中文English
ISSN 1001-5256 (Print)
ISSN 2097-3497 (Online)
CN 22-1108/R

留言板

尊敬的读者、作者、审稿人, 关于本刊的投稿、审稿、编辑和出版的任何问题, 您可以本页添加留言。我们将尽快给您答复。谢谢您的支持!

姓名
邮箱
手机号码
标题
留言内容
验证码
第40卷 第3期(总281期) 2024年3月
“关注慢性HBV感染与代谢功能障碍”  重点号
执行主编:李婕
南京大学医学院附属鼓楼医院

显示方式:
述评
慢性HBV感染与代谢相关脂肪性肝病: 已知与未知
耿楠, 倪文婧, 芮法娟, 李婕
2024, 40(3): 441-445. DOI: 10.12449/JCH240301
摘要(1516) HTML (344) PDF (591KB)(288)
摘要:
慢性HBV感染是全球病毒性肝炎疾病负担的主要原因。由于生活方式和饮食习惯的改变,代谢相关脂肪性肝病(MAFLD)的发病率不断上升,已成为全球第一大慢性肝病。慢性HBV感染合并MAFLD在临床上越来越常见,代谢因素而非病毒因素是慢性HBV感染合并MAFLD的主要原因。在疾病发展进程中,炎症、纤维化而非脂肪变性是合并患者发展为肝硬化、肝细胞癌的主要影响因素。对于慢性HBV感染和MAFLD同时存在的患者,抗病毒和代谢因素的联合管理至关重要。本文就慢性HBV感染合并MAFLD的相互作用、预后转归和临床管理等热点话题进行讨论。
专家论坛
慢性HBV感染与代谢功能障碍基础研究: 当前进展与争议
余博容, 陈源文
2024, 40(3): 446-452. DOI: 10.12449/JCH240302
摘要(1552) HTML (528) PDF (732KB)(225)
摘要:
HBV被认为是一种“代谢病毒”,能影响多种代谢生命活动。慢性HBV感染与各种类型代谢功能障碍存在关联但仍无明确定论,对慢性HBV感染与代谢综合征、糖尿病、代谢相关脂肪性肝病等以代谢紊乱为特征的疾病之间相关性的机制仍知之甚少。目前主流观点认为,源自HBV基因组的HBx蛋白可能为HBV感染后介导机体代谢变化的重要环节,HBx可通过调节PPARγ、C/EBPα、SREBP和FATP2等蛋白的表达,影响机体糖、脂等物质的代谢,引起相关代谢功能障碍。非酒精性脂肪性肝病是代谢功能障碍在肝脏的最重要表现形式,由于其与HBV感染均可导致肝损伤,二者相互作用的研究备受关注,目前其关联仍存在较多争议,有待进一步探索。因此,本文详细阐述了当前慢性HBV感染与代谢功能障碍的相关研究进展,为后续的进一步研究提供思路。
慢性HBV感染与代谢功能障碍的流行病学与临床转归
黄娇凤, 郑琦
2024, 40(3): 453-456. DOI: 10.12449/JCH240303
摘要(1130) HTML (269) PDF (586KB)(150)
摘要:
慢性HBV感染是一种全球性公共卫生问题,是我国肝纤维化、肝硬化、肝衰竭及原发性肝癌的主要原因。随着人们生活水平的提高及饮食结构的改变,非酒精性脂肪性肝病(NAFLD)发病率也逐渐升高。基于人群的研究发现HBV感染可影响NAFLD的发生,其中机制仍不明确。肝脂肪变性也会影响HBV血清病原学标志物的表达,合并NAFLD或其他代谢功能障碍会增加HBV感染者肝纤维化、肝硬化及肝癌的风险。慢性HBV感染与代谢障碍密切相关,未来需要更多研究进一步阐明相关机制,为临床诊疗提供理论依据。
合并代谢功能障碍的慢性HBV感染者的临床管理
羊璐萍, 施军平
2024, 40(3): 457-460. DOI: 10.12449/JCH240304
摘要(1114) HTML (353) PDF (572KB)(164)
摘要:
随着代谢功能障碍相关疾病在全球范围内快速增长,慢性HBV感染合并代谢功能障碍的患者也逐年增加。高血糖、高血压和血脂异常等代谢功能障碍的合并存在可能会使慢性HBV感染者发生不良肝脏结局和心血管事件的风险增加,并影响抗HBV治疗的应答反应。合并代谢功能障碍的慢性HBV感染者的规范管理成为当前面临的一个挑战。进一步研究代谢功能障碍与HBV之间的相互作用以及针对性的管理策略,将有助于优化慢性HBV感染者的临床管理。
指南与规范
肝硬化中医诊疗指南
中华中医药学会肝胆病分会
2024, 40(3): 461-472. DOI: 10.12449/JCH240305
摘要(4544) HTML (1778) PDF (1106KB)(723)
摘要:
近年来,随着基础与临床研究的进展,医务工作者对肝硬化的临床诊治有了进一步的认识。同时,国内关于肝硬化的中医证候规律、中西医结合治疗的研究日趋增多,尤其是在抗肝纤维化方面中医中药发挥了重要的作用。本指南在2008版《中医内科常见病诊疗指南》的基础上进行修订,项目组按照中医药标准化、循证医学、技术指导文件的相关要求,通过文献研究、专家访谈、问卷调查、临床问题确定、证据分级、推荐意见形成、征求意见等多种形式最终形成一套可行的中医药诊疗指南以切实、规范地指导临床诊疗。该指南经中华中医药学会批准发布,标准编号:T/CACM1576-2024。
早期胰腺癌分子诊断专家共识(2023年版)
中国医师协会临床精准医疗专业委员会, 中国抗癌协会肿瘤胰腺病学专业委员会
2024, 40(3): 473-477. DOI: 10.12449/JCH240306
摘要(2357) HTML (2688) PDF (632KB)(692)
摘要:
胰腺癌是一种较为常见的消化系统肿瘤,早期诊断困难,恶性程度极高。以肿瘤生物标志物为核心的分子辅助诊断技术,结合现有临床金标准,对于实现早期精准检测、及时治疗干预及降低病死率具有重要的临床意义。研究证实,微小RNA(miRNA)在胰腺肿瘤不同病理时期出现的种类和表达量变化呈现高度特异性,可用于胰腺肿瘤发生、发展的全程监测。单个miRNA的诊断潜力有限,miRNA组合或可有效提升对早期胰腺癌变的诊断性能。本共识基于近年相关研究进展,填补胰腺癌临床诊疗指南中关于分子诊断技术的空白,并提供专家指导意见。
《2023年国际胰腺病协会京都指南: 胰腺导管内乳头状黏液性肿瘤的管理》意见要点
李家速, 孙洪鑫, 李兆申
2024, 40(3): 478-482. DOI: 10.12449/JCH240307
摘要(4539) HTML (3022) PDF (1026KB)(754)
摘要:
近日,国际胰腺病协会发布了修订版管理胰腺导管内乳头状黏液性肿瘤(IPMN)的指南。该指南主要聚焦“高危征象”和“担忧特征”的修订、未切除IPMN的监测、IPMN切除后的监测、对病理学方面的修订和对囊液分子标志物的研究5个方面,以期为临床实践提供最佳的循证依据,本文对其意见要点进行摘译。
病毒性肝炎
高敏PCR在HBV极低病毒载量的慢性乙型肝炎患者中检测的临床意义
邱功钦, 谢丹, 陈姿任, 欧阳石
2024, 40(3): 483-488. DOI: 10.12449/JCH240308
摘要(2346) HTML (1013) PDF (702KB)(148)
摘要:
  目的  探讨使用高敏PCR在HBV极低病毒载量(HBV DNA 10~99 IU/mL)人群检测中的意义。  方法  选取2019年9月—2022年2月在广州医科大学附属第五医院接受核苷(酸)类似物(NAs)治疗≥48周且经普敏HBV DNA检测(检测下限100 IU/mL)结果为低于检测下限的慢性乙型肝炎(CHB)患者,进一步行高敏HBV DNA检测(检测下限10 IU/mL),根据结果分为极低病毒载量(VLVL,HBV DNA 10~99 IU/mL)组和完全病毒学应答(CVR,HBV DNA<10 IU/mL或未检测到)组。比较两组患者的一般特征、血清病毒学指标、生化学指标、无创肝纤维化指标,评价相关血清病毒学指标对高敏HBV DNA高于检测下限的预测价值,并探讨未实现CVR的影响因素。符合正态分布的计量资料两组间比较采用成组t检验;非正态分布的计量资料两组间比较采用Mann-Whitney U检验。计数资料两组间比较采用χ2检验或Fisher精确检验。采用受试者工作特征曲线(ROC曲线)评价相关血清病毒学指标对高敏HBV DNA高于检测下限的预测价值。采用二元Logistic回归分析探讨未实现CVR的影响因素。  结果  共纳入106例CHB患者,其中VLVL组24例、CVR组82例。VLVL组年龄小于CVR组(P=0.004),VLVL组qHBsAg水平(P=0.002)、HBeAg阳性率(P=0.002)、pgRNA阳性率(P=0.010)及ALT水平(P=0.017)高于CVR组。qHBsAg水平预测CHB患者采用高敏HBV DNA检查结果高于检测下限(>10 IU/mL)的ROC曲线下面积为0.717(P=0.002),最佳cut-off值为1 214.5 IU/mL,敏感度为95.5%,特异度为53.9%。HBeAg阳性(OR=3.654,95%CI:1.162~11.489,P=0.027)和qHBsAg(OR=2.985,95%CI:1.058~8.422,P=0.039)是未实现CVR的独立影响因素。  结论  CHB患者经普敏检测HBV DNA低于<100 IU/mL,但经高敏PCR检测实际仍存在VLVL。VLVL患者炎症损伤水平、pgRNA阳性率以及HBeAg阳性率均显著高于CVR者。HBeAg阳性和高qHBsAg水平是CHB患者未实现CVR的独立影响因素。临床医师不应忽视CHB患者中VLVL人群,需及时行高敏HBV DNA检测。
熊去氧胆酸对慢性乙型肝炎患者新型冠状病毒感染的预防和治疗效果分析
崔心宇, 李彦彦, 朱娜, 林颖莹, 李鑫
2024, 40(3): 489-495. DOI: 10.12449/JCH240309
摘要(1955) HTML (824) PDF (795KB)(110)
摘要:
  目的  探讨慢性乙型肝炎患者服用熊去氧胆酸后对新型冠状病毒感染(COVID-19)的潜在防治效果。  方法  收集2022年1月—12月首都医科大学附属北京地坛医院324例慢性乙型肝炎患者的临床资料,根据是否服用熊去氧胆酸,分为熊去氧胆酸组和对照组。利用倾向性评分匹配法(PSM)平衡两组患者年龄、性别和慢性并发症等混杂因素,观察两组间SARS CoV-2感染率、COVID-19后症状和恢复时间的差异。对白细胞、血红蛋白、血小板、ALT、AST、Alb、ALP、TBil、甘油三酯(TG)、总胆固醇(TC)等实验室指标、疫苗接种情况和COVID-19后肝病症状的发生情况进行对比。计量资料符合正态性分布的两组间比较采用成组t检验;偏态分布两组间比较采用Mann-Whitney U检验。计数资料两组间比较采用χ2检验和连续校正χ2检验。采用二元Logistic回归进行单因素分析和多因素分析,分析匹配后影响COVID-19的因素。  结果  熊去氧胆酸组87例患者,对照组237例患者,PSM后熊去氧胆酸组为78例,对照组为137例,两组间平衡性良好。熊去氧胆酸组SARS CoV-2感染率为82.1%(64/78),对照组感染率为95.6%(131/137),差异有统计学意义(χ2=10.847,P=0.001)。COVID-19后熊去氧胆酸组发生寒战(10.9% vs 38.9%,χ2=16.124,P<0.001)、咳嗽(56.3% vs 74.8%,χ2=6.889,P=0.009)的患者比例均小于对照组,差异具有统计学意义。COVID-19后熊去氧胆酸组患者恢复时间≤7天者比例达79.7%,对照组为61.1%,两组间差异具有统计学意义(χ2=6.760,P=0.009)。单因素和多因素Logistic回归分析均显示熊去氧胆酸是COVID-19的独立影响因素(OR值分别为0.21、0.17,P值均<0.05)。  结论  在慢性乙型肝炎患者中,服用熊去氧胆酸是COVID-19的保护因素,可一定程度上减轻相关症状,缩短恢复时间,在防治COVID-19方面具有重要价值。
自身免疫性肝病
熊去氧胆酸治疗1个月后的碱性磷酸酶水平和基线红细胞分布宽度对原发性胆汁性胆管炎治疗应答的预测价值
王楠, 胡蓉, 卞石惠, 仲威, 张鹏飞, 谭友文
2024, 40(3): 496-501. DOI: 10.12449/JCH240310
摘要(1376) HTML (461) PDF (675KB)(105)
摘要:
  目的  研究基线红细胞分布宽度(RDW)和熊去氧胆酸(UDCA)治疗1个月后的ALP水平预测原发性胆汁性胆管炎(PBC)患者对UDCA治疗的应答情况。  方法  回顾性分析2015年1月—2022年7月于江苏大学附属第三人民医院肝病中心确诊的127例PBC患者资料,收集基线指标、治疗1个月后以及1年后随访数据。根据巴黎-‍Ⅰ标准将患者分为应答良好组和应答欠佳组,分析2组患者临床及实验室特征,以及与UDCA应答之间的相关性,利用Logistic回归法分析与UDCA治疗应答相关的独立危险因素。利用ROC曲线下面积(AUC)确定相关指标的最佳临界值,根据界值将患者再次分组,分析两组间基线指标、应答情况的差异。符合正态分布的计量资料两组间比较采用成组t检验;非正态分布的计量资料两组间比较采用Mann-Whitney U检验。计数资料组间比较则采用χ2检验。  结果  UDCA应答欠佳组患者基线TBil、AST/ALT、ALP、RDW、RDW-CV以及UDCA治疗1个月后的ALP水平明显高于应答良好组(Z值分别为-4.792、-3.697、-2.399、-4.102、-3.220、-4.236,P值均<0.05);应答欠佳组患者基线Alb、Hb、淋巴细胞数、红细胞比容及BMI水平明显低于应答良好组(Z值分别为-3.592、-3.603、-2.602、-3.829、-2.432,P值均<0.05);应答欠佳组患者基线前白蛋白、白球比、载脂蛋白A、游离三碘甲状腺原氨酸水平明显低于应答良好组(t值分别为4.530、3.402、3.485、3.639,P值均<0.001)。应答良好组患者存在肝硬化、合并胆囊结石胆囊炎以及贫血占比较低,两组间差异均有统计学意义(χ2值分别为20.815、3.892、12.283,P值均<0.05)。与UDCA应答相关的独立危险因素为基线RDW(OR=1.157,95%CI:1.028~1.301,P=0.015)及治疗1个月后的ALP水平(OR=1.012,95%CI:1.005~1.020,P=0.002),其AUC分别为0.713、0.720。基线RDW≥正常值上限且UDCA治疗1个月后ALP≥2.2倍正常值上限组患者UDCA应答率更低(42.6% vs 8.2%χ2=20.813,P<0.001)。  结论  基线RDW≥正常值上限同时UDCA治疗1个月后ALP≥2.2倍正常值上限的患者对UDCA的生化应答率更低。
茵陈蒿汤对自身免疫性肝炎小鼠肝细胞铁死亡的抑制作用及其机制分析
李竹蓉, 陈晨, 郭地, 吕思学, 武嘉文, 杨娜, 刘杨
2024, 40(3): 502-508. DOI: 10.12449/JCH240311
摘要(1600) HTML (550) PDF (1234KB)(96)
摘要:
  目的  探讨茵陈蒿汤对自身免疫性肝炎小鼠肝细胞铁死亡的抑制作用及机制。  方法  选取SPF级雌性C57BL/6小鼠18只,采用随机数字表法分为正常组、模型组、治疗组,每组6只。模型组和治疗组采用刀豆蛋白A(Con A)尾静脉注射制备自身免疫性肝炎小鼠模型,正常组注射生理盐水。治疗组于造模前14天,给予茵陈蒿汤(4.68 g生药/kg)预防性灌胃治疗,末次灌胃给药后注射Con A。分别检测ALT、AST、IFN-γ、TNF-α、铁离子、GSH、ROS、ATP、MDA水平,计算肝脏指数、脾脏指数,并观察GPX4、SLC7A11的表达;比较各组小鼠肝脏病理组织变化。正态分布的计量资料3组间比较采用单因素方差分析,进一步两两比较采用LSD-t检验。  结果  与正常组比较,模型组肝脏指数、脾脏指数、ALT、AST、IFN-γ、TNF-α、铁离子、ROS、MDA水平均升高(P值均<0.05),GSH、ATP含量及GPX4、SLC7A11蛋白表达水平降低(P值均<0.05)。与模型组比较,治疗组肝脏指数、脾脏指数、ALT、AST、IFN-γ、TNF-α、铁离子、ROS、MDA水平均降低(P值均<0.05),GSH、ATP含量及GPX4、SLC7A11蛋白表达水平升高(P值均<0.01)。HE染色结果显示,与正常组比较,模型组小鼠肝脏出现大面积肝细胞变性、坏死、门管区炎细胞聚集,治疗组处理的小鼠肝脏坏死和炎性浸润程度较模型组有所减轻。  结论  Con A诱导肝组织损伤可能与铁死亡有关。茵陈蒿汤可以增加SLC7A11/GPX4蛋白的表达水平进而抵抗Con A诱导的肝细胞铁死亡。
肝纤维化及肝硬化
二维剪切波弹性成像和血清学模型在慢性乙型肝炎患者肝纤维化分期中的应用价值
黄玉洁, 冯斯奕
2024, 40(3): 509-515. DOI: 10.12449/JCH240312
摘要(1093) HTML (276) PDF (1188KB)(80)
摘要:
  目的  探讨二维剪切波弹性成像和血清学模型及其联合应用在慢性乙型肝炎患者肝纤维化分期中的诊断价值。  方法  回顾性分析2020年8月—2022年8月在福建医科大学孟超肝胆医院进行过二维剪切波弹性成像(2D-SWE)与肝组织病理学检查的327例慢性乙型肝炎患者的临床资料,提取患者的性别、年龄、血清学指标和2D-SWE结果,根据肝纤维化程度分为S0~S1组、S≥2组、S≥3组和S=4组,根据血清学指标计算血清学模型。采用Spearman相关分析法对2D-SWE和血清学模型与肝纤维化分期进行相关分析,以肝组织病理结果为标准,绘制受试者工作特征曲线,比较各参数及其联合应用诊断肝纤维化分期的效能,并采用Delong检验比较不同方法间的差异。  结果  2D-SWE检测LSM值与肝纤维化分期呈强相关性(r=0.741,P<0.001),血清学模型中除了AAR外的其他6种(APRI、FIB-4、GPR、GP、RPR、S指数)与肝纤维化分期均存在正相关(P值均<0.001)。2D-SWE诊断S≥2、S≥3和S=4肝纤维化的AUC值分别为0.878、0.932、0.942,显著高于血清学模型(P值均<0.001),其最佳截断值分别为6.9 kPa、7.9 kPa、9.4 kPa。血清学模型中APRI在诊断S≥2、S=4的AUC值最高(0.788、0.875),S指数在诊断S≥3的AUC值最高(0.846)。在诊断S≥2、S≥3、S=4时2D-SWE和APRI联合能将AUC值分别提高到0.887、0.938、0.950,诊断S≥2、S≥3、S=4时2D-SWE和S指数联合诊断的AUC值分别为0.879、0.935、0.941;但单独使用2D-SWE与上述联合诊断并无统计学差异(P值均>0.05)。  结论  2D-SWE对肝纤维化分期的诊断效能显著优于7种血清学模型;血清学模型具有一定的诊断价值,其中APRI、S指数的价值较高;单独使用2D-SWE与指标联合并无明显差异,联合并不能显著提高诊断效能,新的联合诊断方法仍有待探索。
失代偿期乙型肝炎肝硬化并发肝性脑病患者30天内死亡影响因素分析
黄云义, 时克, 王宪波
2024, 40(3): 516-520. DOI: 10.12449/JCH240313
摘要(1474) HTML (364) PDF (734KB)(80)
摘要:
  目的  探讨乙型肝炎肝硬化失代偿期并发肝性脑病患者30天内死亡的影响因素。  方法  回顾性收集2008年1月—2018年4月北京地坛医院乙型肝炎肝硬化并发肝性脑病患者616例,随访观察30天,根据患者预后将其分为生存组(n=488)与死亡组(n=128)。计量资料两组间比较采用Mann-Whitney U检验。计数资料两组间比较采用χ2检验或Fisher精确检验。采用Cox回归分析探讨乙型肝炎肝硬化并发肝性脑病患者30天内死亡的独立危险因素。  结果  Cox多因素回归分析显示,年龄(HR=1.029,95%CI:1.014~1.044,P<0.001)、MELD评分(HR=1.118,95%CI:1.098~1.139,P<0.001)及中性粒细胞与淋巴细胞比值(NLR)(HR=1.036,95%CI:1.015~1.057,P=0.001)是乙型肝炎肝硬化并发肝性脑病患者30天内死亡的独立危险因素。分层分析显示,当MELD评分≥20分与NLR≥4时,患者死亡风险较高,30天内的病死率为57.1%(80/140);MELD评分<20分与NLR<4时,30天内的病死率为3.9%(9/232)。  结论  年龄、MELD评分及NLR是影响乙型肝炎肝硬化并发肝性脑病患者30天内死亡的独立危险因素,MELD评分≥20分与NLR≥4的患者30天内的死亡风险较高。
基于APRI和PALBI构建的列线图对肝硬化并发食管胃底静脉曲张破裂出血的预测价值
李欣忆, 李娇娇, 李莹莹, 魏虹合, 熊雨凡, 张新驰, 孙蔚, 陈丽
2024, 40(3): 521-526. DOI: 10.12449/JCH240314
摘要(1056) HTML (372) PDF (918KB)(76)
摘要:
  目的  评估天冬氨酸转氨酶与血小板比值指数(APRI)和血小板-白蛋白-胆红素评分(PALBI)对肝硬化并发食管胃底静脉曲张破裂出血风险的预测价值。  方法  选取苏州大学附属第一医院于2021年5月—2022年6月收治的肝硬化患者119例,收集患者的临床资料、血常规、血清生化及血凝等检查结果。根据是否合并食管胃底静脉曲张破裂出血,将患者分为未出血组(n=59)和出血组(n=60),比较组间差异。正态分布的计量资料两组间比较采用独立样本t检验,非正态分布的计量资料两组间比较采用Mann-Whitney U检验。计数资料组间比较采用χ2检验或Fisher精确概率法。使用多因素Logistic回归分析,筛选肝硬化并发食管胃底静脉曲张破裂出血的独立危险因素,并构建列线图预测模型。  结果  出血组男性患者占75.00%,未出血组男性患者占40.68%,两组在性别构成方面,差异具有统计学意义(χ2=14.384,P<0.001)。出血组和未出血组患者病因均以慢性乙型肝炎为主(53.33% vs 38.98%),两者构成比差异无统计学意义(χ2=2.464,P=0.116)。出血组患者抗凝血酶原Ⅲ活性(AT-IIIA)水平高于未出血组(t=3.329,P=0.001),PLT、TBil、Ca、TC、TT水平则低于未出血组(P值均<0.05)。APRI和PALBI在出血组和未出血组之间比较,差异均有统计学意义(χ2值分别为6.175、19.532,P值均<0.05)。进一步二元Logistic回归分析发现,APRI(OR=0.309,95%CI:0.109~0.881,P=0.028)、PALBI(OR=7.667,95%CI:2.005~29.327,P=0.003)、Ca(OR=0.001,95%CI:0.000~0.141,P=0.007)、TC(OR=0.469,95%CI:0.226~0.973,P=0.042)和TT(OR=0.599,95%CI:0.433~0.830,P=0.002)是影响肝硬化并发食管胃底静脉曲张破裂出血的独立影响因素。基于以上因素建立列线图模型,一致性指数(C-index)为0.899,校准曲线拟合良好。  结论  APRI及PALBI对肝硬化并发食管胃底静脉曲张破裂出血具有良好的预测价值,基于本研究构建的列线图模型可以个体化预测肝硬化患者食管胃底静脉曲张破裂出血发生率。
人脐带间充质干细胞(hUC-MSC)对肝纤维化小鼠模型的治疗作用及其机制分析
刘平箕, 姚黎超, 胡雪, 王铮, 熊芷玉, 江应安
2024, 40(3): 527-532. DOI: 10.12449/JCH240315
摘要(1358) HTML (697) PDF (1806KB)(99)
摘要:
  目的  探讨人脐带间充质干细胞(hUC-MSC)对肝纤维化小鼠的治疗作用及其机制。  方法  选取18只SPF级6周龄C57BL/6小鼠,使用随机数字表法随机分为3组,分别为对照组、CCl4模型组(CCl4组)和hUC-MSC治疗组(MSC组),每组6只。CCl4组和MSC组腹腔注射CCl4溶液构建小鼠肝纤维化模型,对照组同时注射相同剂量玉米油,MSC组在注射CCl4的过程经尾静脉注射hUC-MSC。于第8周末采取小鼠血清,处死小鼠,取小鼠肝脏固定。使用酶联免疫吸附法测定炎症因子水平,自动生化检测仪检测肝功能相关指标,HE染色、Masson染色、天狼星红染色及α-SMA免疫荧光用于评估肝纤维化情况;TGF-β刺激的肝星状细胞(HSC)分别在有无几丁质酶3样蛋白1(CHI3L1)添加的培养基中与hUC-MSC共培养,Western Blot试验检测蛋白表达水平。计量资料多组间比较采用单因素方差分析,进一步两两比较采用Dunnett-t检验。  结果  Masson染色、天狼星红染色提示CCl4组小鼠纤维化较对照组明显(P值均<0.05),MSC组小鼠纤维化较CCl4组减轻(P值均<0.05)。CCl4组IL-1β、IL-6、AST、ALT和ALP水平较对照组明显升高(P值均<0.05),MSC组IL-6、AST、ALT及ALP水平较CCl4组明显降低(P值均<0.05)。CCl4组CHI3L1和α-SMA的表达均高于对照组和MSC组(P值均<0.05)。细胞培养实验显示,MSC+HSC组Bax表达高于HSC组和MSC+CHI3L1组(P值均<0.05),提示CHI3L1逆转了MSC对活化的HSC的促凋亡作用。  结论  hUC-MSC治疗可以改善小鼠肝纤维化,其作用机制可能与抑制CHI3L1从而促进HSC的凋亡相关。
平足蛋白(PDPN)在肝星状细胞活化以及肝纤维化中的作用分析
王知意, 杨广越, 张玮, 浦娅琼, 赵鑫, 马文婷, 刘旭凌, 吴柳, 陶乐, 刘成
2024, 40(3): 533-538. DOI: 10.12449/JCH240316
摘要(1749) HTML (586) PDF (1597KB)(77)
摘要:
  目的  探究平足蛋白(PDPN)在肝星状细胞活化以及肝纤维化中的作用,并对其机制进行初步探讨。  方法  收集2019年9月—2022年6月首次就诊于上海中医药大学附属普陀医院感染科的75例慢性乙型肝炎患者肝活检组织样本,实时定量PCR(RT-PCR)和免疫组化检测PDPN在不同肝纤维化分期患者肝组织中的表达。12只雄性C57/BL6小鼠随机分为正常组和模型组,每组各6只。模型组腹腔注射含10% CCl4,对照组注射等体积橄榄油共6周,HE染色、天狼星红染色观察肝组织病理学变化,分离小鼠肝脏原代细胞,检测PDPN mRNA在各类型细胞中表达;使用PDPN蛋白处理小鼠原代肝星状细胞,并使用NF-κB抑制剂BAY11-7082处理,分析PDPN诱导肝星状细胞炎症因子表达情况。计量资料2组间比较采用成组t检验,多组间比较采用单因素方差分析,进一步两两比较采用LSD-t检验。两组数据相关性分析采用Spearman相关性分析法。  结果  慢性乙型肝炎患者肝活检样本中,PDPN mRNA在正常肝脏中表达较低,S3、S4期肝组织中表达显著升高,与正常肝组织比较差异均有统计学意义(P值均<0.001);免疫组化染色结果显示,PDPN阳性表达主要集中在纤维间隔及肝窦,S4期肝组织PDPN阳性面积比S0期表达显著升高(t=8.892,P=0.001)。正常组小鼠中PDPN主要在肝窦表达少许,在CCl4模型小鼠中PDPN表达显著升高(t=0.95,P<0.001),主要在纤维间隔表达;RT-PCR结果显示,PDPN mRNA在CCl4模型小鼠中显著升高(t=11.25,P=0.002)。与肝细胞、肝星状细胞、Kupffer细胞和肝内胆管细胞相比,PDPN在肝窦内皮细胞中明显高表达(F=20.56,P<0.001);PDPN蛋白处理小鼠原代肝星状细胞15 min,炎症相关因子TNF-α、CCL3、CXCL1和CXCR1的mRNA表达,与对照组相比均显著升高(P值均<0.05),BAY11-7082(NF-κB信号抑制剂)处理后,上述炎症指标水平均明显下降(P值均<0.05)。  结论  在肝纤维化中主要表达在肝窦内皮细胞的PDPN增加,其通过NF-κB信号调节肝星状细胞活化,促进肝纤维化进展
肝脏肿瘤
冷冻消融协同仑伐替尼和程序性死亡受体1单抗治疗不可切除肝细胞癌的效果及安全性分析
刘腾, 常秀娟, 何权威, 徐然, 杨永平
2024, 40(3): 539-549. DOI: 10.12449/JCH240317
摘要(935) HTML (616) PDF (1848KB)(87)
摘要:
  目的  分析程序性死亡受体1(PD-1)单抗是否提高冷冻消融联合仑伐替尼治疗不可切除性肝细胞癌(uHCC)患者的疗效和安全性。  方法  回顾性收集2018年1月—2022年12月在解放军总医院第五医学中心治疗的uHCC患者232例,其中128例接受冷冻消融联合仑伐替尼(二联)治疗,104例接受冷冻消融联合仑伐替尼和PD-1单抗(三联)治疗,用倾向性评分匹配方法(PSM)以1∶1进行匹配,经匹配后两组各86例。评估匹配后的2组患者客观缓解率(ORR)和疾病控制率(DCR)、总生存期(OS)、无进展生存期(PFS)和不良事件发生情况。定量资料若符合正态分布2组间比较采用成组t检验;非正态分布2组间比较采用Mann-Whitney U检验。定性资料采用χ2检验进行2组间比较。绘制生存曲线,运用Kaplan-Meier法计算2组患者的生存率,并利用Log-rank检验比较2组差异。通过Cox回归模型计算风险比(HR)和95%置信区间(95%CI),实现预后影响因素的单因素及多因素分析。  结果  中位随访时间为28个月,三联组死亡33例(38.0%),二联组死亡40例(46.0%)。三联治疗组的ORR和DCR较二联组明显增高(ORR:35.6% vs14.5%,P=0.008;DCR:86.1% vs64.1%,P=0.003)。三联组的OS和PFS较二联组均显著提高(P值分别为0.045、0.026)。单因素和多因素Cox风险比例模型分析显示治疗方案(HR=0.60,P=0.038)、AFP水平(HR=2.37,P=0.001)是影响OS的独立危险因素;治疗方案(HR=0.65,P=0.025)、糖尿病(HR=1.94,P=0.005)、之前是否接受过局部治疗(HR=0.63,P=0.014)、远处转移(HR=0.58,P=0.009)是影响PFS的独立危险因素。两组患者不良反应发生率相当,无明显差异(P值均>0.05)。  结论  对于uHCC患者,冷冻消融联合仑伐替尼和PD-1单抗三联治疗较冷冻消融联合仑伐替尼二联治疗显著提高了疗效,改善患者生存情况,而且不增加不良反应事件,为优化不可切除性肝癌的治疗方案提供了临床依据。
经肝动脉化疗栓塞术联合靶向及免疫药物治疗中国肝癌分期Ⅱb/Ⅲa期肝细胞癌患者的有效性及安全性分析
胡泽鑫, 李佳清, 李婉慈, 仲斌演, 张帅, 沈健, 朱晓黎
2024, 40(3): 550-555. DOI: 10.12449/JCH240318
摘要(1523) HTML (729) PDF (641KB)(104)
摘要:
  目的  评估经肝动脉化疗栓塞术(TACE)一线联合靶向及免疫药物治疗中国肝癌分期(CNLC) Ⅱb/Ⅲa期肝细胞癌(HCC)的疗效及安全性。  方法  选取2015年1月—2022年12月在苏州大学附属第一医院接受TACE一线联合靶向及免疫药物治疗或单纯TACE治疗的患者共198例,经倾向性评分匹配后,分为联合组(TACE联合靶免)与单纯TACE组各50例,采用Kaplan-Meier法对中位生存期(mOS)、中位无进展生存期(mPFS)进行计算。依据改良实体瘤疗效评价标准(mRECIST)评估两组客观缓解率(ORR)、疾病控制率(DCR),依据通用不良事件术语5.0标准(CTCAE v5.0标准)评估不良事件。计数资料两组间比较采用χ2检验。符合正态分布的计量资料两组间比较采用成组t检验,不符合正态分布的计量资料两组间比较采用Wilcoxon秩和检验。采用Kaplan-Meier法对生存时间进行估计并计算95%CI,采用Log-rank检验对两组mOS以及mPFS进行比较。  结果  联合组mOS为30.1个月(95%CI:21.9~38.3),单纯TACE组为14.5个月(95%CI:11.0~18.0),差异有统计学意义(χ2=17.8,P<0.001);联合组mPFS为10.3个月(95%CI:8.8~11.8),单纯TACE组为7.1个月(95%CI:5.8~8.4),差异有统计学意义(χ2=10.4,P<0.001)。联合组和单纯TACE组的ORR和DCR分别为84%、94%和58%、80%,两组ORR及DCR比较差异均有统计学意义(P值均<0.05)。两组严重不良反应发生率分别为24%和16%,差异无统计学意义(P=0.317),且均未观察到不良反应所致的死亡。  结论  与单纯TACE相比,TACE一线联合靶向及免疫药物治疗CNLC Ⅱb/Ⅲa期HCC患者效果更好,且不会增加严重不良反应。
其他肝病
双重血浆分子吸附系统序贯血浆置换联合连续性肾脏替代疗法治疗慢加急性肝衰竭合并急性肾损伤的效果分析
文苑, 祝娟娟
2024, 40(3): 556-561. DOI: 10.12449/JCH240319
摘要(1664) HTML (419) PDF (704KB)(108)
摘要:
  目的  观察双重血浆分子吸附系统(DPMAS)序贯血浆置换(PE)联合连续性肾脏替代疗法(CRRT)治疗慢加急性肝衰竭(ACLF)合并急性肾损伤(AKI)患者的临床效果。  方法  回顾性纳入2019年1月—2022年12月于贵州医科大学附属医院住院治疗的ACLF合并AKI的90例患者临床资料,依据不同的血液净化方式,分为DPMAS序贯PE联合CRRT组(观察组,n=31),DPMAS序贯PE组(对照组,n=59)。收集所有患者入院一般资料、血液净化治疗前后实验室指标,包括肝肾功能、凝血功能、炎症指标等,计算eGFR、MELD-Na评分。正态分布的计量资料两组间比较采用成组t检验;非正态分布的计量资料组内前后比较采用Wilcoxon符号秩和检验,两组间比较采用Mann-Whitney U检验。计数资料两组比较采用χ2检验或Fisher精确检验。  结果  观察组治疗有效率为48.4%(15/31),高于对照组治疗的有效率27.1%(16/59)(χ2=4.071,P=0.044)。两组血液净化方式均可有效改善TBil、ALT、AST、PTA、Scr、PCT、CRP、eGFR及MELD-Na评分(P值均<0.05);两组治疗后PLT及Hb均显著降低(P值均<0.05);而BUN、Alb、INR治疗前后差异均无统计学意义(P值均>0.05)。对照组与观察组的AST、Scr、PCT、eGFR、MELD-Na评分、Hb、PLT治疗前后差值比较,差异均有统计学意义(P值均<0.05)。  结论  DPMAS序贯PE联合CRRT模式可有效清除炎症介质,改善肾功能,稳定机体内环境,获得较好的临床疗效。
药物性肝损伤患者预后影响因素分析及列线图模型的建立
王诗美, 靳帅, 李俊儒, 王娜, 陈岩, 崔莹, 马明明, 胡晓丽
2024, 40(3): 562-567. DOI: 10.12449/JCH240320
摘要(1490) HTML (401) PDF (852KB)(103)
摘要:
  目的  探讨药物性肝损伤(DILI)患者临床转归的影响因素,构建列线图模型并进行内部验证。  方法  回顾性分析哈尔滨工业大学附属黑龙江省医院2017年1月—2022年12月收治的188例DILI患者的一般资料和实验室数据,根据患者临床转归分为结局良好组(n=146)和不良结局组(n=42)。正态分布计量资料两组间比较采用成组t检验;非正态分布计量资料两组间比较采用Mann-Whitney U检验。计数资料两组间比较采用χ2检验。通过单因素和多因素Logistic回归分析筛选DILI患者临床转归相关的独立影响因素。R Studio 4.1.2软件构建列线图模型,通过校准曲线、受试者工作特征曲线(ROC曲线)和决策曲线分析(DCA)对模型进行内部验证。  结果  单因素Logistic回归分析结果显示,肝活检诊断DILI、PLT、ChE、Alb、PTA、IgM和IgG与DILI患者不良结局相关(P值均<0.05)。多因素Logistic回归分析结果显示,肝活检诊断DILI(OR=0.072,95%CI:0.022~0.213,P<0.001)、临床分型(OR=0.463,95%CI:0.213~0.926,P=0.039)、ALT(OR=0.999,95%CI:0.998~1.000,P=0.025)、PTA(OR=0.973,95%CI:0.952~0.993,P=0.011)和IgM(OR=1.456,95%CI:1.082~2.021,P=0.015)是DILI患者临床转归的独立影响因素。构建列线图,经验证校准曲线接近参考曲线,ROC曲线下面积为0.829,决策曲线分析显示该模型具有良好的临床净收益。  结论  构建的列线图模型对评估DILI患者的临床转归具有较好的临床校准度、鉴别能力和应用价值。
胆道疾病
胆管癌和胆总管结石患者胆汁中钙卫蛋白检测的临床意义
计婷婷, 白冰清, 崔喻芳, 汪少飞, 洪江龙, 李扬, 鲍峻峻, 梅俏
2024, 40(3): 568-572. DOI: 10.12449/JCH240321
摘要(887) HTML (446) PDF (643KB)(58)
摘要:
  目的  探讨胆管癌和胆总管结石患者胆汁中钙卫蛋白水平的差异。  方法  收集2021年5月—2022年9月安徽医科大学第一附属医院行ERCP诊治的胆管癌(n=34)和胆总管结石(n=78)患者的临床资料和胆汁标本。采用荧光免疫层析法检测胆汁中钙卫蛋白、血红蛋白和乳铁蛋白水平。计量资料两组间比较采用Mann-Whitney U检验;计数资料两组间比较采用χ2检验;相关分析采用Spearman相关性检验;DeLong检验比较不同受试者工作特征曲线(ROC曲线)下面积(AUC)的差异。  结果  与胆总管结石组比较,胆管癌患者胆汁中钙卫蛋白水平升高[4 795.50(2 286.79~20 179.73)ng/mL vs 411.16(67.03~1 991.88)ng/mL,Z=5.572,P<0.001],同时氯化物水平升高[115.70(109.10~125.50)mmol/L vs 106.60(98.60~114.40)mmol/L,Z=2.702,P=0.007]。进一步将胆管癌分为高位胆管癌和低位胆管癌,两组钙卫蛋白比较差异无统计学意义[3 867.71(2 235.66~26 407.40)ng/mL vs 4 795.50(2 361.15~13 070.53)ng/mL,Z=0.129,P>0.05]。胆汁钙卫蛋白水平与胆汁白细胞计数、血红蛋白、乳铁蛋白水平具有相关性(r值分别为0.316、0.353、0.464,P值均<0.05)。ROC曲线结果示胆汁钙卫蛋白(敏感度79.4%,特异度75.6%)、血CA19-9水平(敏感度82.4%,特异度78.2%)以及两者联合(敏感度88.2%,特异度73.1%)对诊断胆管癌具有良好的敏感性和特异性。  结论  胆管癌患者胆汁中钙卫蛋白水平升高,可能成为胆管癌诊断的生物标志物。
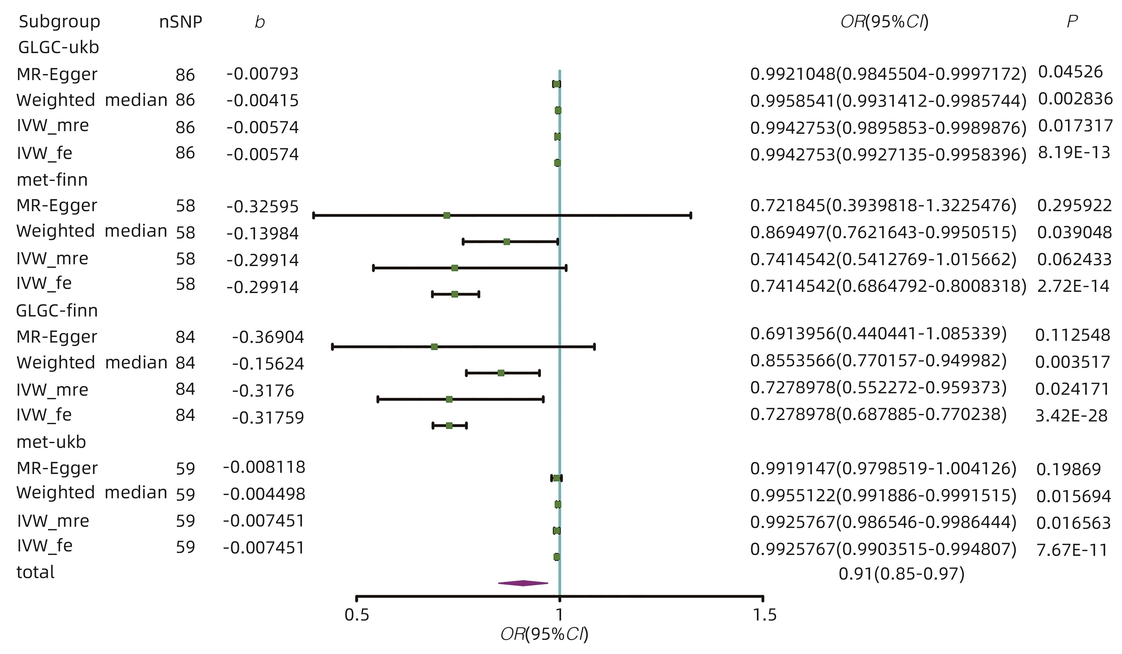
双向孟德尔随机化分析总胆固醇升高风险与胆石症发生风险的关系
赵伟伟, 杜晓旭, 戈宏焱
2024, 40(3): 573-580. DOI: 10.12449/JCH240322
摘要(1759) HTML (520) PDF (2528KB)(92)
摘要:
  目的  运用双向孟德尔随机化评估总胆固醇升高风险与胆石症发生风险之间的关联。  方法  总胆固醇与胆石症相关的单核苷酸多态性数据来自open gwas公共数据库,对基于全基因组相关联研究(GWAS)的所有汇总数据进行二次数据分析,分别选择与总胆固醇或者胆石症密切关联的遗传位点作为暴露或者结局变量,用Egger回归法、加权中位数法、IVW随机效应模型、IVW固定效应模型等方法进行双向孟德尔随机化分析,以OR值评价总胆固醇和胆石症之间的因果关系。  结果  以总胆固醇为暴露、胆石症为结局,去除异质性前总胆固醇-胆石症的总体OR=0.9195%CI:0.85~0.97;去除异质性后总胆固醇-胆石症的总体OR=0.93,95%CI:0.89~0.97。以胆石症为暴露、总胆固醇为结局,去除异质性前胆石症-总胆固醇的总体OR=0.20,95%CI:0.06~0.65;去除异质性后胆石症-总胆固醇的总体OR=0.28,95%CI:0.10~0.83。基因预测的总胆固醇和胆石症之间存在双向因果关系。  结论  本研究证实了总胆固醇与胆石症之间的双向因果关系,随着遗传上有关能使总胆固醇水平升高的等位基因的增加,发生胆石症的风险降低。反之,随着遗传上有关能使胆石症发病增高的等位基因的增加,总胆固醇水平升高的风险降低。
病例报告
以肝硬化为主要表现的红细胞生成性原卟啉病1例报告
吴振东, 周国强, 向燕, 王先令, 苏剑东, 刘思纯
2024, 40(3): 581-584. DOI: 10.12449/JCH240323
摘要(984) HTML (409) PDF (719KB)(110)
摘要:
红细胞生成性原卟啉病(EPP)是一种罕见的遗传代谢性疾病,常累及皮肤、血液、神经系统,其中以肝功能严重损伤和急性腹痛为主要表现的EPP极为罕见。本文通过回顾1例EPP患者的临床资料及相关基因检测结果,探讨EPP的临床特点及致病基因,以提高肝病医师对该病的认识,争取早期诊断、早治疗。
ATP结合盒亚家族B成员4(ABCB4)基因突变相关性肝硬化合并胆囊结石1例报告
刘文迪, 王芃, 胡和平, 周华邦
2024, 40(3): 585-588. DOI: 10.12449/JCH240324
摘要(958) HTML (463) PDF (889KB)(81)
摘要:
ATP结合盒亚家族B成员4(ABCB4)基因突变疾病谱涉及进行性家族性肝内胆汁淤积3型、胆石症、妊娠期肝内胆汁淤积症、门静脉高压、肝硬化,甚至原发性肝脏、胆道恶性肿瘤等多种疾病。本院肝胆内科收治1例青年男性患者,入院初步诊断为胆囊结石,计划腹腔镜胆囊切除术,术前检查发现该患者肝功能异常、肝硬化、脾大、食管静脉轻度曲张,后进一步行二代测序明确诊断为ABCB4基因突变相关性肝硬化合并胆囊结石,给予熊去氧胆酸胶囊利胆治疗后,肝功能逐渐恢复正常。
综述
孟德尔随机化分析方法在非酒精性脂肪性肝病病因探索中的应用
郭紫薇, 武庆娟, 叶永安, 陈兰羽, 吕文良
2024, 40(3): 589-593. DOI: 10.12449/JCH240325
摘要(1477) HTML (1267) PDF (673KB)(127)
摘要:
非酒精性脂肪性肝病(NAFLD)是以肝内脂质大量堆积为特点的肝脂质代谢异常类疾病,是目前世界范围内最常见的肝脏疾病。孟德尔随机化(MR)将基因组数据纳入传统的流行病学研究设计中,以推断暴露因素与疾病风险之间的因果关系。近年来,MR在NAFLD的病因推断研究中得到了较为广泛的应用,本文将系统总结MR在NAFLD研究中的应用进展,为认识疾病本质和科学化干预提供新思路。
嗜黏蛋白阿克曼菌在非酒精性脂肪性肝病中的作用
郑立婷, 汪哲, 陈玉春, 刘珊山, 解有成, 李初谊, 于晓辉
2024, 40(3): 594-599. DOI: 10.12449/JCH240326
摘要(1951) HTML (915) PDF (867KB)(100)
摘要:
非酒精性脂肪性肝病(NAFLD)已成为全球最常见的慢性肝病,同时也是发生肝硬化和肝细胞癌的主要原因之一,因此及时遏止NAFLD的发生发展尤为重要,但由于其复杂的发病机制,目前尚无有效的根治手段。嗜黏蛋白阿克曼菌(Akk菌)作为新一代益生菌,能够改善机体代谢紊乱。越来越多的研究表明,Akk菌对代谢性疾病,尤其是NAFLD有潜在的治疗作用。因此,本文就Akk菌在NAFLD中的作用机制作简要综述,旨在为NAFLD的治疗改进和开创新疗法提供新思路。
磁共振质子密度脂肪分数(MRI-PDFF)在肝脂肪定量中的应用
杨晨, 余上海, 徐飞鹏, 张华
2024, 40(3): 600-605. DOI: 10.12449/JCH240327
摘要(2805) HTML (2133) PDF (709KB)(328)
摘要:
不同病因的慢性肝病均可出现肝脂肪变性。引起肝脂肪性病变的主要诱因包括慢性病毒性肝炎、胆汁淤积性肝病、酒精和非酒精性脂肪性肝病等。肝脂肪变性初期表现为单纯性脂肪性肝病,继而出现脂肪性肝炎、肝纤维化、肝硬化,甚至肝细胞癌。随着医学影像技术的发展,磁共振质子密度脂肪分数(MRI-PDFF)已在临床广泛应用于脂肪性肝病(FLD)的诊断。MRI-PDFF因具有精确性高及可重复性好的优点,逐步成为FLD无创诊断的“金标准”。本文对MRI-PDFF在肝脂肪定量中的临床应用及研究进展进行综述。
原发性胆汁性胆管炎遗传易感性的研究现状
赵春梅, 马狄, 邰文琳
2024, 40(3): 606-610. DOI: 10.12449/JCH240328
摘要(1006) HTML (546) PDF (613KB)(73)
摘要:
原发性胆汁性胆管炎(PBC)是一种以胆管上皮细胞变性坏死为主,好发于中老年女性,具有强烈的遗传倾向性的肝脏自身免疫性疾病。随着全基因组关联分析(GWAS)的不断发展,PBC的遗传易感性备受关注。本文阐述了与PBC密切相关的遗传易感基因的研究进展,以期为PBC治疗提供有效靶点。
巨噬细胞极化在肝纤维化中的调控作用机制
白小洋, 张旭, 海龙, 丁向春
2024, 40(3): 611-615. DOI: 10.12449/JCH240329
摘要(2289) HTML (1283) PDF (684KB)(137)
摘要:
肝纤维化是一种由病毒感染、酒精、化学物质等原因导致的慢性肝损伤的愈合反应,是慢性肝脏疾病进展为肝硬化和肝癌的关键环节。肝巨噬细胞被认为是肝损伤和修复的重要介质,巨噬细胞极化趋向对肝纤维化具有双向调控作用。本文阐述不同表型的肝巨噬细胞在肝纤维化发生发展过程中的作用,以期为纤维化的防治研究提供新思路。
肝硬化凝血障碍机制的再认识
孙荣荣, 贺娜, 张粉娜, 张心怡, 王梓依, 王辉, 边娜娜, 闫红林
2024, 40(3): 616-620. DOI: 10.12449/JCH240330
摘要(2375) HTML (395) PDF (622KB)(292)
摘要:
肝脏在维持机体凝血和抗凝动态平衡中发挥重要调节作用。肝硬化患者抗凝与凝血的动态平衡很脆弱,会因凝血因子减少,血小板计数下降,纤溶亢进而增加出血风险,同时还会因血管性血友病因子、凝血因子Ⅷ升高,抗凝蛋白C、抗凝蛋白S降低,凝血酶生成潜力增加,抗纤溶成分的改变而形成血栓。本文对肝硬化凝血障碍的机制进行综述,以期对临床医生关于肝硬化患者的出血或血栓性疾病的预防和治疗提供帮助。
抗甲状腺药物所致肝损伤的诊断与治疗原则
杨睿涛, 杨锐, 邓勋, 曾森祥, 杨晓燕
2024, 40(3): 621-625. DOI: 10.12449/JCH240331
摘要(1838) HTML (921) PDF (990KB)(207)
摘要:
药物治疗是甲状腺功能亢进的主要治疗方法。抗甲状腺药物可引起肝损伤,药物性肝损伤的诊断多采用排他性诊断,诊断基于病史采集、临床症状、血清生化、影像学及组织学等。药物性肝损伤可依据肝损伤严重程度分为轻度、中度、重度和致命四种等级,轻者常不必停药,但需定期监测肝功能,重者可发生肝衰竭,病死率高,若能尽早发现、及时停药,辅以合理药物治疗,可避免致命后果。抗甲状腺药物性肝损伤的治疗原则是促进肝损伤恢复、防止肝损伤重症化、慢性化和降低死亡风险。规范用药、及时监测、早期发现和早期治疗是防治抗甲状腺药物肝损伤的重要举措。
何首乌致肝损伤的信号通路及其作用机制
梁子晗, 李佳辉, 程爽, 袁卓雅, 荣文雅, 刘亚杰, 郝玉洁, 王睿林
2024, 40(3): 626-632. DOI: 10.12449/JCH240332
摘要(2857) HTML (1255) PDF (1173KB)(153)
摘要:
何首乌是一种临床常用的补益类中草药,相关肝损伤事件近年来被频繁报道,其安全性问题逐渐引起国内外关注。本文梳理近年来何首乌致药物性肝损伤信号通路及作用机制的研究进展,基于信号通路角度,为临床正确合理应用何首乌提供新思路。现有研究证据表明,何首乌参与调控多条信号通路,通过破坏线粒体功能、加重胆汁酸淤积、诱发免疫应激、氧化应激、内质网应激等多种途径导致肝细胞死亡,多靶点、多途径、多层次诱导药物性肝损伤的发生发展。
间充质干细胞及其外泌体在药物性肝损伤治疗中的作用
邢国静, 罗龙龙, 王丽菲, 王顺娜, 郑晓凤, 卢利霞, 张久聪
2024, 40(3): 633-638. DOI: 10.12449/JCH240333
摘要(1054) HTML (716) PDF (908KB)(90)
摘要:
药物性肝损伤(DILI)的发生率呈逐年上升趋势且损伤机制并不明确,针对DILI的治疗药物、肝脏支持系统及肝移植均有一定的局限性。因此,寻找更安全有效的治疗方法已成为当下研究的热点。间充质干细胞及其外泌体可通过减轻肝脏炎症反应,促进肝细胞增殖及再生、抗肝细胞凋亡,改善氧化应激和免疫调节等机制减轻肝损伤。本文就间充质干细胞及其外泌体在药物性肝损伤治疗中的作用进行简要综述,以期为进一步研究提供参考。
中性粒细胞胞外诱捕网(NET)与肝脏疾病的关系
仁增卓嘎, 杨康洁, 芦永良, 王志鑫, 王海久
2024, 40(3): 639-643. DOI: 10.12449/JCH240334
摘要(1534) HTML (785) PDF (1014KB)(110)
摘要:
中性粒细胞通过释放中性粒细胞弹性蛋白酶和髓过氧化物酶等蛋白酶,形成中性粒细胞胞外诱捕网(NET),在体内发挥免疫防御作用,并参与多种肝病的炎性反应,但其过度释放会加重肝组织损伤,成为肝脏疾病的危险因素之一。近年来,有研究发现NET的过度释放可促进病毒性肝炎、非酒精性脂肪性肝炎、肝脏缺血再灌注损伤等疾病向肝癌进展,阐明NET作用机制对肝脏疾病的诊断和进展过程具有重要意义。本文主要阐述NET在肝脏疾病中的最新研究进展,为肝脏疾病的诊疗和预防提供新的思路。
内分泌指标及超声检查在小儿胰腺损伤早期诊断中的应用
金明均, 孙溶涓, 董亮, 詹江华
2024, 40(3): 644-648. DOI: 10.12449/JCH240335
摘要(980) HTML (282) PDF (703KB)(58)
摘要:
腹部外伤的发生率在小儿创伤中占比逐年增加,创伤性胰腺损伤应引起临床医生的足够重视。胰腺位于腹膜后,尤其是Ⅰ、Ⅱ级损伤的患儿,其早期诊断较为困难。本文通过文献复习,分析内分泌指标及腹部超声检查在小儿胰腺损伤早期诊断中的价值,以提高早诊率,避免相关并发症的发生。内分泌指标中血清胰岛素、C肽等指标的变化,对于诊断和评估小儿胰腺损伤有一定的优势,可作为小儿胰腺损伤病情的预警指标。超声弹性成像技术为胰腺损伤的诊断和鉴别提供了新的方法;而对比增强超声在识别患儿胰腺损伤中具有较高的特异度及敏感度,由于其无放射性损害,有望成为CT检查的替代方案。
国外期刊精品文章简介
Journal of Hepatology|辣椒素受体(TRPV1)通过募集SARM1维持肝星状细胞静止状态
2024, 40(3): 508-508. DOI: 10.12449/JCH2403.gwqkjpwzjj1
摘要(595) HTML (210) PDF (366KB)(57)
摘要:
Hepatology Research|急性失代偿期酒精性肝硬化患者90天生存预后模型的建立和验证
2024, 40(3): 520-520. DOI: 10.12449/JCH2403.gwqkjpwzjj2
摘要(531) HTML (186) PDF (305KB)(48)
摘要:
读者·作者·编者
《临床肝胆病杂志》推荐使用的规范医学名词术语
2024, 40(3): 532-532.
摘要(237) HTML (159) PDF (264KB)(41)
摘要:
《临床肝胆病杂志》关于伦理审查的要求
2024, 40(3): 580-580.
摘要(217) HTML (306) PDF (287KB)(31)
摘要:
更正
2024, 40(3): 615-615.
摘要(232) HTML (191) PDF (240KB)(25)
摘要:
消息
《临床肝胆病杂志》2024年1~11期重点号选题及执行主编
2024, 40(3): 445-445.
摘要(250) HTML (176) PDF (271KB)(31)
摘要:
《临床肝胆病杂志》关于不法人员冒用本刊名义实施邮件诈骗的严正声明
2024, 40(3): 452-452.
摘要(274) HTML (162) PDF (258KB)(23)
摘要:
《临床肝胆病杂志》综合评价总分在消化病学类核心期刊中连续5年排名第一
2024, 40(3): 620-620.
摘要(242) HTML (188) PDF (280KB)(24)
摘要:
致谢
本期审稿专家
2024, 40(3): 648-648. DOI: 10.12449/JCH2403.zhixie
摘要(308) HTML (147) PDF (434KB)(37)
摘要: