyceride in hepatocytes than the GDF11 group and the control group (P<0.000 1). Compared with the control group, the model group had a significantly lower level of LC3B (P<0.05) and a significantly higher level of p62 (P<0.05); compared with the GDF11 group, the GDF11+chloroquine group had a significant increase in the level of triglyceride in hepatocytes (P<0.001); compared with the model group, the GDF11 group had a significant reduction in the content of ROS (P<0.05). After FFA induction, there was a significant increase in green fluorescence in cytoplasma, and compared with the control group, the model group had a significant increase in JC-1 monomers/aggregates (P<0.000 1) and a reduction in mitochondrial membrane potential; there was a reduction in the intensity of green fluorescence after the addition of GDF11, and compared with the model group, the GDF11 group had a significant reduction in JC-1 monomers/aggregates (P<0.05) and an increase in mitochondrial membrane potential.  Conclusion  GDF11 can alleviate FFA-induced lipotoxic liver injury and improve hepatocyte steatosis in nonalcoholic fatty liver disease by promoting autophagy.
Liver Fibrosis and Liver Cirrhosis
Value of traditional noninvasive fibrosis models in diagnosis of significant liver fibrosis in patients with chronic hepatitis B and metabolic associated fatty liver disease
Baisheng HUANG, Lanxin OU, Yingjie ZHANG, Meijie SHI, Sheng LI, Huanming XIAO, Xiaoling CHI
2023, 39(9): 2110-2116. DOI: 10.3969/j.issn.1001-5256.2023.09.012
Abstract(890) HTML (258) PDF (706KB)(71)
Abstract:
  Objective  To investigate the value of traditional noninvasive fibrosis models in the diagnosis of significant liver fibrosis in patients with chronic hepatitis B (CHB) and metabolic associated fatty liver disease (MAFLD).  Methods  A total of 499 patients who underwent liver pathological examination in Department of Hepatology, Guangdong Provincial Hospital of Traditional Chinese Medicine, from September 2014 to December 2020 and met the diagnostic criteria for CHB and MAFLD were enrolled in this study. The Scheuer scoring system was used to evaluate the degree of liver fibrosis. The Mann-Whitney U test was used for comparison of normally distributed continuous data between groups. A Spearman correlation analysis was used to investigate the correlation of each noninvasive diagnostic method with the degree of liver fibrosis; the receiver operating characteristic (ROC) curve was plotted to investigate the value of FibroScan, gamma-glutamyl transpeptidase-to-platelet ratio (GPR), aspartate aminotransferase-to-platelet ratio index (APRI), fibrosis-4 (FIB-4), and liver stiffness measurement-to-platelet ratio index (LPRI) in the diagnosis of CHB with MAFLD; a binary Logistic regression analysis was used to construct a combined model, and the area under the ROC curve (AUC) was compared between the combined model and the five indicators used alone. The DeLong method was used for comparison of AUC between any two noninvasive diagnostic methods.  Results  There were 198 patients in the group with no or mild liver fibrosis (S0-S1) and 301 patients in the group with significant liver fibrosis (S≥2). The S≥2 group had higher clinical indicators than the S0-S1 group, with significant differences between the two groups in alanine aminotransferase, aspartate aminotransferase, gamma-glutamyl transpeptidase, total bilirubin, GPR, FIB-4, APRI, LPRI, and liver stiffness measurement (LSM) (all P<0.05). The Spearman correlation analysis showed that GPR, FIB-4, APRI, LSM, and LPRI were positively correlated with the stage of liver fibrosis (r = 0.393, 0.414, 0.449, 0.553, and 0.580, all P<0.001). The ROC curve analysis showed that GPR, FIB-4, APRI, LSM, and LPRI used alone had an AUC of 0.704, 0.715, 0.740, 0.787, and 0.802, respectively, in the diagnosis of significant liver fibrosis. The binary Logistic regression analysis was used to construct a combined LGAF model of GPR, FIB-4, APRI, and LSM, which had an AUC of 0.814 in the diagnosis of significant liver fibrosis. LGAF was compared with GPR, FIB-4, APRI, LSM, and LPRI, respectively, in terms of AUC, and the results showed that there was a significant difference between LGAF and all five indicators except LPRI (Z=5.184, 4.884, 4.117, and 2.120, all P<0.05).  Conclusion  The five data models of FibroScan, GPR, APRI, FIB-4, and LPRI have a similar value in the diagnosis of significant liver fibrosis in CHB with MAFLD compared with the combined LGAF model, which provides reference and guidance for the application of noninvasive assessment of liver fibrosis in clinical practice.
Effect of the STING pathway on inflammatory cytokine secretion and phagocytosis by peripheral blood monocytes in patients with hepatitis B cirrhosis
Yifan YANG, Wanwei DU, Xia WANG, Guangde YANG, Li LI, Juanjuan FU, Xiucheng PAN
2023, 39(9): 2117-2121. DOI: 10.3969/j.issn.1001-5256.2023.09.013
Abstract(805) HTML (286) PDF (711KB)(42)
Abstract:
  Objective  To investigate the effect of the STING pathway on the inflammatory cytokine secretion and phagocytosis by peripheral blood monocytes in patients with hepatitis B cirrhosis.  Methods  Peripheral venous whole blood samples were collected from 35 patients with hepatitis B cirrhosis who were hospitalized in department of infectious diseases and 10 individuals who underwent physical examination in physical examination center in the Affiliated Hospital of Xuzhou Medical University from May to October 2020, and peripheral blood monocytes were isolated and extracted. Patients with hepatitis B cirrhosis were divided into three groups: cyclic GMP-AMP (cGAMP) (n=12), cGAMP+CCCP (n=12) and Control (n=11). In vitro, the STING activator cGAMP and/or the STING inhibitor CCCP were added to monocyte culture medium, and ELISA was used to measure the levels of interferon-α (IFN-α), interferon-β (IFN-β), interleukin-6 (IL-6), and tumor necrosis factor-α (TNF-α) in supernatant. In addition, the monocyte culture system containing cGAMP and/or CCCP was co-cultured with fluorescein-labeled Escherichia coli, and then flow cytometry was used to observe changes in the phagocytosis of monocytes. The independent-samples t test was used for comparison of continuous data between two groups; a one-way analysis of variance was used for comparison between multiple groups, and the least significant difference t-test was used for further comparison between two groups.  Results  Compared with the peripheral blood monocytes treated by the inhibitor CCCP, the peripheral blood monocytes stimulated by cGAMP secreted significantly higher levels of IFN-α, IFN-β, IL-6, and TNF-α (all P<0.05). Compared with the healthy group, the hepatitis B cirrhosis group had a significant reduction in the phagocytosis of E. coli by peripheral blood monocytes, with or without cGAMP/cGAMP+CCCP treatment (t=4.647, 2.790, and 2.504, all P<0.05), and cGAMP or cGAMP+CCCP stimulation had no significant effect on the phagocytosis of E. coli by peripheral blood monocytes in the patients with hepatitis B cirrhosis (P>0.05).  Conclusion  The activation of the STING pathway in peripheral blood monocytes is involved in the development of systemic inflammatory response in hepatitis B cirrhosis, and the activation of the STING pathway has no significant effect on the phagocytosis of bacteria by peripheral blood monocytes in hepatitis B cirrhosis.
Risk factors for non-neoplastic portal vein thrombosis in patients with liver cirrhosis
Tianfu LIU, Liang WANG, Lingyi ZHANG
2023, 39(9): 2122-2127. DOI: 10.3969/j.issn.1001-5256.2023.09.014
Abstract(787) HTML (234) PDF (591KB)(73)
Abstract:
  Objective  To investigate the risk factors for non-neoplastic portal vein thrombosis (PVT) in patients with liver cirrhosis and related early predictive factors.  Methods  A total of 50 cirrhotic patients with non-neoplastic PVT who were hospitalized and treated in Department of Hepatology, The Second Hospital of Lanzhou University, from July 1, 2021 to June 30, 2022 were enrolled as PVT group, and 100 cirrhotic patients without PVT who were treated during the same period of time were randomly selected as control group. Related clinical data were collected. The independent-samples t test was used for comparison of normally distributed continuous data between two groups, and the Mann-Whitney U test was used for comparison of non-normally distributed continuous data between two groups; the chi-square test was used for comparison of categorical data between two groups. A multivariate Logistic regression model analysis was used to investigate the influencing factors for PVT in liver cirrhosis, and the receiver operating characteristic curve was used to evaluate the predictive performance of influencing factors.  Results  The univariate analysis showed that there were no significant differences between the two groups in the indicators such as protein C, protein S, prothrombin time, international standardized ratio, fibrinogen, white blood cell count, platelet count, and biochemical parameters (all P>0.05), while there were significant differences between the two groups in history of splenectomy, history of endoscopic treatment of esophageal and gastric varices, history of hepatic encephalopathy, administration of non-selective β-blocker (NSBB), D-dimer, hemoglobin, and triglyceride (all P<0.05). The multivariate Logistic regression model analysis showed that D-dimer (odds ratio [OR]=1.120, 95% confidence interval [CI]: 1.006-1.246, P=0.038), history of splenectomy (OR=9.320, 95% CI: 2.928-29.665, P<0.001), history of hepatic encephalopathy (OR=16.813, 95% CI: 1.808-156.336, P=0.013), and administration of NSBB (OR=3.203, 95% CI: 1.020-10.051, P=0.046) were independent risk factors for PVT.  Conclusion  Elevated D-dimer, history of splenectomy, history of hepatic encephalopathy, and administration of NSBB are predictive factors for non-neoplastic PVT in patients with liver cirrhosis.
Role and mechanism of action of Sanhuang Xiexin Decoction in improving inflammatory injury of brain tissue in rats with hepatic encephalopathy
Ruixi ZHONG, Yuanqin DU, Xiyu XIAO, Wenxuan SONG, Yaobin NONG, Ronghuo ZHU, Jingjing HUANG
2023, 39(9): 2128-2136. DOI: 10.3969/j.issn.1001-5256.2023.09.015
Abstract(1351) HTML (442) PDF (1723KB)(56)
Abstract:
  Objective  To investigate the role and mechanism of action of Sanhuang Xiexin Decoction in improving inflammatory injury of brain tissue in rats with hepatic encephalopathy (HE) by establishing a rat model of HE.  Methods  A total of 30 Sprague-Dawley rats were randomly divided into normal group, model group, lactulose group (0.167 g/kg), low-dose Sanhuang Xiexin Decoction group (4.37 g/kg crude drug), and high-dose Sanhuang Xiexin Decoction group (8.74 g/kg crude drug), with 6 rats in each group. The rats were given subcutaneous injection of 40% carbon tetrachloride oil solution (twice a week for 9 weeks, at a dose of 5 mL/kg each time in the first week, followed by 3 mL/kg each time) to establish a model of liver cirrhosis, and then they were given intraperitoneal injection of thioacetamide (300 mg/kg, once a day for 3 consecutive days) to establish a model of HE. After modeling, each treatment group was given the corresponding drug by gavage for 1 week. Morris water maze was used to observe the learning and memory abilities of rats after modeling and administration, and then the rats were sacrificed to collect blood, liver, and colon samples, with brain tissue collected on ice. HE staining was used to observe the pathological sections of liver and brain tissue; liver function, intestinal pH value, and blood ammonia were measured for all rats; ELISA was used to measure the serum levels of tumor necrosis factor-α (TNF-α), interleukin-1β (IL-1β), and interleukin-6 (IL-6); the water content of brain tissue was calculated; quantitative real-time PCR was used to measure the mRNA expression levels of TNF-α, IL-1β, and IL-6, and Western blotting was used to measure the expression levels of nuclear factor-kappa B (NF-κB) p65 and phosphorylated NF-κB p65. A one-way analysis of variance was used for comparison of continuous data between multiple groups, and the least significant difference t-test or the Dunnett’s T3 method was used for further comparison between two groups.  Results  Compared with the model group, the low-and high-dose Sanhuang Xiexin Decoction groups had significant alleviation of the degeneration and necrosis of hepatocytes and brain cells and improvement in liver function in rats with HE (all P<0.05), significant reductions in blood ammonia and the serum levels of TNF-α, IL-1β, and IL-6 (all P<0.05), a relatively normal intestinal pH value (all P<0.05), significant improvements in searching platform latency and number of platform crossings in the Morris water maze test (all P<0.05), significant reductions in the water content of brain tissue and the mRNA expression levels of TNF-α, IL-1β, and IL-6 (all P<0.05), and significantly inhibited expression levels of NF-κB p65 and its phosphorylated protein (all P<0.05), and high-dose Sanhuang Xiexin Decoction tended to have a significantly better effect than low-dose Sanhuang Xiexin Decoction (all P<0.05).  Conclusion  Sanhuang Xiexin Decoction can improve inflammatory injury of brain tissue in HE rats by effectively inhibiting the transcriptional level of inflammatory factors and NF-κB p65 phosphorylation in the brain of HE rats.
Other Liver Disease
Disease spectrum of liver disease and its changing trend among inpatients in Nanjing Second Hospital from 2012 to 2021
Zhiyuan XU, Yongfeng YANG
2023, 39(9): 2137-2144. DOI: 10.3969/j.issn.1001-5256.2023.09.016
Abstract(1051) HTML (284) PDF (901KB)(56)
Abstract:
  Objective  To investigate the etiology, type, and composition of liver diseases and the changing trend of the composition ratio of different liver diseases among inpatients in Nanjing Second Hospital in the recent ten years.  Methods  A total of 65 185 inpatients with the primary diagnosis of liver disease were collected in Nanjing Second Hospital from January 2012 to December 2021. Statistical analyses were performed based on the causes and types of liver disease in different years, and composition ratios were calculated. The chi-square test was used for comparison of composition ratio between groups.  Results  A total of 65 185 patients with liver disease were enrolled, among whom there were 43 110 male patients and 22 075 female patients. Comparison between years showed that as for the type of liver disease, the proportion of patients with liver injury decreased from 55.94% to 46.98% (χ2=282.894, P<0.001). In terms of etiological distribution, viral hepatitis was still the main etiology, but its composition ratio decreased from 81.65% to 63.22% (χ2=433.919, P<0.001), and the composition ratio of hepatitis B decreased from 87.09% to 71.96% (χ2=655.893, P<0.001), while that of hepatitis C increased from 9.67% to 25.22% (χ2=858.840, P<0.001). The composition ratio of non-viral liver diseases tended to increase, such as drug-induced liver injury, alcoholic liver disease, nonalcoholic fatty liver disease, and autoimmune liver disease. Among the main causes of end-stage liver disease, autoimmune liver disease showed an increasing trend from 2.01% to 11.77% (χ2=459.726, P<0.001), which should be taken seriously by clinicians.  Conclusion  There are changes in the composition of main etiologies among inpatients with liver disease in Nanjing Second Hospital in the recent ten years, with the main etiology of viral hepatitis, but its composition ratio tends to decrease, while the composition ratio of non-viral liver disease is gradually increasing.
Effect of dimercaptosuccinic acid combined with zinc sulfate versus D-penicillamine in treatment of children with Wilson’s disease
Xue TIAN, Zhiqiang XU, Yi DONG, Jianguo YAN, Lili CAO, Danni FENG, Yinjie GAO, Shiyou XU, Jingfeng BI, Fuchuan WANG, Min ZHANG
2023, 39(9): 2145-2150. DOI: 10.3969/j.issn.1001-5256.2023.09.017
Abstract(1086) HTML (682) PDF (761KB)(58)
Abstract:
  Objective  To investigate the effect of dimercaptosuccinic acid (DMSA) combined with zinc sulfate versus D-penicillamine (DPA) monotherapy in the treatment of children with Wilson’s Disease (WD), and to provide a reference for clinical medication.  Methods  A total of 111 children with WD, aged 2-18 years, who were admitted to the Fifth Medical Center of Chinese PLA General Hospital from May 2018 to May 2021 were enrolled in this study and were randomly divided into DMSA+zinc sulfate treatment group (combination group with 52 children) and DPA monotherapy group (monotherapy group with 59 children), and the two groups were compared in terms of liver function parameters and 24-hour urinary copper at baseline and 6 and 12 months of treatment. The Mann-Whitney U test was used for comparison of continuous data between two groups, and the Wilson rank sum test was used for comparison within each group; the chi-square test or the Fisher’s test was used for comparison of categorical data between two groups.  Results  At 12 months of treatment, the combination group had a significantly lower loss to follow-up rate due to adverse drug reactions than the monotherapy group [3.85% (2/52) vs 20.34% (12/59), χ2=6.821, P=0.009]. At 6 and 12 months of treatment, both the combination group and the monotherapy group had significant improvements in alanine aminotransferase and aspartate aminotransferase (all P<0.001), while there were no significant differences between the two groups after treatment (all P>0.05). Both groups had an increase in 24-hour urinary copper at 6 months of treatment and a reduction at 12 months of treatment, with a level of 123.00 (80.25-204.04) μg/24 h in the combination group and 239.50 (171.50-490.25) μg/24 h in the monotherapy group, and the monotherapy group had a significantly higher level of 24-hour urinary copper than the combination group (Z=-3.090, P=0.002). For both groups at 12 months of treatment, there was a reduction in LSM in the children with a liver stiffness measurement (LSM) of ≥7.3 kPa; LSM was reduced by 1.8 (0.3-7.2) kPa in the 22 children in the combination group and was reduced by 2.2 (0.9-7.0) kPa in the 13 children in the monotherapy group; the children with a reduction in LSM accounted for 81.82% and 84.62%, respectively, in the two groups, with no significant difference between the two groups (χ2=0.127, P=0.721).  Conclusion  In the treatment of WD, although DMSA combined with zinc sulfate has lower urinary copper excretion than DPA monotherapy, there is no significant difference in clinical efficacy between the two regimens, and DMSA combined with zinc sulfate has better safety than DPA monotherapy.
Clinical efficacy of Jiedu Huayu Hushen prescription in treatment of acute-on-chronic liver failure complicated by hepatorenal syndrome
Yanjie LI, Sha WANG, Na WANG, Zhanjin MO, Dewen MAO, Qinglan SHI, Zuhong HUANG, Wenjie BO, Fuli LONG, Kun TANG, Peipei FENG, Min YANG
2023, 39(9): 2151-2157. DOI: 10.3969/j.issn.1001-5256.2023.09.018
Abstract(987) HTML (322) PDF (693KB)(37)
Abstract:
  Objective  To investigate the clinical efficacy of Jiedu Huayu Hushen prescription in the treatment of acute-on-chronic liver failure (ACLF) complicated by hepatorenal syndrome (HRS) and its effect on endotoxemia.  Methods  Clinical data were collected from 96 patients with ACLF complicated by HRS who were diagnosed and treated in The First Affiliated Hospital of Guangxi University of Chinese Medicine from March 2020 to June 2022, and they were divided into observation group and control group using a random number table, with 48 patients in each group. In addition to comprehensive Western medicine therapy, the patients in the control group were given norepinephrine and albumin, while those in the observation group were given Jiedu Huayu Hushen prescription combined with norepinephrine and albumin, and the course of treatment was 2 weeks for both groups. The two groups were compared in terms of serum endotoxin level, traditional Chinese medicine (TCM) syndrome score, 24-hour urine volume, renal function, liver function, coagulation function, and clinical outcome. The independent-samples t test was used for comparison of continuous data between two groups, paired t-test was used for comparison before and after treatment within the group; and the chi-square test was used for comparison of categorical data between two groups.  Results  Compared with the control group after 2 weeks of treatment, the observation group had a significantly lower TCM syndromes core (P<0.05), significantly lower levels of endotoxin, blood urea nitrogen, serum creatinine, cystatin C, and prothrombin time (all P<0.05), and significantly higher levels of glomerular filtration rate, 24-hour urine volume, serum albumin, and prothrombin time activity (all P<0.05). After 2 weeks of treatment, the observation group had a significantly higher overall response rate than the control group (87.50% vs 66.67%, P<0.05).  Conclusion  Based on comprehensive Western medicine therapy, Jiedu Huayu Hushen prescription can reduce serum endotoxin level, improve liver and renal function and coagulation function, and increase urine volume in patients with ACLF complicated by HRS, with a better clinical efficacy than Western medicine therapy alone.
Pancreatic Disease
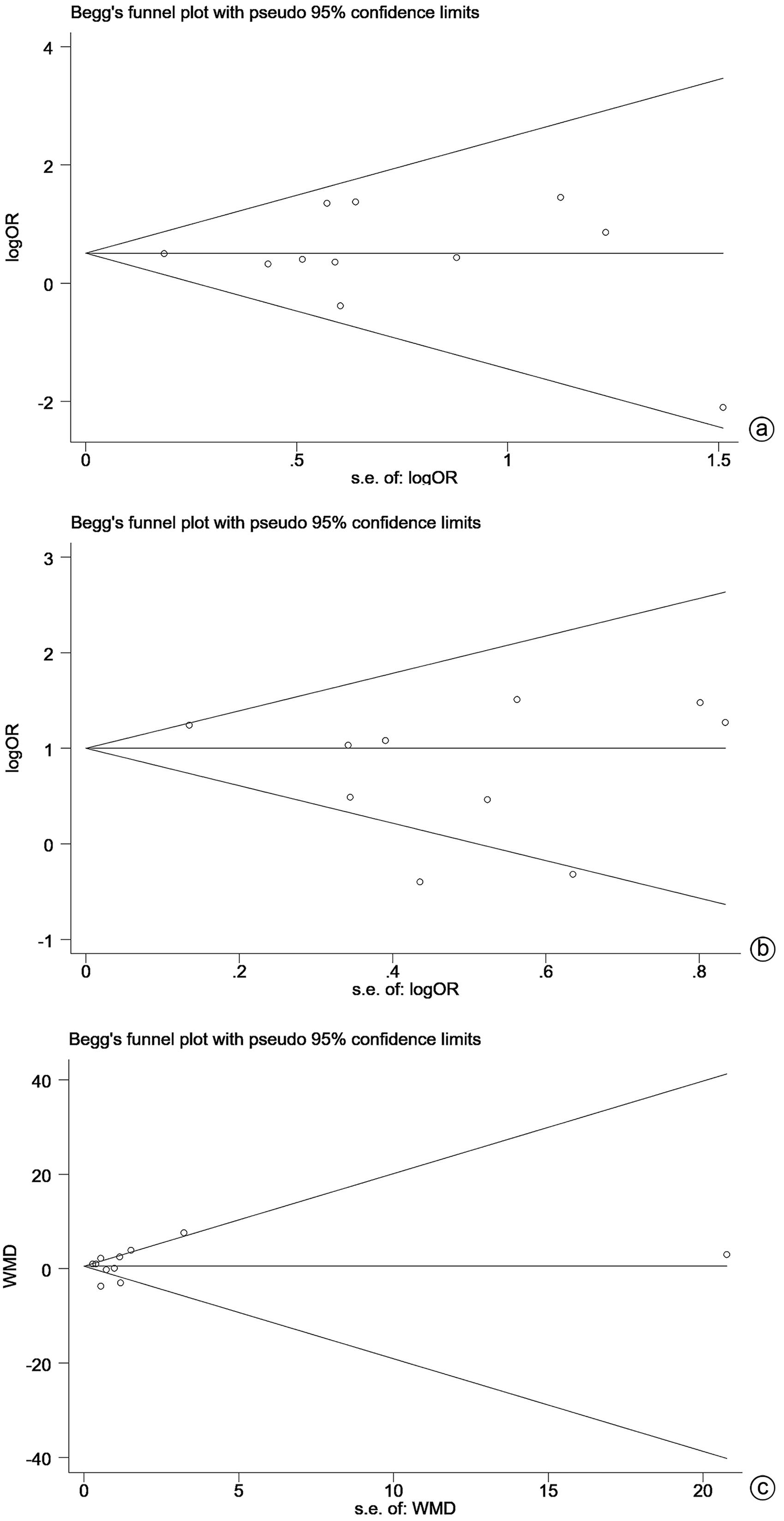
Efficacy and safety of aggressive fluid resuscitation versus conventional fluid resuscitation in early treatment of acute pancreatitis: A Meta-analysis
Zhangpeng WANG, Guangxu JING, Huanhuan LUO, Hongfei DONG, Xuyang WANG, Hongyu SUN, Lijun TANG
2023, 39(9): 2158-2168. DOI: 10.3969/j.issn.1001-5256.2023.09.019
Abstract(992) HTML (354) PDF (1574KB)(68)
Abstract:
  Objective  To systematically evaluate the efficacy and safety of aggressive fluid resuscitation versus conventional fluid resuscitation in the early treatment of acute pancreatitis (AP), and to provide a reference for clinical research and practice.  Methods  This study was conducted according to PRISMA guidelines, with a PROSPERO registration number of CRD42023455046. Chinese and English databases such as PubMed, the Cochrane Library, Web of Science, CNKI, VIP, and Wanfang Data were searched for randomized controlled trials and cohort studies on the clinical efficacy of aggressive fluid resuscitation versus conventional fluid resuscitation in the treatment of AP published up to November 30, 2022. RevMan 5.4 and Stata 17.0 were used to perform the meta-analysis.  Results  A total of 15 studies were included, with 4 061 patients in total. The meta-analysis showed that compared with the conventional fluid resuscitation group, the aggressive fluid resuscitation group had significantly higher incidence rate of persistent organ failure (odds ratio [OR]=2.19, 95% confidence interval [CI]: 1.46-3.29, P<0.001), incidence rate of pancreatic necrosis (OR=1.73, 95%CI: 1.19-2.51, P=0.004), and mortality rate (OR=1.64, 95%CI: 1.26-2.14, P<0.001), as well as significantly higher risks of infectious pancreatic necrosis (OR=1.82, 95%CI: 1.33-2.48, P<0.001), circulatory failure (OR=6.31, 95%CI: 1.81-21.93, P=0.004), respiratory failure (OR=3.81, 95%CI: 1.77-8.19, P<0.001), renal failure (OR=1.88, 95%CI: 1.11-3.19, P=0.02), abdominal compartment syndrome (OR=6.01, 95%CI: 2.45-14.71, P<0.001), and fluid overload (OR=3.83, 95%CI: 1.65-8.88, P=0.002).  Conclusion  Aggressive fluid resuscitation shows poor efficacy and safety in the early treatment of AP and may be unfavorable to the prognosis of patients. Due to the limited quantity and quality of studies included, more large multicenter randomized controlled trials are needed for verification in the future.
Expression and clinical significance of matrix metalloproteinase 7 and heparan sulfate proteoglycan 2 in pancreatic cancer
Jinfeng CHEN, LU Xiaoliu, Xiaoyun ZHANG, Xiping TANG
2023, 39(9): 2169-2174. DOI: 10.3969/j.issn.1001-5256.2023.09.020
Abstract(882) HTML (417) PDF (962KB)(34)
Abstract:
  Objective  To investigate the expression and clinical significance of matrix metalloproteinase 7 (MMP7) and heparan sulfate proteoglycan 2 (HSPG2) in patients with pancreatic cancer.  Methods  Pancreatic cancer tissue samples, normal adjacent tissue samples, and serum samples were collected from 30 patients who were admitted to Guangxi Medical University Cancer Hospital from January 2018 to December 2020, and serum samples were collected from 30 healthy volunteers as controls. Immunohistochemistry was used to measure the protein expression levels of MMP7 and HSPG2 in pancreatic cancer tissue samples and normal adjacent tissue samples; ELISA was used to measure the expression levels of MMP7 and HSPG2 in the serum samples of the pancreatic cancer patients and the healthy controls; related clinical data were collected to analyze the association of the expression of MMP7 and HSPG2 with clinicopathological features, survival, and prognosis. The independent-samples t test was used for comparison of continuous data between two groups, and the chi-square test or the Fisher’s exact test was used for comparison of categorical data between two groups; the Spearman correlation analysis was used to investigate the correlation between MMP7 and HSPG2; the Kaplan-Meier method was used to plot survival curves, and the Log-rank test was used for survival analysis.  Results  Immunohistochemistry showed that the protein expression levels of MMP7 and HSPG2 in pancreatic cancer tissue were significantly higher than those in adjacent tissue (χ2=31.093 and 35.623, both P<0.05). The patients with pancreatic cancer had significantly higher serum levels of MMP7 and HSPG2 than the healthy controls (t=20.174 and 32.600, both P<0.05). The expression of MMP7 and HSPG2 was associated with tumor diameter and TNM stage (both P<0.05). The Spearman correlation analysis showed a positive correlation between HSPG2 and MMP7 (r=0.539, P=0.002). The patients with positive protein expression of MMP7 and HSPG2 had a significantly lower overall survival rate than those with negative expression (χ2=4.084 and 12.554, both P<0.05).  Conclusion  MMP7 and HSPG2 are highly expressed in pancreatic cancer tissue and serum and are associated with tumor diameter and TNM stage. They may also be associated with the development and progression of pancreatic cancer, and therefore, they are expected to become potential markers for the diagnosis and prognostic evaluation of pancreatic cancer.
Case Report
Human immunodeficiency virus infection comorbid with autoimmune hepatitis-primary biliary cholangitis overlap syndrome: A case report
Shixiu PENG, Chunyan LI, Aiping HUANG, Songtao ZHU, Jing MAI, Liping WU
2023, 39(9): 2175-2178. DOI: 10.3969/j.issn.1001-5256.2023.09.021
Abstract(959) HTML (185) PDF (772KB)(68)
Abstract:
Acquired immunodeficiency syndrome mainly invades the human immune system and eventually leads to serious defects in human cellular immune function. Autoimmune hepatitis (AIH)-primary biliary cholangitis (PBC) overlap syndrome is a common type of the overlap syndrome of autoimmune liver disease and involves the damage to liver cells and bile capillaries caused by autoimmune dysfunction, while AIH-PBC overlap syndrome comorbid with human immunodeficiency virus (HIV) infection is relatively rare. Guanghan People’s Hospital, in collaboration with The General Hospital of Western Theater Command, reported the diagnosis and treatment of a patient with HIV infection and AIH-PBC overlap syndrome, so as to provide a reference for the clinical diagnosis and treatment of this type of disease.
T-tube flexible ureteroscopy in treatment of residual choledocholithiasis A case report
Shihong CHEN, Dong WU, Hong WEN, Yuanjun CHEN, Gang CAO
2023, 39(9): 2179-2184. DOI: 10.3969/j.issn.1001-5256.2023.09.022
Abstract(891) HTML (254) PDF (989KB)(64)
Abstract:
At present, endoscopic retrograde cholangiopancreatography (ERCP) and T-tube sinus tract lithotomy are the main treatment methods for residual choledocholithiasis after surgery. However, these treatment methods have certain drawbacks; for example, ERCP may cause complications such as postoperative pancreatitis, bleeding, and perforation, and T-tube sinus tract lithotomy may cause sinus tract injury and bleeding. As a commonly used instrument in urology, flexible ureteroscope has the characteristics of small diameter and flexible angle and thus has a good prospect in the treatment of common bile duct stones. A patient with common bile duct stones was successfully treated by flexible ureteroscopy combined with a stone basket in Department of General Surgery, The Second People’s Hospital of Guizhou Province. Up to now, the patient has been followed up for seven months with no special discomfort, and magnetic resonance cholangiopancreatography showed no common bile duct stones.
Review
Current research status of primary immune thrombocytopenia with hepatitis B virus infection
Mengzhen HUANG, Yangyang HE, Shixuan WANG
2023, 39(9): 2185-2190. DOI: 10.3969/j.issn.1001-5256.2023.09.023
Abstract(1002) HTML (222) PDF (609KB)(88)
Abstract:
Primary immune thrombocytopenia (ITP) is an autoimmune disease characterized by increased platelet destruction and impaired production. There is a high incidence rate of hepatitis B virus (HBV) infection in China, and it is often observed in clinical practice that ITP patients are often comorbid with HBV infection. HBV infection can not only directly inhibit platelet production and accelerate platelet destruction, but also affect the development, progression, clinical features, and treatment of ITP by regulating cellular immunity, humoral immunity, and innate immunity, and immunosuppressive therapy may cause HBV reactivation and thus lead to complex disease conditions. This article mainly reviews the immunological characteristics, prognosis, and treatment of ITP with HBV infection.
Regulatory role of hypoxia-inducible factor-1α/Yes-associated protein in nonalcoholic fatty liver disease
Hua ZHANG, Xuanxuan KOU, Jingxin DENG, Jiangang ZHANG
2023, 39(9): 2191-2197. DOI: 10.3969/j.issn.1001-5256.2023.09.024
Abstract(1087) HTML (971) PDF (807KB)(68)
Abstract:
Nonalcoholic fatty liver disease (NAFLD) is the most common chronic liver disease in the world and is closely associated with a variety of metabolic diseases, such as type 2 diabetes, insulin resistance, and cardiovascular and cerebrovascular complications associated with hypertension and dyslipidemia. NAFLD has complex etiologies and pathological mechanisms, and abnormal microenvironmental factors and gene expression regulation exist in all stages of disease progression and promote disease progression through cumulative effects. Hypoxia-inducible factors are hypoxia-inducible transcription factors, and Yes-associated protein (YAP)/transcriptional coactivator with PDZ-binding motif is a transcriptional coactivator, both of which are closely associated with the progression of NAFLD by regulating lipid deposition and oxidative stress in the liver and promoting the release of inflammatory factors. This article reviews the role of hypoxia-inducible factor-1α/YAP in the progression of NAFLD and its related metabolic diseases, so as to provide a theoretical basis for related therapeutic targets in the progression of NAFLD.
Research progress of sarcopenia in patients with liver cirrhosis
Xinghui ZHANG, Mengyao ZHENG, Jinhui YANG
2023, 39(9): 2198-2204. DOI: 10.3969/j.issn.1001-5256.2023.09.025
Abstract(2085) HTML (349) PDF (1935KB)(180)
Abstract:
Sarcopenia is a progressive and generalized muscle loss due to aging. With the deepening of research, it is found to be related to many chronic diseases. In patients with liver cirrhosis, owing to reduced protein intake, catabolism imbalance, insufficient self synthesis, and other reasons, the incidence of sarcopenia is extremely high, which negatively affects the treatment outcome and long-term survival, so it is an independent risk factor for poor prognosis in patients with liver cirrhosis. Therefore, it has important clinical value to manage sarcopenia in patients with liver cirrhosis. This review will explain the relationship between liver cirrhosis and sarcopenia from the aspects of definition, diagnosis, pathogenesis, clinical impact, and treatment.
Association between portal hypertension and malnutrition in liver cirrhosis
Nan GENG, Ming KONG, Yu CHEN, Zhongping DUAN
2023, 39(9): 2205-2209. DOI: 10.3969/j.issn.1001-5256.2023.09.026
Abstract(1241) HTML (248) PDF (544KB)(109)
Abstract:
The abnormal histological structure of liver cirrhosis leads to the increase in portal venous pressure, and portal hypertension is the main cause of the decompensated events of liver cirrhosis such as ascites, gastroesophageal variceal bleeding, hepatic encephalopathy, and hepatorenal syndrome. Malnutrition is one of the most common complications in cirrhotic patients with portal hypertension, and the main causes of malnutrition include reduced nutrient intake, nutrient absorption disorders, hypermetabolism, hyperammonemia, and intestinal flora disturbance. There is an interaction between portal hypertension and malnutrition in liver cirrhosis, and this article briefly reviews the research advances in such interaction.
Association between collateral circulation and gastroesophageal varices in portal hypertension
Lili ZHOU, Chunqing ZHANG
2023, 39(9): 2210-2216. DOI: 10.3969/j.issn.1001-5256.2023.09.027
Abstract(1317) HTML (423) PDF (597KB)(82)
Abstract:
Collateral circulation is one of the main symptoms of portal hypertension and is the anatomical basis for gastroesophageal varices. This article reviews the anatomical basis and types of collateral circulation and related research advances in the association between collateral circulation and gastroesophageal varices and elaborates on the pathophysiological mechanism of portal hypertension and the treatment strategies for gastroesophageal varices, so as to provide a theoretical reference for the clinical treatment of portal hypertension.
A comparative analysis of the hemogram and myelogram of patients with liver cirrhosis and the advantages and disadvantages of splenectomy
Huimin LI, Yizhuo CHEN, Rui ZHAO, Xiao HUANG, Fei HUANG, Huanhuan LI
2023, 39(9): 2217-2224. DOI: 10.3969/j.issn.1001-5256.2023.09.028
Abstract(935) HTML (462) PDF (703KB)(47)
Abstract:
Compensated liver cirrhosis (CLC) and decompensated liver cirrhosis (DLC) are the two clinically distinct stages of liver cirrhosis. CLC often has atypical symptoms, while DLC has a variety of clinical manifestations, mainly hypersplenism, i.e., splenomegaly with abnormal hemogram (reductions in white blood cell count, red blood cell count, and platelet count). In China, the indications for splenectomy include secondary hypersplenism, space-occupying lesions in the spleen, and traumatic splenic rupture, among which secondary hypersplenism is frequently observed in DLC. However, after splenectomy, some patients have no improvement and experience a series of complications. It has long been assumed that hemogram changes in DLC patients are mainly associated with hypersplenism, while myelogram changes are not taken seriously and are often neglected. Identifying the cause of hemogram changes in such patients is the key to the selection of treatment methods. Therefore, by summarizing the association between the hemogram and myelogram of patients with DLC, this article points out the drawbacks of performing splenectomy at random, so as to provide correct knowledge and guidance for the treatment of patients with DLC and hypersplenism.
Research advances in biomarkers for hepatorenal syndrome
Rong SUN, Li JIANG
2023, 39(9): 2225-2230. DOI: 10.3969/j.issn.1001-5256.2023.09.029
Abstract(933) HTML (222) PDF (613KB)(83)
Abstract:
Hepatorenal syndrome (HRS) is one of the major complications of end-stage liver cirrhosis and is characterized by reductions in renal blood flow and glomerular filtration rate due to excessive contraction of renal vessels. Although vasoconstrictor combined with human serum albumin is currently used as the first-line treatment option for HRS, liver transplantation is the only way to cure HRS, and without liver transplantation, patient condition deteriorates rapidly and even leads to death. Early identification of HRS in patients with liver cirrhosis may help to adopt timely and effective treatment measures. In recent years, the early warning value of biomarkers in HRS has attracted wide attention. This article briefly introduces the significance of biomarkers in the early diagnosis of HRS, in order to provide optimal strategies for clinical diagnosis and treatment.
Value of immune-inflammatory factors in predicting intrahepatic cholangiocarcinoma
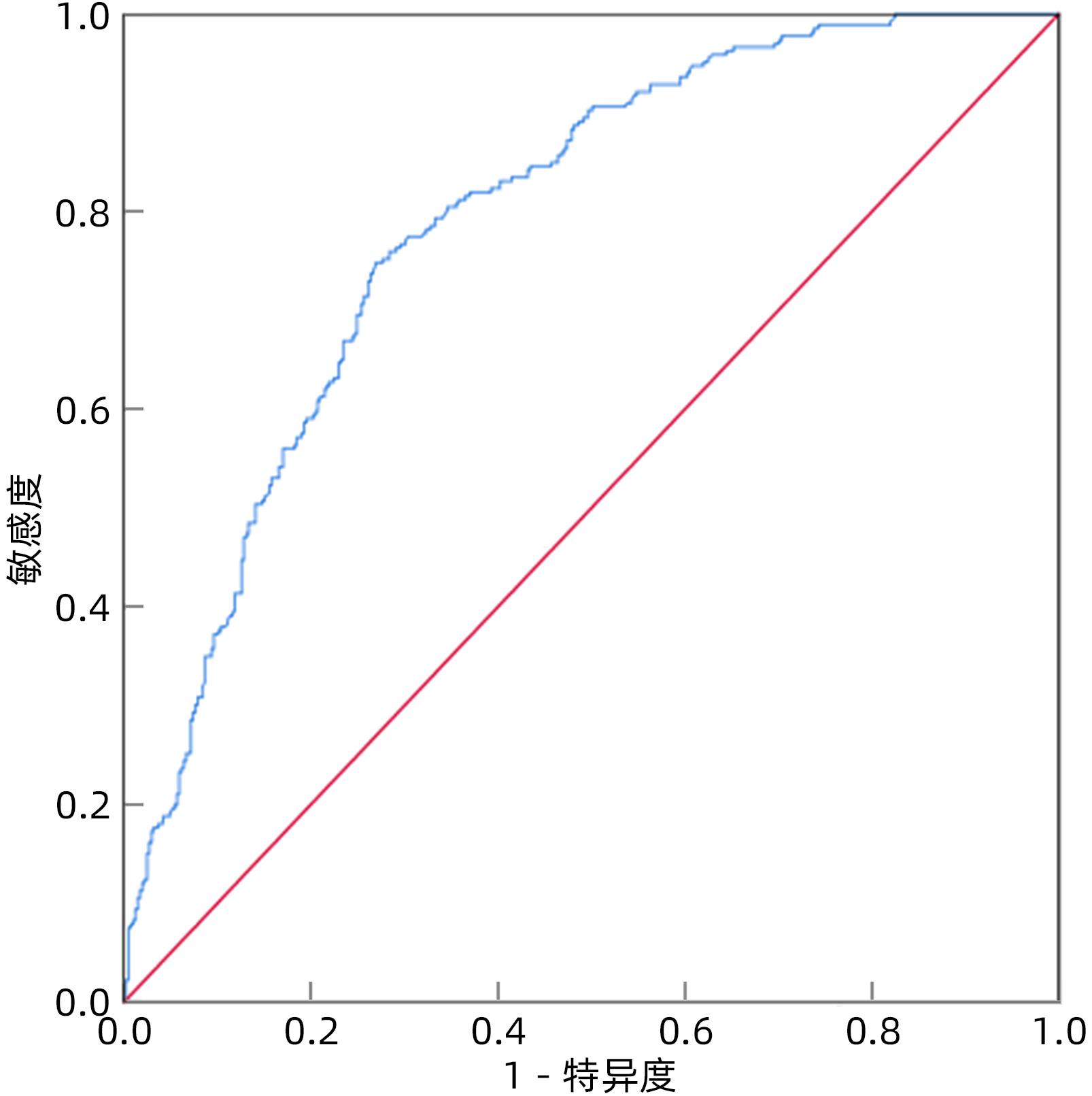
Guiling LIU, Jie DOU, Huijuan MENG, Bingqi MA
2023, 39(9): 2231-2236. DOI: 10.3969/j.issn.1001-5256.2023.09.030
Abstract(1215) HTML (296) PDF (562KB)(47)
Abstract:
Intrahepatic cholangiocarcinoma (ICC) is one of the most common primary liver malignancies, with an increasing incidence rate in the past two decades. Surgical resection is the main treatment method for ICC, but more than half of the patients have lost the opportunity for surgery at the time of initial diagnosis, with the only choice of locoregional or systemic treatment. At present, there is still a lack of satisfactory treatment outcomes for ICC. In ICC and other solid tumors, it has been found that some immune-inflammatory factors (IIFs) can effectively reflect the inflammatory state within the tumor, and these IIFs are significantly associated with tumor progression and prognostic markers. These IIFs are all calculated based on hematological parameters such as routine blood test results, C-reactive protein, albumin, and tumor markers, and they can be classified into three categories, i.e., direct inflammatory factors, tumor markers, and combined inflammatory factors. Comparative analysis has shown that combined inflammatory factors has a better value than direct inflammatory factors and tumor markers in predicting the prognosis of ICC patients. It is recommended to use prognostic inflammatory and tumor score, systemic inflammation score, and systemic inflammation response index as the scoring systems for evaluating the survival and prognosis of ICC patients.
Role of fecal microbiota transplantation in chronic liver diseases
Hongkai XU, Chunfu WANG, Ye ZHANG, Jianqi LIAN
2023, 39(9): 2237-2243. DOI: 10.3969/j.issn.1001-5256.2023.09.031
Abstract(1240) HTML (445) PDF (657KB)(84)
Abstract:
Gut microbiota dysbiosis is closely associated with the development, progression, and prognosis of chronic liver diseases, while chronic liver diseases can aggravate gut microbiota dysbiosis, and the two interact with and influence each other. Through transplantation of fecal flora from healthy donors, fecal microbiota transplantation (FMT) directly reconstructs the intestinal flora of patients and maintains homeostasis, thereby achieving targeted therapeutic outcomes. In recent years, many basic research studies and clinical trials have proved FMT as a core therapeutic strategy for reconstructing intestinal flora and an important breakthrough point in treatment regimens for liver diseases. This article reviews the basic research, clinical studies, and future prospect of FMT in chronic liver diseases.
Association of copper metabolism disorder with cell damage and liver diseases
Tao LIU, Yali LIU, Feiyu ZHANG, Yanhang GAO
2023, 39(9): 2244-2251. DOI: 10.3969/j.issn.1001-5256.2023.09.032
Abstract(1936) HTML (1290) PDF (1115KB)(258)
Abstract:
Copper is an essential trace element in human body and plays an important role in maintaining health in humans. Copper is involved in various metabolic pathways in human body, and copper metabolism disorder may lead to metabolic disorders such as impaired glucose tolerance and dyslipidemia. The liver plays a key role in maintaining copper homeostasis, and copper deficiency or excess may cause cell damage and liver dysfunction. Recent studies on copper metabolism have shown that copper metabolism disorder may result in cell damage by affecting oxidative stress, proteasome, cuproptosis, and angiogenesis and help to clarify the assumed mechanisms of liver diseases and metabolic disorders due to copper metabolism disorder. This article reviews the recent research advances in copper metabolism disorder in cell damage/death and chronic liver diseases, including Wilson’s disease, nonalcoholic fatty liver disease, and hepatocellular carcinoma, which helps to identify future research priorities.
Research advances in ATP-binding cassette transporter G5/8 and cholesterol gallstones
Qin LU, Weihui LIU
2023, 39(9): 2252-2257. DOI: 10.3969/j.issn.1001-5256.2023.09.033
Abstract(836) HTML (747) PDF (601KB)(49)
Abstract:
Cholesterol stone is a common type of gallstones and is affected by a variety of controllable and uncontrollable factors. In recent years, extensive studies have been conducted on genetic factors, especially their role in the formation mechanism of cholesterol stones. The ATP-binding cassette family is the largest membrane transporter family in human and plays a key role in maintaining lipid and sterol homeostasis. ATP-binding cassette transporter G5/8 (ABCG5/8) is a cholesterol transporter that participates in the regulation of cholesterol levels in the body and is considered the main genetic susceptibility factor for cholesterol gallstones in humans. This article reviews the research advances in ABCG5/8 in the formation of cholesterol gallstones and introduces the possibility of targeting ABCG5/8 in the treatment of cholesterol gallstones, in order to provide a certain theoretical basis for investigating the etiology and clinical treatment of cholesterol gallstones.
Application of traditional Chinese medicine in treatment of pancreatic fibrosis: Clinical strategies and research advances
Xiaodan JI, Biao GONG, Xingjia LI, Chan LYU, Ying XU
2023, 39(9): 2258-2264. DOI: 10.3969/j.issn.1001-5256.2023.09.034
Abstract(1918) HTML (419) PDF (779KB)(91)
Abstract:
Pancreatic fibrosis is the main irreversible pathological change during the progression of chronic pancreatitis, and at present, there is still a lack of effective drugs for the treatment of pancreatic fibrosis in clinical practice. This article summarizes the application of traditional Chinese medicine (TCM) in the treatment of pancreatic fibrosis in recent years from the aspects of clinical strategies and research advances. The TCM syndrome differentiation of pancreatic fibrosis involves the liver, gallbladder, spleen, and stomach, and pathological factors are associated with fire, blood stasis, and phlegm dampness. The research on the anti-pancreatic fibrosis effect of TCM extracts mainly involves spleen-strengthening, dampness-resolving, and blood stasis-resolving drugs, and intervention against the activation of pancreatic stellate cells is the main signaling pathway involved in the mechanism of TCM prescriptions in the treatment of pancreatic fibrosis. The above studies provide a reference for in-depth research on the application of TCM in the prevention and intervention of pancreatic fibrosis and the prevention and treatment of related complications.
Conference Trends at Home and Abroad
AASLD Congress (2023)
2023, 39(9): 2184-2184. DOI: 10.3969/j.issn.1001-5256.2023.09.gnwhydd1
Abstract(694) HTML (666) PDF (111KB)(29)
Abstract:
Introduction of High - quality Articles in Foreign Journals
Hepatology International|Exosomal miR-200b-3p induce macrophage polarization by regulating transcriptional repressor ZEB1 in hepatocellular carcinoma
2023, 39(9): 2204-2204. DOI: 10.3969/j.issn.1001-5256.2023.09.gwjpwzjj1
Abstract(597) HTML (368) PDF (161KB)(24)
Abstract:
Thanks
Current reviewers
2023, 39(9): 2174-2174. DOI: 10.3969/j.issn.1001-5256.2023.09.zhixie1
Abstract(493) HTML (245) PDF (893KB)(15)
Abstract: