中文English
ISSN 1001-5256 (Print)
ISSN 2097-3497 (Online)
CN 22-1108/R

留言板

尊敬的读者、作者、审稿人, 关于本刊的投稿、审稿、编辑和出版的任何问题, 您可以本页添加留言。我们将尽快给您答复。谢谢您的支持!

姓名
邮箱
手机号码
标题
留言内容
验证码

第40卷 第12期(总290期) 2024年12月
“胆道恶性肿瘤的外科治疗:机遇与挑战” 重点号
执行主编:汤朝晖
上海交通大学医学院附属新华医院

显示方式:
述评
重视早发性肝内胆管癌的研究
覃德龙, 陈家璐, 唐玥, 李宗龙, 汤朝晖, 全志伟
2024, 40(12): 2345-2350. DOI: 10.12449/JCH241201
摘要(1248) HTML (2905) PDF (612KB)(310)
摘要:
肝内胆管癌(ICC)是一种高度恶性的胆道肿瘤,其中早发性ICC(EOICC)是指确诊年龄≤50岁的ICC,但通常具有更晚的临床分期、更显著的生物学侵袭性。目前EOICC的发病率正在迅速增长,但其研究仍处于早期阶段。现有的研究表明EOICC具有与晚发ICC显著不同的流行病学、临床和分子学特征。因此,重视EOICC高危因素及发病机制等方面的研究对于EOICC的早识别、早诊断以及针对性治疗具有重要意义。由于EOICC患者年龄较轻、身体状况较佳,可耐受风险更大的医疗干预措施,采取更积极的个体化诊疗方案,因此患者可能获得与晚发ICC相似甚至更好的生存预后。然而,EOICC的分子学特征与ICC显著不同,现有的靶向药物可能不适用于EOICC患者,晚期EOICC患者系统治疗面临巨大挑战。EOICC的临床和基础研究整体滞后,需要进一步深入阐明EOICC的人群特征及其发病因素,进而推动建立适合EOICC群体的预防及诊疗规范。
专家论坛
肝内胆管癌外科治疗的若干问题
司安锋, 雷正清, 程张军
2024, 40(12): 2351-2357. DOI: 10.12449/JCH241202
摘要(1309) HTML (2285) PDF (705KB)(183)
摘要:
肝内胆管癌(ICC)在肝脏恶性肿瘤中发病率居第二位,恶性程度高、预后差。手术治疗目前仍是ICC可能获得治愈的唯一手段,但其R0切除率相对较低、术后无复发生存时间短。合理的切缘宽度、解剖性肝切除的价值、淋巴结清扫的地位以及腹腔镜肝切除和肝移植的肿瘤学效果等诸多问题仍有待厘清。本文旨在讨论ICC外科治疗策略的相关研究进展和存在的争议,以期为临床治疗决策提供参考。
腹腔镜肝内胆管癌根治手术的可行性及安全性
曾琦惠, 李富宇
2024, 40(12): 2358-2360. DOI: 10.12449/JCH241203
摘要(1300) HTML (2071) PDF (522KB)(138)
摘要:
腔镜技术已广泛应用于各种肿瘤外科的根治性切除手术中,但对于腹腔镜在肝内胆管癌根治术中的应用尚存在较多争议。近年来,各医学中心对此问题均进行了诸多探索。本文就近年来腹腔镜在肝内胆管癌根治术中的可行性及安全性进行综述,以期为临床实践提供参考。
肝外复发性肝内胆管癌治疗决策进展
王一航, 李江涛
2024, 40(12): 2361-2365. DOI: 10.12449/JCH241204
摘要(1418) HTML (2630) PDF (598KB)(112)
摘要:
肝内胆管癌的发病率在我国逐年上升,且作为一种高度致命的恶性肿瘤,预后极差。手术切除虽是唯一可能治愈的方法,但术后复发率高达50%~70%。复发部位最多见于肝脏,但也有15%~30%的患者发生肝外复发。针对肝外复发的治疗策略研究较少,尚无明确指南推荐,目前治疗多以化疗为主。研究显示,部分患者通过肝外复发部位的手术切除可延长生存期,尤其是单灶性复发的患者更具手术适应证。然而,手术仅适用于少数患者,大多数仍需依赖系统治疗及局部治疗。本文对相关文献进行综合分析,汇总影响肝外复发的关键因素,探讨手术相关适应证,强调个体化治疗策略的重要性,以期为未来的治疗模式提供参考。
胆囊癌手术治疗的现状与进展
殷晓煜, 许琼聪
2024, 40(12): 2366-2370. DOI: 10.12449/JCH241205
摘要(1862) HTML (2860) PDF (612KB)(139)
摘要:
胆囊癌是一种预后极差的恶性肿瘤,根治性手术切除仍然是其唯一有治愈希望的治疗手段。对于Tis、T1a期胆囊癌,单纯胆囊切除即可达到治愈效果;对于T1b~T2期胆囊癌,胆囊癌根治术(包括胆囊及肝部分切除和区域淋巴结清扫)是首选方式;对于T3~T4期患者,扩大根治术有可能改善部分患者的预后,但手术风险大、并发症发生率高,需要严格把握其适应证,并建议由经验丰富的肝胆胰外科团队实施。微创手术在胆囊癌手术治疗中的应用价值目前仍存在较多的争议,但越来越多的证据表明,在微创手术经验丰富的医学治疗中心,胆囊癌微创手术是安全可行的。本文在临床实践经验的基础上结合文献报道系统地阐述胆囊癌手术治疗现状与进展。
指南与规范
肝衰竭诊治指南(2024年版)
中华医学会感染病学分会肝衰竭与人工肝学组, 中华医学会肝病学分会重型肝病与人工肝学组
2024, 40(12): 2371-2387. DOI: 10.12449/JCH241206
摘要(5803) HTML (3547) PDF (1156KB)(1014)
摘要:
肝衰竭是临床常见的严重肝病症候群,病死率极高。多年来,各国学者对肝衰竭的定义、病因、分类、分型、诊断、治疗和预后等问题不断进行探索。根据国内外最新研究成果,中华医学会感染病学分会肝衰竭与人工肝学组和中华医学会肝病学分会重型肝病与人工肝学组在我国《肝衰竭诊治指南(2018年版)》的基础上对指南进行了全面更新,以指导和规范肝衰竭的临床诊疗。
指南解读
《肝衰竭诊治指南(2024年版)》解读
韩涛
2024, 40(12): 2388-2391. DOI: 10.12449/JCH241207
摘要(3686) HTML (2160) PDF (543KB)(1340)
摘要:
2024年中华医学会感染病学分会肝衰竭与人工肝学组和中华医学会肝病学分会重型肝病与人工肝学组对我国《肝衰竭诊治指南(2018年版)》进行了更新。‍ ‍《肝衰竭诊治指南(2024年版)》涵盖肝衰竭的定义和病因、肝衰竭的分类和诊断、肝衰竭的治疗、展望4个方面的内容。本文对新版指南更新的要点进行解读,以期更好地指导肝衰竭的临床诊疗。
病毒性肝炎
慢性HBV感染者组织学免疫耐受状态无创诊断指标及相关模型的建立与评价
杜欣雨, 李嘉, 蒋贝, 赵坤宇, 胡月, 王凤梅, 鲁凤民
2024, 40(12): 2392-2398. DOI: 10.12449/JCH241208
摘要(1314) HTML (396) PDF (921KB)(121)
摘要:
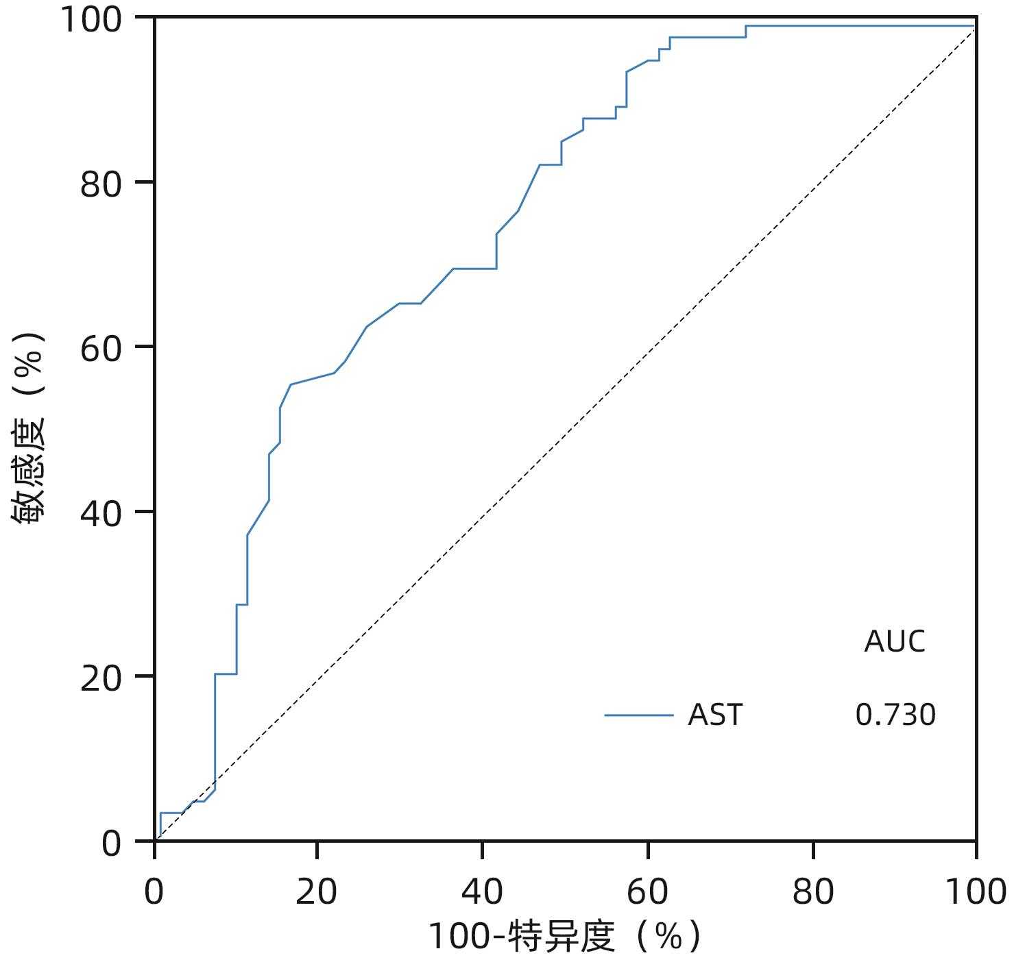
  目的  慢性HBV感染自然史多有组织学意义上的免疫耐受状态,免疫耐受状态一旦打破,需立即启动抗病毒治疗。通过对免疫介导的肝损伤与HBV病毒学指标进行相关性分析,精准定义肝组织学免疫耐受状态的患者。  方法  以2010年1月—2022年12月中国人民解放军总医院第五医学中心、天津市第二人民医院、上海瑞金医院和浙江省台州医院收集的HBeAg阳性且HBV DNA>2×106 IU/mL未经抗病毒治疗的577例慢性乙型肝炎患者为研究对象。通过肝组织活检确定肝损伤情况,检测血清ALT、AST水平及病毒学指标。分析现有各大指南无创指标特别是HBV DNA载量界值不同的情况下,肝组织免疫耐受状态患者所占比例。进一步尝试以与肝组织免疫病理损伤程度相关性消失时的血清HBV DNA为新的阈值,联合多因素指标建立组织学免疫耐受状态的诊断模型。计量资料两组间比较采用Mann-Whitney U检验。计数资料两组间比较采用χ2检验。采用Spearman法进行相关性分析。采用二元Logistic回归分析建立多因素诊断模型,并应用受试者工作特征曲线下面积(AUC)明确各模型的诊断效能,AUC的比较采用Z检验。  结果  中国2022版、EASL 2017版、AASLD 2018版、APASL 2015版慢性乙型肝炎防治指南病毒学无创指标所鉴定出的免疫耐受状态患者中符合本研究定义(HBV DNA>2×106 IU/mL)的组织学免疫耐受状态的比例分别为47.0%、38.5%、36.0%、44.6%,均未超过50%。当将血清HBV DNA阈值升至>2×108 IU/mL时,尽管免疫介导的肝损伤与HBV DNA相关性消失(r=-0.029,P=0.704),此时肝组织免疫耐受状态患者所占比例也仅为52.0%。在血清HBV DNA>1×108的HBeAg阳性患者队列(n=251)中,显著肝损伤组(n=140)和无显著肝损伤组(n=111)HBsAg、HBeAg、HBV DNA、ALT及AST水平比较,差异均有统计学意义(P值均<0.05),进一步多因素二元Logistic回归分析结果显示,AST、HBV DNA、HBeAg是患者组织学免疫耐受状态的独立影响因素(P值均<0.05)。根据以上指标并结合临床,建立预测模型:logit(P)=1.424-0.028×AST,AUC为0.730,AST最佳临界值为30.5 U/L,敏感度和特异度分别为52.8%、84.1%。进一步使用浙江省台州医院接受肝穿刺活检的238例成人慢性HBV感染者作为验证队列,验证结果显示,本研究建立的模型预测效能优于AST/ALT、FIB-4、APRI(AUC分别为0.698、0.555、0.518、0.373,P值均<0.05)。  结论  在HBV DNA>2×108 IU/mL的HBeAg阳性慢性HBV感染者中,AST>30.5 U/L时,提示组织学免疫耐受状态可能被“打破”。
Δ总胆红素-甲胎蛋白评分模型对HBV相关慢加急性肝衰竭短期预后的预测价值
陈雨琪, 李春燕, 汤善宏
2024, 40(12): 2399-2405. DOI: 10.12449/JCH241209
摘要(1404) HTML (1876) PDF (1077KB)(83)
摘要:
  目的  探索血清总胆红素的动态变化(Δ总胆红素)及甲胎蛋白与HBV相关慢加急性肝衰竭(HBV-ACLF)患者短期预后的相关性,并建立新的评分模型,与MELD等评分模型对比分析新模型在HBV-ACLF短期预后中的作用价值。  方法  选取2015年1月—2022年12月于西部战区总医院消化内科住院治疗的HBV-ACLF患者作为回顾性研究队列。收集所有患者入院24 h临床资料,根据随访90天后的生存情况将患者分为生存组和死亡组。符合正态分布的计量资料组间比较采用成组t检验;偏态资料2组间比较采用Mann -Whitney U检验。计数资料2组间比较采用χ2检验或校正χ2检验。采用Logistic多因素回归分析,得出影响HBV-ACLF患者预后的危险因素并建立预后预测模型,采用受试者工作特征曲线(ROC曲线)评价新模型对于HBV-ACLF患者短期预后的预测价值。  结果  共纳入361例患者,90天生存率为67.3%(243/361),死亡组(n=118)年龄、上消化道出血发生率、肝性脑病发生率、INR、PT、白细胞、单核细胞、中性粒细胞、肌酐、Δ总胆红素、MELD评分、ALBI评分均高于生存组(n=243)(P值均<0.05);TC、HDL、LDL、白蛋白、甲胎蛋白、血小板、淋巴细胞、Na+均显著低于生存组(P值均<0.05)。多因素Logistic回归分析显示,AFP、PT、Na+、Δ总胆红素是HBV-ACLF患者90天预后的独立影响因素(P值均<0.05)。获得新的预测模型,即Δ总胆红素-甲胎蛋白评分模型:11.987+1.168×Δ总胆红素(%)-0.095×Na+(mmol/L)+ 0.25×PT(s)-0.002×AFP(ng/mL),由此构建的模型具有较高预测价值(AUC为0.796,敏感度0.766,特异度0.723),决策曲线提示获益较好。  结论  Δ总胆红素-甲胎蛋白评分模型与MELD评分、ALBI等常用预测模型相比,具有较高预测效能。
脂肪性肝病
2018—2023年中药复方治疗非酒精性脂肪性肝炎的随机对照试验质量评价
姚伟伟, 焦睿珉, 刘可佳, 徐帅, 李丽, 尤红, 赵静洁
2024, 40(12): 2406-2414. DOI: 10.12449/JCH241210
摘要(1750) HTML (2045) PDF (1291KB)(87)
摘要:
  目的  评价中药复方治疗非酒精性脂肪性肝炎(NASH)随机对照试验(RCT)的研究质量,为规范该领域RCT的研究设计和报告提出建议。  方法  系统检索2018年1月1日—2023年12月31日PubMed、Web of Science、Embase、Cochrane Library、中国知网、维普和万方等数据库发表的中药复方干预NASH的RCT相关文献,参照Cochrane偏倚风险评估工具(RoB 2.0)和临床试验报告统一标准CONSORT 2010及针对中药复方CONSORT-CHM Formulas 2017扩展版分别对文献进行筛选评价及分析讨论。  结果  本研究最终纳入文献45篇,大部分研究被RoB 2.0评为高风险偏倚。根据CONSORT对照检查清单发现大部分关于RCT研究质量的关键条目报告率较低。  结论  近6年中药复方治疗NASH的临床研究偏倚风险较大,报告质量较差,从而可能造成证据质量不高,提示在挖掘中医药优势的同时更应注重临床研究的顶层设计,提高研究质量。
自身免疫性肝病
灵芝酸A对刀豆球蛋白A诱导的急性免疫性肝损伤小鼠模型的影响及其作用机制
崔怡, 乔凤杰, 邱嘉昊, 刘羽飞, 高竺君, 尚志, 高月求
2024, 40(12): 2415-2423. DOI: 10.12449/JCH241211
摘要(1417) HTML (1954) PDF (6136KB)(84)
摘要:
  目的  观察灵芝酸A(GA-A)对刀豆球蛋白A(ConA)诱导的小鼠自身免疫性肝炎(AIH)模型的治疗作用。  方法  将35只小鼠随机分为空白组(NC组)、模型组(ConA组)和GA-A低、中、高剂量治疗组(GA-A-L组、GA-A-M组、GA-A-H组),每组各7只小鼠。通过尾静脉注射ConA建立经典AIH小鼠模型,1 h后通过腹腔注射不同剂量GA-A治疗。应用蛋白质组学技术探究GA-A对肝细胞的保护机制,另外在体外用全反式维甲酸(ATRA)将HL-60细胞分化为dHL-60中性粒细胞来验证GA-A的作用机制。检测炎症(血清ALT和AST活性、HE染色及炎症相关基因)、凋亡(TUNEL染色)、中性粒细胞和中性粒细胞胞外陷阱(NET)标志物[髓过氧化物酶(MPO)、瓜氨酸化组蛋白3(CitH3)、Ly6G、游离双链DNA(dsDNA)]及p38磷酸化指标。计量资料两组间比较采用成组t检验;多组间比较采用单因素方差分析,进一步两两比较采用LSD-t检验。  结果  与NC组相比,ConA组小鼠血清ALT和AST水平显著增加(P值均<0.001)。与ConA组相比,GA-A治疗显著降低ALT和AST水平(P值均<0.01)。HE染色结果表明,ConA组小鼠肝脏发生明显坏死。GA-A治疗后显著减少肝坏死面积和TUNEL阳性肝细胞的数量(P值均<0.05)。另外,与ConA组相比,GA-A治疗后血清和肝组织中炎症因子IL-6、TNF-α和IFN-γ表达水平显著降低(P值均<0.05)。蛋白质组学分析提示,GA-A通过抑制NET的释放和p38 MAPK通路来减轻ConA诱导的急性免疫性肝损伤。小鼠肝组织免疫荧光染色结果显示,与ConA组相比,GA-A治疗组MPO阳性中性粒细胞的数量及Ly6G和CitH3阳性细胞的数量显著降低(P值均<0.01)。Western Blot及dsDNA结果显示,GA-A显著抑制小鼠肝组织及dHL-60细胞中的NET标志物dsDNA、CitH3以及p38磷酸化水平(P值均<0.05)。  结论  GA-A抑制p38 MAPK通路和NET释放减轻肝脏炎症反应和肝细胞死亡,从而减轻ConA诱导的急性免疫性肝损伤。 本研究为GA-A通过调节嗜中性粒细胞功能治疗免疫性肝损伤提供了理论依据。
肝纤维化及肝硬化
FIB-4和APRI评估慢性HBV感染者肝纤维化程度的效果比较
李小婷, 胡伯斌, 刘宏宇, 金超, 蔡彩莲, 王可杉, 韦艳春, 江建宁, 苏明华
2024, 40(12): 2424-2429. DOI: 10.12449/JCH241212
摘要(1643) HTML (458) PDF (1514KB)(91)
摘要:
  目的  比较FIB-4和APRI在慢性HBV感染者晚期肝纤维化和疾病进展中的预测效能。  方法  纳入2013年2月—2022年12月在广西医科大学第一附属医院感染科进行肝穿刺的慢性HBV感染者497例,其中回顾性研究404例,前瞻性研究75例。收集患者基线人口统计学特征(性别、年龄)、生化指标(ALT、AST)、血小板计数等指标,并计算FIB-4和APRI。非正态分布的计量资料两组间比较采用Mann-Whitney U检验,多组间数据比较采用Kruskal-Wallis H检验;计数资料组间比较采用χ2检验。采用ROC曲线下面积(AUC)分析评估APRI和FIB-4预测慢性HBV感染者肝纤维化程度和疾病进展的能力。  结果  在回顾性分析中,与FIB-4<2.67相比,FIB-4在高范围值(≥2.67)诊断为肝硬化和肝细胞癌的患者占比较高(66.19% vs 47.54%,χ2=12.75,P<0.001)。FIB-4和APRI在F0~F4期的中位值随着肝纤维化程度增加而增加,差异有统计学意义(H值分别为42.5、35.9,P值均<0.001)。在F0~F4各纤维化分期中,相同分期的FIB-4中位值均高于APRI(H=59.71,P<0.001)。FIB-4预测F3期的AUC值与APRI差异无统计学意义(0.67 vs 0.65,Z=0.71,P=0.480),预测F4期的AUC值高于APRI,差异有统计学意义(0.72 vs 0.64,Z=10.50,P<0.001)。在前瞻性研究队列中,FIB-4和APRI在出现疾病进展(慢性乙型肝炎-肝硬化)的患者中表现出随时间增加的趋势。FIB-4和APRI预测疾病进展(慢性乙型肝炎-肝硬化)的AUC分别为0.718(95%CI:0.476~0.760)和0.555(95%CI:0.408~0.703);FIB-4预测疾病进展的准确率高于APRI(χ2=12.44,P<0.001)。  结论  FIB-4和APRI均可作为评估晚期肝纤维化(F3和F4)以及预测疾病进展与否的依据,但FIB-4优于APRI。
肝硬化食管胃静脉曲张二级预防患者内镜治疗后再出血的影响因素分析
赵爽, 朱玉轩, 刘越, 王静, 李群, 王明辉, 董倩倩, 范飞飞, 刘晓峰
2024, 40(12): 2430-2440. DOI: 10.12449/JCH241213
摘要(1283) HTML (360) PDF (1261KB)(73)
摘要:
  目的  探究肝硬化食管胃静脉曲张(GOV)二级预防患者经内镜治疗后再出血的影响因素,及序贯治疗次数对术后再出血的影响。  方法  选取2017年1月—2021年12月于中国人民解放军联勤保障部队第九六〇医院就诊的1 717例肝硬化GOV二级预防患者,根据内镜治疗后是否发生出血,分为未出血组和再出血组。分析患者再出血的影响因素,并研究内镜下治疗次数与再出血的关系。计数资料组间比较采用χ2检验。计量资料两组间比较采用成组t检验或Mann-Whitney U检验;多组间比较采用Kruskal-Wallis H检验,进一步两两比较采用Wilcoxon检验。应用Cox回归模型分析再出血的影响因素。Kaplan-Meier法绘制生存曲线,组间比较采用Log-rank检验。  结果  内镜治疗后286例(16.7%)患者发生再出血,1 431例(83.3%)患者未出血。两组患者比较,吸烟史、饮酒史、肝硬化病因、Hb、凝血酶原时间(PT)、凝血酶原活动度(PTA)、国际标准化比值(INR)、Alb、空腹血糖(GLU)、尿素氮(BUN)、Child-Pugh分级、APRI评分、ALBI评分、术前是否服用非选择性β受体阻滞剂(NSBB)、治疗方式、静脉曲张类型及最大静脉曲张直径等,差异均有统计学意义(P值均<0.05)。单因素Cox回归分析显示,肝硬化GOV二级预防患者再出血与吸烟史、饮酒史、肝硬化病因、术前NSBB、治疗方式、最大静脉曲张直径、Hb、PLT、PT、PTA、INR、Alb、TBil、ALP、GGT、GLU、BUN、Child-Pugh分级及ALBI评分有关(P值均<0.05);多因素Cox回归分析结果显示,Hb(HR=0.989,95%CI:0.983~0.994,P<0.001)、TBil(HR=1.020,95%CI:1.006~1.034,P=0.005)、Alb(HR=0.868,95%CI:0.758~0.994,P=0.041)治疗方式(硬化剂HR=2.158,95%CI:1.342~3.470,P=0.002;组织胶HR=2.709,95%CI:1.343~5.462,P=0.005;套扎+硬化剂HR=3.181,95%CI:1.522~6.645,P=0.002;硬化剂+组织胶HR=1.851,95%CI:1.100~3.113,P=0.020)、ALP(HR=1.003,95%CI:1.001~1.004,P=0.002)、最大静脉曲张直径(HR=1.346,95%CI:1.119~1.618,P=0.002)是内镜治疗后再出血的独立影响因素。不同序贯治疗次数后再出血率比较结果显示,治疗3次的再出血率较1次和2次的患者再出血率低,差异均有统计学意义(χ2值分别为8.643、5.277,P值分别为0.003、0.022)。生存分析结果显示,随着治疗次数的增多,患者再出血间隔时间延长(P=0.006)病死率降低(P<0.001)。  结论  肝硬化GOV内镜治疗后再出血的主要预测因素包括入院时TBil、ALP、Hb、Alb水平、内镜治疗方式、最大静脉曲张直径,临床中应多加强对预测因素的监测。规律内镜治疗可以降低肝硬化GOV患者再出血率和病死率,延长再出血间隔时间。
肝脏肿瘤
慢性乙型肝炎患者发生肝癌的危险因素分析及列线图预测模型构建
朱逸晨, 沙春霞, 樊春笋, 张铁军
2024, 40(12): 2441-2449. DOI: 10.12449/JCH241214
摘要(1671) HTML (474) PDF (1065KB)(158)
摘要:
  目的   通过分析启东市慢性乙型肝炎(CHB)临床队列患者肝癌发病的危险因素,构建预测CHB患者肝癌发病风险的列线图模型。   方法   选取2016年1月1日—12月31日于启东市第三人民医院肝病门诊就诊的年龄≥18周岁的CHB患者,均采用结构式问卷进行问卷调查。将肝癌发病作为主要研究结局,通过启东市癌症登记处获取队列研究结局。比较肝癌发病组与未发病组的基线临床特征。计量资料两组间比较采用成组t检验或Mann-Whitney U检验。计数资料组间比较采用χ 2检验或Fisher精确概率法。采用单因素Cox回归模型探索CHB患者肝癌发病风险的影响因素,计算风险比(HR)和95%可信区间(95%CI),将单因素Cox回归模型中有意义的变量纳入LASSO回归进行筛选,所得特征变量纳入多因素Cox回归以建立预测模型。采用列线图使复杂模型可视化,通过受试者工作特征曲线(ROC曲线)、一致性指数(C-index)和校准曲线评估列线图的预测效能,应用决策曲线评估列线图的临床实用性。   结果   共选取CHB患者1 479例,排除已确诊为肝癌者58例,检验指标缺失者15例及基线问卷重要信息缺失者164例,最终纳入研究对象1 242例。截至2023年12月31日,中位随访时间7.71年,共67例肝癌新发病例,肝癌发病密度为729.78/10万人年。肝癌组与非肝癌组患者比较,年龄、性别、受教育程度、肝硬化情况、肝硬化患病时间、糖尿病史、白蛋白、TBil、DBil、AST、ALT、GGT、ALP差异均有统计学意义(P值均<0.05)。多因素Cox回归分析显示,年龄增长(HR=1.07,95%CI:1.05~1.10,P<0.001)、较高的TBil水平(HR=1.98,95%CI:1.15~3.42,P=0.014)、较高的GGT水平(HR=2.41,95%CI:1.43~4.08,P=0.001)及较长的肝硬化患病时间(HR=1.09,95%CI:1.02~1.15,P=0.009)是CHB患者肝癌发病的独立危险因素,基于上述4项指标构建列线图,预测CHB患者在1、3、5年时肝癌发病风险的ROC曲线下面积分别为0.790、0.845和0.829,并经bootstrap重抽样法进行内部验证(C-index=0.778),校准曲线提示预测模型具有良好稳定性;决策曲线分析提示预测模型具有临床实用性。   结论   年龄增长、较高的TBil和GGT水平及较长的肝硬化患病时间是CHB患者肝癌发病的独立危险因素,据此建立的列线图模型具有较好的预测价值,该模型可用于临床实践,以帮助制订肝癌的长期监测策略。
改良白蛋白-胆红素分级对经导管动脉化疗栓塞术联合免疫及抗血管生成药物治疗的Child-Pugh A级不可切除肝细胞癌患者预后的预测价值
李佳清, 徐啸阳, 胡泽鑫, 张申, 仲斌演, 朱晓黎
2024, 40(12): 2450-2456. DOI: 10.12449/JCH241215
摘要(1322) HTML (1874) PDF (856KB)(79)
摘要:
  目的  研究改良白蛋白-胆红素分级(mALBI分级)对经导管动脉化疗栓塞术(TACE)联合免疫及抗血管生成药物治疗(以下简称靶免治疗)的Child-Pugh A级的不可切除肝细胞癌患者预后的评估价值。  方法  回顾性分析2020年1月—2023年1月在苏州大学附属第一医院和温州医科大学附属第五医院符合纳排标准的76例接受TACE联合靶免治疗的Child-Pugh A级不可切除肝细胞癌患者的资料,根据mALBI分级将其分为mALBI 1/2a组(n=38)和2b组(n=38)。主要研究终点为总生存期(OS),次要研究结局为无进展生存期(PFS)、客观缓解率(ORR)、疾病控制率(DCR)。评估标准包括完全缓解、部分缓解、疾病稳定以及疾病进展。符合正态分布的计量资料组间比较采用成组t检验,不符合正态分布的计量资料组间比较采用Wilcoxon秩和检验。计数资料两组间比较采用χ2检验。Kaplan-Meier法绘制生存曲线,Log-rank检验比较组间中位生存期(mOS)和中位无进展生存期(mPFS)。采用单因素和多因素Cox比例风险模型分析影响患者预后的因素。  结果  2组患者的Alb水平、肿瘤负荷情况比较,差异均有统计学意义(P值均<0.05)。76例患者的mOS为25.2(95%CI:18.4~32.0)个月,mPFS为9.4(95%CI:7.1~11.7)个月,ORR为63.2%,DCR为82.9%。其中mALBI 1/2a组和2b组患者mOS分别为30.1(95%CI:19.8~40.4)个月和19.5(95%CI:7.1~31.9)个月,两组mOS差异有统计学意义(χ2=4.490,P=0.034)。mALBI 1/2a组和2b组患者mPFS分别为10.2(95%CI:8.4~12.0)个月和7.6(95%CI:4.6~10.6)个月,ORR分别为71.1%和55.3%,DCR分别为86.8%和78.9%,mPFS、ORR和DCR比较,差异均无统计学意义(P值均>0.05)。ECOG评分、肿瘤负荷、mALBI分级、门静脉侵犯和肝外转移是影响TACE联合靶免治疗患者mOS的独立危险因素(P值均<0.05)。没有发生与治疗相关的死亡。  结论  mALBI分级对预测TACE联合靶免治疗的Child-Pugh A级不可切除肝细胞癌患者的生存有较好的预测价值。
载药微球经导管动脉化疗栓塞术联合肠系膜上动脉灌注化疗治疗肝细胞癌合并门静脉癌栓的效果分析
黄乾鑫, 神斌, 肖晋昌, 高志康, 吕墩涛, 李艳, 徐浩, 张庆桥
2024, 40(12): 2457-2463. DOI: 10.12449/JCH241216
摘要(1412) HTML (289) PDF (1735KB)(62)
摘要:
  目的  对比分析载药微球经导管动脉化疗栓塞术(D-TACE)联合肠系膜上动脉灌注化疗与单纯D-TACE治疗肝细胞癌合并门静脉癌栓(PVTT)的效果。  方法  回顾性分析徐州医科大学附属医院2022年1月—2023年12月行介入治疗的肝细胞癌合并PVTT的患者资料,其中采用D-TACE联合肠系膜上动脉灌注化疗的患者15例(观察组)。按1∶1进行倾向性匹配后入选单纯D-TACE治疗的患者15例(对照组)。术后1、2、3个月及以后每3个月行上腹部增强MRI评估肝脏肿瘤及PVTT情况。对比分析两组患者客观缓解率(ORR)、疾病控制率(DCR)。计量资料两组间比较采用成组t检验或Mann-Whitney U检验,术前、术后资料比较采用配对t检验或Wilcoxon检验。计数资料两组间比较采用χ2检验。采用Kaplan-Meier曲线计算累积生存率,并使用Log-rank检验比较两组差异。  结果  两组患者治疗技术成功率100%,术后均无严重并发症。全部患者随访3~26个月,平均(10.5±6.7)个月。术后3个月,观察组和对照组肝脏肿瘤的ORR(73.3% vs 53.3%)和DCR(93.3% vs 80.0%)差异均无统计学意义(P值均>0.05);观察组PVTT的ORR(46.7% vs 13.3%)和DCR(100% vs 73.3%)均显著高于对照组(χ2值分别为3.968、4.615,P值分别为0.046、0.032)。观察组和对照组患者累积3、6、12个月无进展生存率分别为93.3%、86.2%、68.9%和80.0%、62.2%、24.9%(P=0.028);累积3、6、12个月总生存率分别为100%、88.9%、88.9%和93.3%、85.6%、70.0%(P=0.340)。  结论  与单纯D-TACE相比,D-TACE联合肠系膜上动脉灌注化疗在治疗肝细胞癌合并PVTT方面显示了更好的近期疗效。
肝静脉剥夺术与门静脉栓塞治疗剩余肝体积不足肝癌效果比较的Meta分析
闫凯峰, 胡小杰, 刘宏
2024, 40(12): 2464-2472. DOI: 10.12449/JCH241217
摘要(1157) HTML (314) PDF (1875KB)(53)
摘要:
  目的  系统性评价肝静脉剥夺术(LVD)与门静脉栓塞(PVE)治疗剩余肝体积(FLR)不足的肝脏恶性肿瘤的效果及预后。  方法  本研究根据PRISMA指南完成,PROSPERO注册号:CRD42024533292。检索PubMed、Embase、Cochrane Library、Web of Science、知网、万方、维普等数据库中关于LVD与PVE效果比较的所有文献。根据制定的纳入和排除文献标准,筛选相关文献,评估文献质量,提取相关LVD与PVE的临床对比资料,整理并分析数据。使用RevMan 5.3软件进行Meta分析。  结果  共纳入12篇文献(均为队列研究),含644例患者(LVD组245例,PVE组399例)。Meta分析结果显示,在栓塞后FLR增长率(SMD=0.84,95%CI:0.59~1.09)、栓塞后FLR每日增长体积(SMD=1.19,95%CI:0.64~1.73)、栓塞后并发症发病率(RR=1.59,95%CI:1.06~2.38)、栓塞与二期手术间隔时间(SMD=-0.81,95%CI:-1.32~-0.29)和二期手术完成率(RR=1.09,95%CI:1.01~1.18)两组间差异均有统计学意义(P值均<0.05)。  结论  LVD相较于PVE能够使患者在相对较短的时间内获得达到手术指征的FLR,从而降低疾病进展的发生率以及解决肥大不足的问题,达到更高的二期手术切除率,从而使更多的肝癌患者受益。并且,LVD在二期手术中具有和PVE相似的安全性。
免疫原性细胞死亡基因风险模型的建立及其对肝细胞癌预后和肿瘤微环境特征的预测价值
刘军, 汪玲, 姜钰环, 王靖芝, 李慧明
2024, 40(12): 2473-2483. DOI: 10.12449/JCH241218
摘要(1419) HTML (849) PDF (6319KB)(61)
摘要:
  目的  鉴定肝细胞癌(HCC)免疫原性细胞死亡(ICD)相关基因,并基于相关基因构建评分模型预测HCC的预后和肿瘤微环境特征。  方法  通过癌症基因组图谱数据库获取HCC数据集,采用热图展示了HCC中57个ICD相关基因的表达。基于ICD相关基因表达进行聚类分析,对2种ICD相关亚型(ICD低表达组和ICD高表达组)进行基因本体富集、京都基因和基因组百科全书富集、体细胞突变差异、免疫细胞浸润差异分析。构建LASSO Cox回归风险预后模型,验证其临床应用价值。构建列线图模型,预测患者1、3和5年的生存率。此外,采用qRT-PCR验证模型中关键基因的表达水平。两组间比较采用成组t检验,采用单因素和多因素Cox回归分析确定临床病理特征中的预后因素。采用Kaplan-Meier生存曲线进行预后分析。采用Spearman秩相关进行相关性分析。  结果  ICD低表达组预后较差,ICD高表达组与良好的临床结果相关(P=0.004)。进一步研究表明ICD高表达组与免疫活性微环境相关,且ICD高表达组的基因主要富集于免疫相关通路(免疫球蛋白受体结合、造血细胞谱系和B淋巴细胞受体信号通路)。体细胞突变结果显示,ICD高表达组的CD274、CTLA4、HAVCR2、TIGIT、PDCD1和PDCD1LG2的基因表达水平较高(P值均<0.05)。利用8个ICD相关基因(HSP90AA1、ATG5、BAX、PPIA、HSPA4、TLR2、TREM1、LY96)建立风险预后模型,该模型在不同临床特征中均有较好的预测价值。单因素和多因素Cox回归分析表明,在训练集中,年龄和风险评分是总生存期的独立预后因素(P值均<0.05)。qRT-PCR结果表明,HSPA4和REM1在HCC肿瘤样本中的相对表达水平显著高于瘤旁组织(P值均<0.001)。ICD风险评分升高的患者与γδT淋巴细胞(r=-0.29)、浆细胞(r=-0.3)和CD8+T淋巴细胞(r=-0.37)呈负相关(P值均<0.05),与记忆B淋巴细胞(r=0.38)、静止树突状细胞(r=0.47)和M0型巨噬细胞(r=0.49)呈正相关(P值均<0.05)。  结论  本研究确定了与HCC预后相关的ICD基因,为理解不同ICD表达谱相关的免疫特性提供了见解。构建的风险模型和列线图对于预测HCC患者的预后预测和免疫治疗指导具有重要的价值。
其他肝病
N-乙酰半胱氨酸治疗重症酒精性肝炎的有效性及安全性
宋芳娇, 徐天娇, 尹艺睿, 田华, 吕飒, 游绍莉, 辛绍杰, 朱冰
2024, 40(12): 2484-2491. DOI: 10.12449/JCH241219
摘要(1781) HTML (412) PDF (1306KB)(99)
摘要:
  目的  通过分析N-乙酰半胱氨酸(NAC)治疗重症酒精性肝炎(SAH)的有效性及安全性,为SAH的临床用药提供相关依据。  方法  对2015年6月—2018年6月中国人民解放军总医院第五医学中心招募的172例马德里判别函数>32分的SAH患者进行前瞻性随机对照研究,分为NAC组(n=84)和对照组(n=86),评价NAC(8 g/d,28 d)治疗对SAH患者的安全性、28 d生化指标的影响,以及28 d、180 d生存率的改善作用。进一步评价NAC对SAH中慢加急性肝衰竭(ACLF-SAH)患者及非ACLF患者(non-ACLF-SAH)28 d及180 d生存率的影响。符合正态分布的计量资料两组间比较采用成组t检验,不满足正态分布的计量资料两组间比较采用Mann-Whitney U检验。Kaplan-Meier法绘制生存曲线,采用Log-rank检验对生存曲线进行比较。单因素和多因素Cox比例风险回归分析独立影响因素。  结果  NAC治疗期间未发生相关严重不良事件,安全性良好。与对照组相比,NAC对SAH患者28 d生化指标(P值均>0.05)及生存率(P=0.081)无明显改善作用,但可提高SAH患者180 d的生存率(67.4% vs 81.0%,χ2=4.280,P=0.039)。NAC对ACLF-SAH患者28 d及180 d的生存率均无改善作用(P值均>0.05);NAC对non-ACLF-SAH患者28 d生存率无改善作用(P>0.05),但可提高其180 d的生存率(68.4% vs 88.9%,χ2=4.883,P=0.027)。多因素Cox回归分析结果显示,是否采用NAC治疗(HR=2.530,95%CI:1.334~4.796,P=0.004)、马德里判别函数(HR=3.85295%CI:2.032~7.304,P<0.001)、血钠水平(HR=1.94895%CI:1.079~3.517,P=0.027)是SAH患者180 d生存率的独立影响因素。  结论  NAC治疗SAH具有较好的安全性,可提高SAH患者180 d的中长期生存率,且中长期生存率受益患者群体主要是non-ACLF-SAH患者。
胰腺疾病
血清甘油三酯累积暴露水平对急性胰腺炎发病风险的影响
苏阿芳, 蒋晓忠, 张云水, 吴寿岭, 李广鉴
2024, 40(12): 2492-2498. DOI: 10.12449/JCH241220
摘要(1367) HTML (768) PDF (770KB)(74)
摘要:
  目的  探讨甘油三酯累积暴露(cumTG)与急性胰腺炎(AP)发病风险的关联。  方法  采用前瞻性队列研究方法,以连续参加2006—2010年度(2006、2008、2010年度)三次健康体检、既往无AP病史且TG资料完整的开滦职工56 883例为观察队列。根据计算的cumTG值按四分位数分为4组(Q1、Q2、Q3、Q4组),对组间一般资料进行比较。正态分布的计量资料多组间比较采用单因素方差分析;偏态分布计量资料多组间比较采用Kruskal-Wallis H检验。计数资料组间比较采用χ2检验。经Kaplan-Meier法绘制生存曲线并计算AP的累积发病率,用Log-rank法进行检验,采用Cox回归模型分析不同cumTG分组对新发AP事件的影响。  结果  随访(10.51±1.76)年,共发生AP事件158例,总发病密度为2.64/万人年;Q1、Q2、Q3、Q4组的发病例数及发病密度分别为29例(1.93/万人年)、34例(2.27/万人年)、30例(2.01/万人年)、65例(4.37/万人年)。Log-rank检验结果显示,各分组之间累积发病率差异有统计学意义(χ2=22.41,P<0.001)。多因素Cox回归模型显示:与Q1组比较,Q4组发生AP的HR=1.94,95%CI:1.20~3.13(P=0.01)。与TG累积暴露0年相比,累积暴露4、6年发生AP的HR分别是2.04(95%CI:1.26~3.30,P<0.01)、3.20(95%CI:1.98~5.17,P<0.01)。排除随访2年内发生的AP病例,重复多因素Cox回归分析,结果发现Q4组发生AP的HR=1.96,95%CI:1.23~3.12(P<0.01)。排除随访期间死亡人群后重复多因素Cox回归分析,结果发现Q4组发生AP的HR=1.85,95%CI:1.10~3.14(P<0.05)。  结论  随着cumTG的暴露增加,AP的发病率和发病风险均呈上升趋势。
综述
慢性乙型肝炎合并代谢相关脂肪性肝病的研究进展
殷珂, 宋玉芸, 刘峰
2024, 40(12): 2499-2504. DOI: 10.12449/JCH241221
摘要(1737) HTML (1843) PDF (661KB)(214)
摘要:
慢性乙型肝炎(CHB)和脂肪肝是我国常见的慢性肝脏疾病,随着生活方式的改变,CHB合并代谢相关脂肪性肝病的患者逐年增加,两种疾病均存在肝硬化、肝细胞癌(HCC)等不良事件发生的风险。二者共存时肝脏的病理生理学进程与单独的疾病状态可能不同,进而存在HBV的复制,HBsAg的血清学清除及抗病毒治疗受到影响,肝纤维化、HCC等不良事件风险增加的问题,故明确这些问题会对此类患者疾病的监测、治疗及预后有重要意义,本文将对这些问题的最新研究进展进行简要综述。
外周时钟基因在非酒精性脂肪性肝炎发展与防治中的作用
刘思言, 田静怡, 黄雨扬, 谷天麒, 邓茗月, 杨攀
2024, 40(12): 2505-2512. DOI: 10.12449/JCH241222
摘要(1106) HTML (441) PDF (1717KB)(69)
摘要:
非酒精性脂肪性肝炎(NASH)作为非酒精性脂肪性肝病的严重临床表现形式,以肝脂质沉积、炎症损伤为特征。目前NASH的临床治疗药物仍处于探索实验阶段,亟待取得进展。有研究指出NASH的发病机制与肝脏昼夜节律紊乱有关,具体可表现为肝时钟基因如BMAL1等表达失调,导致肝内脂质生成增多、脂肪酸氧化减少以及促炎症因子激活。因此,改善肝脏昼夜节律,调节肝时钟基因表达被视为防治NASH的可行策略。目前已有通过激活时钟基因编码蛋白治疗NASH的药物应用于动物实验,如REVERB全激动剂SR9009,其能抑制肝脏的炎症发展,有效证实了靶向时钟编码蛋白在NASH治疗中的可能性。本文总结了肝时钟基因在调节肝脂质代谢与炎症发生发展中的作用,阐述了近年来以时钟基因及其相关蛋白作为靶点的药物研究进展,以期为NASH治疗提供新靶点。
双硫死亡在非酒精性脂肪性肝病中的作用机制
严丽沙, 陈煜, 王学士, 冯宪敏, 孙洁
2024, 40(12): 2513-2517. DOI: 10.12449/JCH241223
摘要(1169) HTML (2000) PDF (1236KB)(65)
摘要:
双硫死亡是近年来提出的一种新型细胞死亡方式,其本质为烟酰胺腺嘌呤二核苷酸磷酸不足而导致的二硫化物应激性死亡。非酒精性脂肪性肝病(NAFLD)是一类以脂肪浸润为主要病理特征,与胰岛素抵抗和遗传易感性密切相关的代谢性疾病。最新研究显示,双硫死亡产生的二硫化物应激可导致肝细胞死亡,从而加快NAFLD的进展。本文就双硫死亡在NAFLD中的最新研究予以总结和分析,以期探讨双硫死亡在NAFLD中的应用潜力,为NAFLD的防治提供新思路。
肠-脑轴神经免疫通信在肝性脑病发病机制中的作用
林镛, 李炯汾, 李飞燕, 杜沅沁, 刘美燕, 王明刚, 龙富立, 王娜, 毛德文
2024, 40(12): 2518-2523. DOI: 10.12449/JCH241224
摘要(1672) HTML (400) PDF (1541KB)(85)
摘要:
肝性脑病(HE)是临床常见的严重肝病症候群,属内科危急重症之一。当前,在确诊显性HE的肝衰竭患者中,超过50%的存活时间不足1年。全面解析HE的复杂发病机制,形成具备循证医学证据的诊疗技术方案,对于缓解其造成临床上高医疗资源消耗、高医疗费用与高死亡率、高发病率叠加的严峻态势具有重要意义。最新研究发现,肠道与中枢神经系统可通过“肠-脑轴”进行双向、连续的交互反应和信号传递,并调节炎症信号、分子、细胞和器官功能状态,即神经免疫通信,与HE的主要病理特征高度一致。本文针对HE的神经免疫通信机制,总结了肠-脑轴炎症信号传导与神经递质调节的关系,以及其在HE神经免疫通信中的作用,为HE的临床诊疗和药物研发提供新思路。
肝细胞癌仑伐替尼耐药的分子机制
姚晓萌, 孙可可, 林云凯, 汪慧, 董立巍, 陈磊, 胡和平
2024, 40(12): 2524-2530. DOI: 10.12449/JCH241225
摘要(2145) HTML (2467) PDF (1034KB)(197)
摘要:
肝细胞癌是肝脏最常见的恶性肿瘤,给中国乃至全球带来了严重的卫生负担。然而,大部分肝细胞癌患者就诊时已处于晚期阶段,手术机会较少,治疗选择有限。近年来,分子靶向治疗的进展为晚期肝细胞癌患者提供了新的希望。其中,仑伐替尼是美国食品药品监督管理局继索拉非尼之后批准的第二个用于晚期肝细胞癌治疗的一线药物,因其强大的抗肿瘤特性获得广泛关注。然而,仑伐替尼的疗效受到其耐药性的严重限制。本文主要针对仑伐替尼在肝细胞癌中耐药的分子机制研究进展进行综述,讨论可能改善仑伐替尼耐药的方法,以期能提高其疗效。
氨基酸代谢重编程对肝细胞癌免疫微环境的影响
刘晓丽, 谭钦文, 徐健, 陈焕灵, 余洁, 卢露, 戴明侃, 黄晶晶, 黄鸿娜, 毛德文
2024, 40(12): 2531-2537. DOI: 10.12449/JCH241226
摘要(1434) HTML (1017) PDF (1054KB)(71)
摘要:
肿瘤免疫微环境是由肿瘤免疫细胞及其分泌的细胞因子构成的肿瘤局部外环境,对肿瘤的发生和发展具有一定调控作用。在肝细胞癌的治疗中,氨基酸代谢及其对增殖细胞代谢的重编程日益受到关注,显示出在调控肿瘤免疫微环境中的潜力。尽管氨基酸代谢重编程被视为治疗肿瘤的新途径,但其在调控肝细胞癌中肿瘤免疫的具体机制尚未明确。本文深入探讨了氨基酸代谢在肝细胞癌肿瘤免疫微环境中的作用机制及其临床应用前景,旨在为肝癌的免疫治疗研究提供新的思路。
药物性肝损伤的免疫学机制
王宇, 李爽, 刘成海
2024, 40(12): 2538-2542. DOI: 10.12449/JCH241227
摘要(1545) HTML (1807) PDF (956KB)(168)
摘要:
药物性肝损伤(DILI)机制复杂,涉及多种途径协同促进并互为因果,其中免疫反应在致病机制中扮演重要角色。在遗传背景因素下,药物活性代谢产物、药物-分子复合物、危险信号分子或可作为DILI发生的免疫反应触发因子,激活药物抗原性超敏反应机制、P-i假说和固有免疫危险信号机制。使肝脏出现固有免疫、适应性免疫级联反应,导致肝脏固有免疫耐受状态失衡,进而造成肝脏组织的免疫炎症性损伤。本文主要阐述DILI的免疫学发生机制,以期为DILI治疗靶点的研发及规避用药不良反应等提供新的思路。
离体肝切除联合自体肝移植在肝脏良性病变中的治疗现状
张帅, 费发珠, 王志鑫, 樊海宁, 王海久, 侯立朝
2024, 40(12): 2543-2547. DOI: 10.12449/JCH241228
摘要(1166) HTML (355) PDF (657KB)(48)
摘要:
肝脏良性病变主要包括肝血管瘤、肝局灶性结节性增生、肝细胞腺瘤、肝血管平滑肌脂肪瘤等,肝泡型棘球蚴病属于寄生虫病的一种类型,因其主要发生在肝脏中,也属于肝脏良性病变。肝脏良性病变临床治疗上多以随访观察为主,手术切除为辅,对于终末期的患者,若病灶体积过大、侵犯周围大血管较多、解剖位置不清晰或术中无法避免破裂大出血,可行肝移植治疗。由于器官捐献肝脏分配评分中肝功能较差的患者更易得到供肝,肝脏良性病变由于自身生长方式很难获得相应的供肝资源,故导致同种异体肝移植对其应用有限。离体肝切除联合自体肝移植自20世纪80年代出现以来,给此类患者的治疗带来了一种全新的方式。本文就目前离体肝切除联合自体肝移植在肝脏良性病变的应用现状加以总结,旨在为临床医务人员提供相应的诊治参考。
基于多学科诊疗模式的胰腺癌综合治疗
马坦途, 李星霏, 李涛
2024, 40(12): 2548-2552. DOI: 10.12449/JCH241229
摘要(1414) HTML (663) PDF (608KB)(73)
摘要:
胰腺癌是消化道常见的恶性肿瘤之一,近年发病率逐步升高。其病理类型主要包括导管腺癌、小腺体癌、腺泡细胞癌等,其中导管腺癌是最常见的病理类型。多学科诊疗(MDT)是胰腺癌的新诊疗模式,通过集合不同的医疗团队,包括肝胆外科、消化内科、内分泌科、影像科和放疗科等,共同讨论患者的病情、制订治疗方案及后续管理,以确定最佳的个体化治疗方案。随着精准治疗的概念不断明确和发展、相关基因突变的发现,使得胰腺癌治疗前景更加广泛,个体化治疗更加深入,为改善患者治疗结果提供了机会。本文归纳了在MDT医疗模式下各学科之间的交互情况,并总结该模式下胰腺癌治疗方案的发展趋势和选择方向,指出了目前正在开展的工作及围绕未来胰腺癌MDT的研究方向。
国外期刊精品文章简介
Hepatology International|功能性B淋巴细胞敲除促进肝内HBV复制并抑制HBV特异性T淋巴细胞应答
2024, 40(12): 2360-2360. DOI: 10.12449/JCH2412.gwqkjpwzjj1
摘要(710) HTML (133) PDF (843KB)(39)
摘要:
Hepatology International|211例先天性肝血管瘤患者临床特征及治疗的队列研究
2024, 40(12): 2440-2440. DOI: 10.12449/JCH2412.gwqkjpwzjj2
摘要(672) HTML (186) PDF (847KB)(40)
摘要:
Journal of Viral Hepatitis|艾米替诺福韦和富马酸丙酚替诺福韦治疗首次失代偿期HBV相关肝硬化患者的效果及安全性
2024, 40(12): 2449-2449. DOI: 10.12449/JCH2412.gwqkjpwzjj3
摘要(840) HTML (186) PDF (867KB)(56)
摘要:
消息
《临床肝胆病杂志》入选“中国科技期刊卓越行动计划·中文领军期刊(2024—2028)”
2024, 40(12): 2357-2357.
摘要(253) HTML (229) PDF (1177KB)(30)
摘要:
《临床肝胆病杂志》获评“2024年度中国高校百佳科技期刊”
2024, 40(12): 2498-2498.
摘要(313) HTML (188) PDF (1178KB)(26)
摘要:
《临床肝胆病杂志》2025年1~5期重点号选题及执行主编
2024, 40(12): 2523-2523.
摘要(276) HTML (180) PDF (841KB)(30)
摘要:
《临床肝胆病杂志》4篇论文入选中国科协“2024年度结构化论文双语传播工程”
2024, 40(12): 2530-2530.
摘要(231) HTML (141) PDF (1175KB)(28)
摘要:
致谢
本期审稿专家
2024, 40(12): 2483-2483. DOI: 10.12449/JCH2412.zhixie
摘要(574) HTML (117) PDF (831KB)(41)
摘要: