中文English
ISSN 1001-5256 (Print)
ISSN 2097-3497 (Online)
CN 22-1108/R
Volume 39 Issue 4
Apr.  2023
Turn off MathJax
Article Contents

Effect of Yudantong decoction on intestinal flora and intestinal barrier function in mice with cholestasis induced by α-naphthyl isothiocyanate

DOI: 10.3969/j.issn.1001-5256.2023.04.018
Research funding:

National Natural Science Foundation of China (82104926)

More Information
  • Corresponding author: HOU Linyi, houlinyii@sohu.com (ORCID: 0000-0001-6510-5194)
  • Received Date: 2022-08-04
  • Accepted Date: 2022-10-25
  • Published Date: 2023-04-20
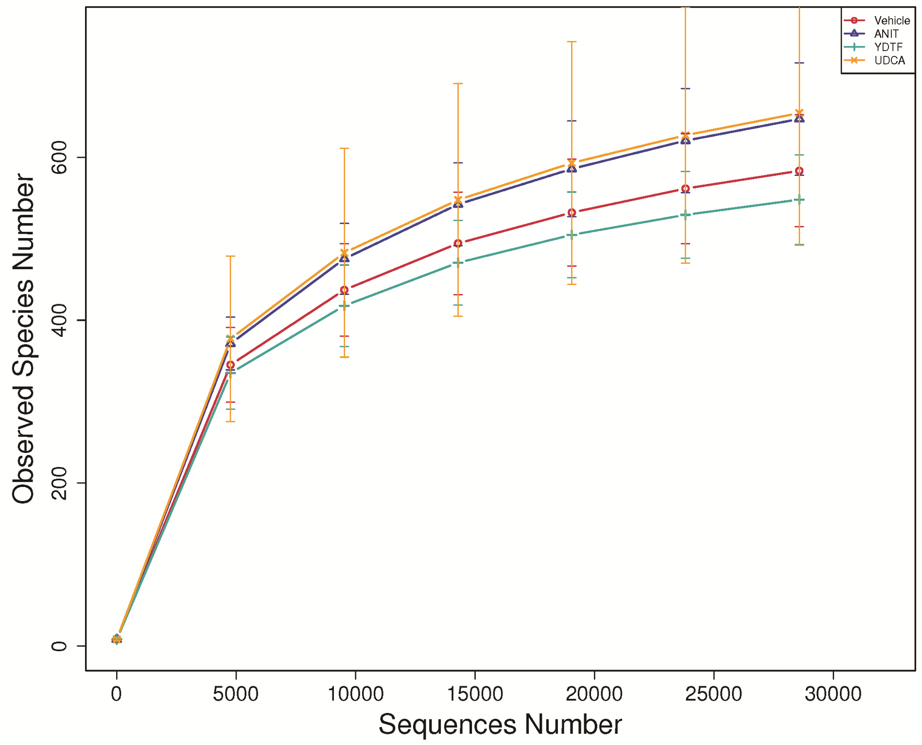
  •   Objective  To investigate the therapeutic effect of Yudantong decoction in mice with α-naphthyl isothiocyanate (ANIT)-induced cholestasis, as well as its targets and mechanism based on intestinal flora and intestinal barrier function.  Methods  A total of 24 C57BL/6 mice were randomly divided into control group, model group, Yudantong decoction group (YDTF group), and ursodeoxycholic acid (UDCA) group, with 6 mice in each group. The mice in the model group, the YDTF group, and the UDCA group were given ANIT 35 mg/kg/day by gavage on days 1, 4, 7, 10, and 13, and those in the YDTF group and the UDCA group were given Yudantong decoction or UDCA by gavage for 15 consecutive days; related samples were collected on day 16. Liver histopathology was observed, and liver function parameters were measured; immunohistochemistry was used to measure the protein expression levels of caspase-1, interleukin-1β (IL-1β), and FXR in the liver, and flow cytometry was used to measure the percentages of CD11b+, CD86+, and CD45+ immune cells in the liver; 16S rDNA sequencing and information analysis were performed for fecal microorganisms; immunohistochemistry was used to measure the protein expression of the intestinal FXR/NLRP3 pathway, and immunofluorescence assay was used to measure the protein expression of intestinal E-cadherin and occludin. A one-way analysis of variance was used for comparison of continuous data with homogeneity of variance between multiple groups, and the least significant difference t-test was used for further comparison between two groups; the Welch test was used for comparison of data with heterogeneity of variance between multiple groups, and the Games-Howell test was used for further comparison between two groups.  Results  HE staining showed that the model group had partial hepatocyte fatty degeneration, massive necrosis of hepatocytes in hepatic lobules, damage of lobular structure, and massive inflammatory cell infiltration, and the YDTF group and the UDCA group had alleviation of hepatocyte fatty degeneration and hepatocyte necrosis in hepatic lobules, with a reduction in inflammatory cells. Compared with the control group, the model group had significantly higher serum levels of alanine aminotransferase (ALT), aspartate aminotransferase (AST), gamma-glutamyl transpeptidase (GGT), alkaline phosphatase (ALP), total bilirubin (TBil), direct bilirubin (DBil), and total bile acid (TBA) (all P < 0.05); compared with the model group, the YDTF group had significant reductions in the serum levels of ALT, AST, GGT, ALP, TBil, DBil, and TBA (all P < 0.05), and the UDCA group had significant reductions in the serum levels of GGT, TBil, DBil, and TBA (all P < 0.05). Compared with the control group, the model group had significant increases in the levels of caspase-1 and IL-1β and a significant reduction in the expression of FXR in the liver (all P < 0.05); compared with the model group, the YDTF group had significant reductions in the levels of caspase-1 and IL-1β in the liver and the UDCA group had a significant reduction in the level of IL-1β in the liver, and both the YDTF group and the UDCA group had a significant increase in the expression level of FXR in the liver (all P < 0.05). The model group had a significant change in the composition of intestinal flora compared with the control group (P < 0.05); there was a significant difference in the structure of intestinal flora between the YDTF group and the model group (P < 0.05), and there was also a significant difference in the composition of intestinal flora between the UDCA group and the control/model groups (P < 0.05). Compared with the control group, the model group had a significant increase in the abundance of intestinal Akkermansia muciniphila and a significant reduction in the abundance of Lactobacillus johnsonii (both P < 0.05); compared with the model group, both the YDTF group and the UDCA group had a significant reduction in the abundance of intestinal Akkermansia muciniphila, and the YDTF group had a significant increase in the abundance of Lactobacillus murinus, while the UDCA group had significant increases in the abundance of Lactobacillus murinus and Bifidobacterium pseudolongum (all P < 0.05). Compared with the control group, the model group had a significant reduction in the protein expression of intestinal FXR, a significant increase in the protein expression of intestinal NLRP3, and significant reductions in the expression of intestinal E-cadherin and occludin (all P < 0.05); compared with the model group, both the YDTF group and the UDCA group had a significant increase in the protein expression of intestinal FXR, a significant reduction in the protein expression of intestinal NLRP3, and significant increases in the expression of intestinal E-cadherin and occludin (all P < 0.05).  Conclusion  Yudantong decoction can alleviate liver injury in mice with ANIT-induced cholestasis, possibly by improving intestinal flora and enhancing intestinal barrier function.

     

  • loading
  • [1]
    YU RH, WANG YZ, ZHANG T. Clinical characteristics of infantile liver disease[J]. J Clin Pediatr, 2021, 39(1): 1-5. DOI: 10.3969/j.issn.1000-3606.2021.01.001.

    余荣华, 王怡仲, 张婷. 婴儿期肝病临床特点分析[J]. 临床儿科杂志, 2021, 39(1): 1-5. DOI: 10.3969/j.issn.1000-3606.2021.01.001.
    [2]
    JIN M. Progress of cholestatic liver disease and intestinal flora in children[J]. Int J Pediatr, 2020, 47(8): 548-551. DOI: 10.3760/cma.j.issn.1673-4408.2020.08.008.

    金萌. 胆汁淤积性肝病与儿童肠道菌群研究进展[J]. 国际儿科学杂志, 2020, 47(8): 548-551. DOI: 10.3760/cma.j.issn.1673-4408.2020.08.008.
    [3]
    FANG KL, ZHENG XT, XU LP, et al. Experimental research progress of traditional chinese medicine in prevention and treatment of cholestatic liver disease[J]. Chin J Integr Tradit West Med Liver Dis, 2020, 30(4): 375-377. DOI: 10.3969/j.issn.1005-0264.2020.04.027.

    方凯璐, 郑秀婷, 徐丽萍, 等. 传统中药防治胆汁淤积性肝病的实验研究进展[J]. 中西医结合肝病杂志, 2020, 30(4): 375-377. DOI: 10.3969/j.issn.1005-0264.2020.04.027.
    [4]
    LARUSSO NF, TABIBIAN JH, O'HARA SP. Role of the intestinal microbiome in cholestatic liver disease[J]. Dig Dis, 2017, 35(3): 166-168. DOI: 10.1159/000450906.
    [5]
    ZHOU R, FAN X, SCHNABL B. Role of the intestinal microbiome in liver fibrosis development and new treatment strategies[J]. Transl Res, 2019, 209: 22-38. DOI: 10.1016/j.trsl.2019.02.005.
    [6]
    GUO C. Clinical and basic study on intestinal microecology of cholestasis[D]. Shijiazhuang: Hebei Medical University, 2020.

    郭城. 胆汁淤积症肠道微生态学的临床与基础研究[D]. 石家庄: 河北医科大学, 2020.
    [7]
    HU Y, YAO Y, LIU J, et al. Pei Xueyi's experience in treating infantile hepatitis syndrome[J]. Chin J Inf Tradit Chin Med, 2012, 19(2): 87. DOI: 10.3969/j.issn.1005-5304.2012.02.041.

    胡艳, 幺远, 柳静, 等. 裴学义治疗婴儿肝炎综合征经验[J]. 中国中医药信息杂志, 2012, 19(2): 87. DOI: 10.3969/j.issn.1005-5304.2012.02.041.
    [8]
    CHEN L, HU Y, YANG M, et al. Interventional effect of traditional Chinese medicine on infants with biliary atresia after operation and its long-term effect[J]. JETCM, 2016, 25(2): 353-356. DOI: 10.3969/j.issn.1004-745X.2016.02.060.

    陈黎, 胡艳, 杨梦, 等. 中药对婴儿胆道闭锁术后的干预作用及其远期疗效的观察[J]. 中国中医急症, 2016, 25(2): 353-356. DOI: 10.3969/j.issn.1004-745X.2016.02.060.
    [9]
    HU Y, CHEN L, SHU J, et al. Clinical observation on 60 cases of infant cytomegalovirus hepatitis treated with traditional Chinese medicine[J]. Chin Pediatr Integr Tradit Wset Med, 2012, 4(1): 98-99. DOI: 10.3969/j.issn.1674-3865.2012.02.002.

    胡艳, 陈黎, 舒静, 等. 中药治疗婴儿巨细胞病毒性肝炎60例疗效观察[J]. 中国中西医结合儿科学, 2012, 4(1): 98-99. DOI: 10.3969/j.issn.1674-3865.2012.02.002.
    [10]
    DU LN, YANG Y. Establishment and application of animal models of cholestasis[J]. J Clin Hepatol, 2019, 35(2): 444-447. DOI: 10.3969/j.issn.1001-5256.2019.02.046.

    杜丽娜, 杨燕. 胆汁淤积动物模型的构建及应用前景[J]. 临床肝胆病杂志, 2019, 35(2): 444-447. DOI: 10.3969/j.issn.1001-5256.2019.02.046.
    [11]
    LUO YS, ZHENG XT, ZHANG HY, et al. The cholestatic fibrosis induced by α-naphthylisothiocyanate in mice and the inflammation pathway[J]. CJAP, 2020, 36(2): 152-157. DOI: 10.12047/j.cjap.5903.2020.034.

    罗怡爽, 郑秀婷, 章浩月, 等. α-荼异硫氰酸酯诱导小鼠胆汁淤积性肝纤维化及其炎症通路[J]. 中国应用生理学杂志, 2020, 36(2): 152-157. DOI: 10.12047/j.cjap.5903.2020.034.
    [12]
    ZHANG CY, LIU TH, WANG W, et al. Discussion on intestinal microenvironment as an important biological basis for the theory of treating liver disease from the spleen[J]. CJTCMP, 2019, 34(7): 2877-2880. https://www.cnki.com.cn/Article/CJFDTOTAL-BXYY201907011.htm

    张晨阳, 刘天浩, 王维, 等. 论肠道微环境是从脾论治肝病的重要生物学基础[J]. 中华中医药杂志, 2019, 34(7): 2877-2880. https://www.cnki.com.cn/Article/CJFDTOTAL-BXYY201907011.htm
    [13]
    LIAO L, SCHNEIDER KM, GALVEZ E, et al. Intestinal dysbiosis augments liver disease progression via NLRP3 in a murine model of primary sclerosing cholangitis[J]. Gut, 2019, 68(8): 1477-1492. DOI: 10.1136/gutjnl-2018-316670.
    [14]
    SWANSON KV, DENG M, TING JP. The NLRP3 inflammasome: molecular activation and regulation to therapeutics[J]. Nat Rev Immunol, 2019, 19(8): 477-489. DOI: 10.1038/s41577-019-0165-0.
    [15]
    JIA SQ, DOU XG. Farnesol X receptor and its agonists and liver diseases[J]. Chin Hepatol, 2021, 26(11): 1293-1297. DOI: 10.3969/j.issn.1008-1704.2021.11.027.

    贾锶琦, 窦晓光. 法尼醇X受体及其激动剂与肝脏疾病[J]. 肝脏, 2021, 26(11): 1293-1297. DOI: 10.3969/j.issn.1008-1704.2021.11.027.
    [16]
    ISAACS-TEN A, ECHEANDIA M, MORENO-GONZALEZ M, et al. Intestinal microbiome-macrophage crosstalk contributes to cholestatic liver disease by promoting intestinal permeability[J]. Hepatology, 2020, 72(6): 2090-2108. DOI: 10.1002/hep.31228.
    [17]
    HAO H, CAO L, JIANG C, et al. Farnesoid X receptor regulation of the NLRP3 inflammasome underlies cholestasis-associated sepsis[J]. Cell Metab, 2017, 25(4): 856-867. e5. DOI: 10.1016/j.cmet.2017.03.007.
    [18]
    HUANG F, ZHENG X, MA X, et al. Theabrownin from Pu-erh tea attenuates hypercholesterolemia via modulation of gut microbiota and bile acid metabolism[J]. Nat Commun, 2019, 10(1): 4971. DOI: 10.1038/s41467-019-12896-x.
    [19]
    WAHLSTRÖM A, KOVATCHEVA-DATCHARY P, STÅHLMAN M, et al. Crosstalk between bile acids and gut microbiota and its impact on farnesoid X receptor signalling[J]. Dig Dis, 2017, 35(3): 246-250. DOI: 10.1159/000450982.
    [20]
    LI SL. Effect of FXR on LPS-induced macrophage inflammatory response and intestinal barrier injury in mice[D]. Chinese People's Liberation Army (PLA) Medical School, 2019.

    李淑玲. FXR对LPS诱导的巨噬细胞炎症反应及小鼠肠道屏障损伤的作用研究[D]. 中国人民解放军医学院, 2019.
    [21]
    VERBEKE L, FARRE R, VERBINNEN B, et al. The FXR agonist obeticholic acid prevents gut barrier dysfunction and bacterial translocation in cholestatic rats[J]. Am J Pathol, 2015, 185(2): 409-419. DOI: 10.1016/j.ajpath.2014.10.009.
    [22]
    ZHOU JL, WANG ZX, ZHOU SM, et al. Composition and functional change of intestinal microbiota in infantile cholestasis[J]. J Clin Hepatol, 2021, 37(1): 126-130. DOI: 10.3969/j.issn.1001-5256.2021.01.025.

    周建利, 王朝霞, 周少明, 等. 婴儿胆汁淤积的肠道菌群组成及功能变化[J]. 临床肝胆病杂志, 2021, 37(1): 126-130. DOI: 10.3969/j.issn.1001-5256.2021.01.025.
    [23]
    PAN F, ZHANG L, LI M, et al. Predominant gut Lactobacillus murinus strain mediates anti-inflammaging effects in calorie-restricted mice[J]. Microbiome, 2018, 6(1): 54. DOI: 10.1186/s40168-018-0440-5.
    [24]
    WANG H, HE S, XIN J, et al. Psychoactive effects of lactobacillus johnsonii against restraint stress-induced memory dysfunction in mice through modulating intestinal inflammation and permeability-a study based on the gut-brain axis hypothesis[J]. Front Pharmacol, 2021, 12: 662148. DOI: 10.3389/fphar.2021.662148.
    [25]
    ZHANG H, LIU M, LIU X, et al. Bifidobacterium animalis ssp. lactis 420 mitigates autoimmune hepatitis through regulating intestinal barrier and liver immune cells[J]. Front Immunol, 2020, 11: 569104. DOI: 10.3389/fimmu.2020.569104.
    [26]
    MANGIN I, DOSSOU-YOVO F, LÉVÊQUE C, et al. Oral administration of viable Bifidobacterium pseudolongum strain Patronus modified colonic microbiota and increased mucus layer thickness in rat[J]. FEMS Microbiol Ecol, 2018, 94(11): fiy177. DOI: 10.1093/femsec/fiy177.
    [27]
    SEREGIN SS, GOLOVCHENKO N, SCHAF B, et al. NLRP6 protects Il10-/- mice from colitis by limiting colonization of akkermansia muciniphila[J]. Cell Rep, 2017, 19(4): 733-745. DOI: 10.1016/j.celrep.2017.03.080.
  • 加载中

Catalog

    通讯作者: 陈斌, bchen63@163.com
    • 1. 

      沈阳化工大学材料科学与工程学院 沈阳 110142

    1. 本站搜索
    2. 百度学术搜索
    3. 万方数据库搜索
    4. CNKI搜索

    Figures(7)  / Tables(5)

    Article Metrics

    Article views (858) PDF downloads(62) Cited by()
    Proportional views
    Related

    /

    DownLoad:  Full-Size Img  PowerPoint
    Return
    Return