中文English
ISSN 1001-5256 (Print)
ISSN 2097-3497 (Online)
CN 22-1108/R

留言板

尊敬的读者、作者、审稿人, 关于本刊的投稿、审稿、编辑和出版的任何问题, 您可以本页添加留言。我们将尽快给您答复。谢谢您的支持!

姓名
邮箱
手机号码
标题
留言内容
验证码
2023年 第10期
“慢加急性肝衰竭的临床分型及预后评估” 重点号
执行主编:陈煜
首都医科大学附属北京佑安医院

显示方式:
述评
不确定期慢性乙型肝炎抗病毒治疗再探讨
庄辉
2023, 39(10): 2273-2276. DOI: 10.3969/j.issn.1001-5256.2023.10.001
摘要(1494) HTML (405) PDF (761KB)(307)
摘要:
本文再次探讨不确定期慢性乙型肝炎患者的抗病毒治疗。此类患者的肝脏有显著坏死炎症和纤维化的比例较高,疾病进展的风险高于真正的HBeAg阳性慢性HBV感染(既往称为免疫耐受期)或HBeAg阴性慢性HBV感染(既往称免疫控制期)。对不确定期慢性HBV感染者进行抗病毒治疗可降低HBV相关肝细胞癌的风险。
慢加急性肝衰竭临床分型的再认识:从起病表现和动态转归的新视角重新定义
董金玲, 陈煜
2023, 39(10): 2277-2280. DOI: 10.3969/j.issn.1001-5256.2023.10.002
摘要(1384) HTML (486) PDF (522KB)(163)
摘要:
慢加急性肝衰竭(ACLF)是在慢性肝病基础上发生的急性肝功能失代偿,是以器官功能衰竭和短期高病死率为特点的复杂临床综合征。ACLF具有可逆转性,长期预后转归结局多样化。依据疾病特征进行ACLF临床分型,对优化疾病管理路径具有重要意义。本文结合东西方ACLF定义和临床特征,从起病表现和动态转归的新视角重新定义,提出ACLF新型临床分型。第一种是基于起病时肝内、外器官衰竭为特征的ACLF临床分型,包括:Ⅰ型ACLF,慢性肝病基础上的肝脏功能衰竭;Ⅱ型ACLF,慢性肝病基础上肝脏急性失代偿合并多脏器功能衰竭。第二种是基于临床转归的动态ACLF临床分型,包括A型:快速进展型,B型:快速恢复型,C型:缓慢进展型,D型:缓慢恢复型,E型:缓慢持续型。新视角ACLF临床分型的提出,期望东西方学者对ACLF疾病认识更具有包容性,缩小分歧,优化疾病管理路径,合理利用医疗资源,供临床医生借鉴。
专家论坛
慢加急性肝衰竭的疾病定义及发病机制
项晓刚, 尚大宝, 张金铭
2023, 39(10): 2281-2287. DOI: 10.3969/j.issn.1001-5256.2023.10.003
摘要(1629) HTML (471) PDF (592KB)(253)
摘要:
慢加急性肝衰竭(ACLF)的概念自提出后近三十年来,已经被各国学者广泛接受,但是关于ACLF的疾病定义和诊断在世界范围至今仍没有形成一套统一的标准。近年来,ACLF疾病描述中慢性肝病基础、肝内或肝外的急性损伤、急性肝功能失代偿、肝外器官功能衰竭、短期高病死率以及病程具有可逆性等关键特征,东西方已在逐渐缩小分歧中趋近共识。关于ACLF的发病机制目前尚未完全阐明,相关研究大多集中在全身炎症反应和免疫功能障碍方向。
慢加急性肝衰竭临床评分及分型系统的演变进程
尹惠敏, 李荣宽
2023, 39(10): 2288-2293. DOI: 10.3969/j.issn.1001-5256.2023.10.004
摘要(1142) HTML (681) PDF (578KB)(141)
摘要:
慢加急性肝衰竭(ACLF)发病机制复杂,临床治疗困难,预后差。由于不同国家地区慢性肝病分布的不同,在过去的几十年中,有超过十种ACLF评分及分型标准被提出,表明ACLF在定义、评分及分型方面存在较大分歧。通过梳理具有广泛影响的几种评分及分型的特点,探讨其演变进程及适用于我国的分型标准,为优化治疗方案提供参考。
进展性慢性肝病发生慢加急性肝衰竭的风险预测及分层管理
祁婷婷, 陈金军
2023, 39(10): 2294-2300. DOI: 10.3969/j.issn.1001-5256.2023.10.005
摘要(1185) HTML (420) PDF (651KB)(129)
摘要:
进展性慢性肝病患者因肝炎活动、急性失代偿或肝衰竭及其并发症住院,病情严重程度不一,需要分层管理。慢加急性肝衰竭(ACLF)是进展性慢性肝病患者中短期病死率最高的群体,均应在三级医院诊治。未达到ACLF的患者虽然病死率相对较低,但存在进展至ACLF的风险,一旦进展到ACLF,病死率明显增加,需进行分层管理:其中进展率极低的患者转归良好,在基层医院救治即可;而有进展至ACLF风险的高危人群,应当密切监视病情变化,及时转诊。目前尚缺乏准确评估进展至ACLF风险的预测模型,需要进一步研究新的标志物或算法。
慢加急性肝衰竭的预后评价
张倩, 韩涛
2023, 39(10): 2301-2306. DOI: 10.3969/j.issn.1001-5256.2023.10.006
摘要(1206) HTML (224) PDF (570KB)(155)
摘要:
慢加急性肝衰竭(ACLF)是临床常见的严重肝病临床症候群,短期病死率高。因此,早期准确评估ACLF患者预后,对临床决策及改善患者预后具有十分重要的意义。本文就近年来ACLF预后评价标志物的研究进展进行综述,旨在完善现有的预后评价体系,帮助临床医生及时给予适当的临床干预措施,进而降低患者病死率。
指南与规范
肝病相关血小板减少症临床管理中国专家共识
国家感染性疾病临床医学研究中心, 北京医学会肝病学分会, 中国老年学和老年医学学会转化医学分会
2023, 39(10): 2307-2320. DOI: 10.3969/j.issn.1001-5256.2023.10.007
摘要(5079) HTML (2170) PDF (1405KB)(1217)
摘要:
肝病相关血小板减少症指肝病或肝病治疗所致的血小板减少症,发生率与肝病病程及严重程度相关。血小板减少症对肝病患者临床结局的直接影响是出血风险增加,间接影响涉及因潜在出血风险导致的治疗延迟或终止。肝病相关血小板减少症的病理生理机制涉及血小板生成减少、分布异常、破坏或消耗增加等。目前,针对不同机制的治疗策略包括促血小板生成药物、手术、免疫抑制药物及输注血小板等,但临床应用有待进一步规范。为提升我国肝病相关血小板减少症在诊断、分型及治疗方案合理选择等方面的临床管理水平,国家感染性疾病临床医学研究中心组织专家,参考领域最新循证医学证据,讨论制定了本共识。
《2023年欧洲肝病学会临床实践指南:慢加急性肝衰竭》摘译
徐曼曼, 耿楠, 陈煜
2023, 39(10): 2321-2327. DOI: 10.3969/j.issn.1001-5256.2023.10.008
摘要(1749) HTML (1253) PDF (618KB)(403)
摘要:
慢加急性肝衰竭(ACLF)是肝硬化急性失代偿的一种严重形式,以多器官功能衰竭、系统性炎症反应、短期高病死率为特征。2023年欧洲肝病学会“慢加急性肝衰竭临床实践指南”为临床医生提供建议,旨在帮助临床医生诊断ACLF,作出分诊决定(是否需要转入ICU治疗),识别和管理急性诱发因素,识别需要支持或替代治疗的器官,定义ICU治疗无效的潜在标准,并确定肝移植的潜在适应证。本文对该指南中上述主要内容进行摘译。
《2023年欧洲肝病学会临床实践指南:妊娠期肝病的管理》摘译
周冠伦, 鞠宇豪, 许静, 张萍, 韩国荣
2023, 39(10): 2328-2335. DOI: 10.3969/j.issn.1001-5256.2023.10.009
摘要(1349) HTML (541) PDF (628KB)(270)
摘要:
近日,欧洲肝病学会主持制定了“妊娠期肝病的管理临床实践指南”,该指南包括105项妊娠期肝病临床管理的推荐意见。本文对该指南的主要内容进行中文摘译。
《2023年国际多学科专家共识: 代谢相关脂肪性肝病和心血管疾病风险》摘译
周晓东, 田娜, 郑明华
2023, 39(10): 2336-2339. DOI: 10.3969/j.issn.1001-5256.2023.10.010
摘要(4129) HTML (574) PDF (529KB)(510)
摘要:
代谢相关脂肪性肝病(MAFLD)是全球范围内常见的慢性肝病,影响全球超过四分之一的成年人口。MAFLD特征是肝脏脂肪变性和代谢紊乱共存。作为一种代谢功能障碍性疾病,MAFLD与心血管疾病(CVD)有着相似的发病机制。这两种疾病都与肥胖、2型糖尿病和致动脉粥样硬化性血脂异常等公认的心血管危险因素密切相关。越来越多的证据支持MAFLD与CVD之间存在密切联系。然而,作为一种新兴的CVD危险因素,MAFLD与传统的CVD危险因素不同,仍待进一步研究。在这一背景下,本共识使用德尔菲法则,通过两轮调查就MAFLD和CVD风险之间的联系达成一致意见,并探讨了MAFLD与CVD流行病学及临床特征的相关性,以及病理生理机制、监测和管理等一系列问题。‍
肝纤维化及肝硬化
细胞毒性T淋巴细胞来源外泌体抑制肝星状细胞活化的机制
覃川福, 赵雅丽, 龙丽娟, 邱华
2023, 39(10): 2340-2347. DOI: 10.3969/j.issn.1001-5256.2023.10.011
摘要(907) HTML (365) PDF (1118KB)(71)
摘要:
  目的  探讨细胞毒性T淋巴细胞(CTL)来源外泌体能否下调HBx表达从而抑制肝星状细胞(HSC)活化。  方法  收集HepG2、HepGA14、CTL细胞上清液提取外泌体(分别简写为NC-exo、HBV-exo、CTL-exo),透射电镜观察其形态,Western Blot检测外泌体标志物CD63和TSG101的表达。将氟硼二吡咯染料(BODIPY)标记的NC-exo、HBV-exo以及CTL-exo与HBV-exo按不同比例混合后,分别与HSC LX-2(HSC-LX2)共培养,荧光显微镜观察外泌体能否进入LX-2细胞,倒置显微镜观察细胞形态学改变,实时荧光定量PCR (qPCR)检测LX-2细胞中TGF-β1、α-平滑肌肌动蛋白(α-SMA)、Ⅰ型胶原蛋白(Collagen1)等活化生物标志物的表达。将CTL-exo加入到HepGA14培养体系中,qPCR检测HepGA14细胞内HBV DNA、cccDNA及外泌体中HBx mRNA表达水平,Western Blot检测外泌体HBx蛋白表达水平。符合正态分布的计量资料两组间比较采用成组t检验,多组间比较采用单因素方差分析,进一步两两比较采用LSD-t检验。  结果  外泌体均为双层膜结构的微囊,呈圆形或椭圆形,囊泡的直径为50~100 nm,表达标志性蛋白CD63和TSG101。荧光显微镜观察示外泌体可进入LX-2细胞,并且HBV-exo进入LX-2细胞后,HSC胞体增大、胞突伸展。qPCR结果示NC-exo、HBV-exo、NC-exo+HBV-exo和Con组LX-2细胞中TGF-β1、α-SMA、Collagen1基因表达水平差异均有统计学意义(F值分别为444.678、417.144、571.508,P值均<0.05)。CTL-exo干预HepGA14细胞后,qPCR结果显示HepGA14细胞中HBV DNA、cccDNA表达水平较对照组明显下降(P值均<0.05),外泌体中HBx mRNA相对表达量明显下降(P<0.05);HBx蛋白表达水平与对照组相比也明显下降,差异有统计学意义(P<0.05)。CTL-exo和HBV-exo按照不同比例(2∶1、5∶1、10∶1)进行混合后干预LX-2细胞,qPCR结果显示各组间LX-2细胞中TGF-β1、α-SMA和Collagen1基因表达随着CTL-exo比例的增加而逐渐减弱,差异有统计学意义(P值均<0.05)。  结论  CTL-exo可下调HBV-exo中HBx蛋白表达抑制HSC活化,提示CTL-exo有抗乙型肝炎肝纤维化作用。
基于胆汁酸代谢组学探讨复方大黄煎剂保留灌肠对轻微型肝性脑病大鼠模型的治疗作用
杜沅沁, 王萌, 黄国初, 姚春, 钟瑞熙, 黄良江, 徐健, 黄晶晶, 谭钦文, 毛德文
2023, 39(10): 2348-2357. DOI: 10.3969/j.issn.1001-5256.2023.10.012
摘要(1000) HTML (372) PDF (1663KB)(65)
摘要:
  目的  观察大黄煎剂保留灌肠对轻微型肝性脑病(MHE)大鼠模型的治疗作用,并基于胆汁酸(BA)代谢组学探讨其作用机制。  方法  将55只雄性SD大鼠随机分为空白组(NC组,n=10)、肝性脑病组(HE组,n=15)、轻微型肝性脑病组(MHE组,n=15)和MHE大黄煎剂治疗组(MHEY组,n=15)。腹腔注射CCl4和硫代乙酰胺(TAA)诱导MHE、HE大鼠模型,给药2周后处死。检测血清AST、ALT、ALP、TBil、总胆汁酸(TBA)和血氨的含量;取结肠内容物检测pH值;取肝组织和脑组织进行HE染色观察大鼠肝组织病理形态学改变;取胆汁用LC-MS进行BA靶向代谢组学分析。计量资料多组间比较采用单因素方差分析,进一步两两比较采用LSD-t检验。  结果  与NC组比较,HE组、MHE组寻台潜伏期(造模后、用药后)显著增加,穿台次数显著减少(P值均<0.05);与MHE组相比,MHEY组寻台潜伏期(用药后)显著降低而穿台次数显著增加,HE组寻台潜伏期显著增加而穿台次数显著减少(P值均<0.05)。与NC组比较,HE组和MHE组AST、ALT、ALP、TBil、TBA、血氨及结肠pH值显著增加(P值均<0.05);与MHE组相比,MHEY组AST、ALT、ALP、TBil、TBA及血氨及结肠pH值减少(P值均<0.05),HE组AST、ALT、ALP、TBil、TBA、血氨及结肠pH值增加(P值均<0.05)。MHE组TBA、初级BA和次级BA均低于NC组(P值均<0.05);HE组TBA和初级BA低于MHE组(P值均<0.05);MHEY组TBA、初级BA高于MHE组(P值均<0.05)。MHE组与NC组对比,GCDCA、GUDCA、GHDCA、TCDCA、TUDCA、GLCA和TLCA减少(P值均<0.05),γ-MCA、THCA、7-KDCA、AlloLCA、α-MCA增加(P值均<0.05)。MHEY组与MHE组对比,THDCA、TMCA、TCDCA、TUDCA和TLCA增加(P值均<0.05)。  结论  大黄煎剂保留灌肠可通过调节BA肠-肝循环改善CCl4和TAA诱导的MHE大鼠模型肝损伤和认知功能,其作用机制可能与牛磺酸结合BA合成增加有关。
肝脏肿瘤
非HBV和非HCV感染相关肝细胞癌患者临床特征分析
刘盛芳, 李良平
2023, 39(10): 2358-2365. DOI: 10.3969/j.issn.1001-5256.2023.10.013
摘要(1103) HTML (326) PDF (668KB)(64)
摘要:
  目的  了解非HBV和非HCV相关肝细胞癌(NBNC-HCC)在肝癌中占比变化情况,对NBNC-HCC的临床病理特征进行比较和分析。  方法  选取2011年1月—2021年12月在四川省人民医院诊断的HCC患者3 090例,根据肝炎标志物结果,分为肝炎病毒相关HCC组(n=2 472)和NBNC-HCC组(n=618),NBNC-HCC组患者根据背景肝病以及合并代谢危险因素情况,分为代谢异常HCC组(n=289)、酒精性肝病(ALD)相关HCC组(n=174)和其他HCC组(n=155)。收集所有HCC患者的一般资料、实验室指标、病理结果。计量资料两组间比较采用Mann-Whitney U检验,三组间比较采用Kruskal-Wallis H检验;计数资料组间比较采用χ2检验。NBNC-HCC在HCC中占比变化趋势采用趋势χ2检验。  结果  NBNC-HCC在肝癌患者中的占比从2011年13.7%增加到2021年20.1%(χ2=5.529,P=0.019),NBNC-HCC组与肝炎病毒相关HCC组患者相比,糖尿病和高血压占比较高(28.0% vs 10.3%,χ2=129.482,P<0.001;33.2% vs 15.2%,χ2=105.079,P<0.001),肝硬化和血管侵犯占比较低(44.5% vs 68.4%,χ2=122.563,P<0.001;20.4% vs 29.6%,χ2=7.749,P=0.005),BMI水平较高(Z=-4.015,P<0.001)。与ALD相关HCC组相比,代谢异常HCC组BMI指数较高、FIB-4指数较低、肝硬化比例较低(P值均<0.05)。  结论  NBNC-HCC患者在肝癌中占比呈上升趋势,NBNC-HCC合并肥胖、糖尿病和高血压等代谢危险因素较多。代谢异常HCC组患者可能在无肝硬化时或者肝纤维化早期发生肝癌。
人工合成多肽cSN50.1对肝癌细胞HepG2恶性行为的影响及其机制
辛华, 单洪超, 栾海艳, 阮洋, 杨鑫妍
2023, 39(10): 2366-2374. DOI: 10.3969/j.issn.1001-5256.2023.10.014
摘要(584) HTML (209) PDF (1783KB)(44)
摘要:
  目的  探讨cSN50.1对HepG2细胞增殖、迁移、侵袭和集落形成能力的影响及机制。  方法  将HepG2细胞分为6组:cSN50.1 0 μmol/L、10 μmol/L、30 μmol/L、50 μmol/L、70 μmol/L、90 μmol/L组,采用CCK-8实验研究不同浓度cSN50.1对HepG2细胞增殖的影响,并计算半数抑制浓度(IC50);将HepG2细胞分为4组:cSN50.1 0 μmol/L、10 μmol/L、30 μmol/L、50 μmol/L,采用细胞划痕、Transwell和细胞克隆实验研究不同浓度cSN50.1对HepG2细胞迁移、侵袭和集落形成能力的影响;将HepG2细胞分为3组:Control组、SP600125组(AP-1信号通路抑制剂)和cSN50.1组,研究AP-1信号通路在cSN50.1对肝癌细胞作用中的影响,采用RT-PCR和Western Blot检测CXCL5和TNF-α的表达以及细胞质和细胞核中c-Jun蛋白的表达;将HepG2细胞分为3组:Control组、PDTC组(NF-κB信号通路抑制剂)和cSN50.1组,研究NF-κB信号通路在cSN50.1对肝癌细胞作用中的影响,采用RT-PCR和Western Blot检测CXCL5和TNF-α的表达以及细胞质和细胞核中NF-κB蛋白的表达。多组间比较采用单因素方差分析,进一步两两比较采用SNK-q检验。  结果  与0 μmol/L相比,10 μmol/L组的增殖、迁移、侵袭和集落形成能力无明显变化(P值均>0.05);30 μmol/L组的增殖能力无明显变化(P>0.05),迁移、侵袭和集落形成能力均明显降低(P值均<0.05);50 μmol/L组的增殖、迁移、侵袭和集落形成能力均明显降低(P值均<0.01);70 μmol/L和90 μmol/L组的细胞增殖能力均明显降低(P值均<0.01),但细胞存活率低于50%。与Control组相比,SP600125组、PDTC组和cSN50.1组中CXCL5和TNF-α的基因和蛋白表达均明显降低(P值均<0.05)。与Control组相比,SP600125组、PDTC组和cSN50.1组中细胞核蛋白c-Jun和NF-κB表达均明显降低(P值均<0.05),SP600125组和PDTC组中细胞质蛋白c-Jun和NF-κB表达均明显降低(P值均<0.05),cSN50.1组中细胞质蛋白c-Jun和NF-κB表达明显增高(P<0.05)。  结论  cSN50.1可以抑制肝癌细胞的恶性行为,可抑制肝癌细胞中c-Jun和NF-κB的入核转运来降低CXCL5和TNF-α的表达。
其他肝病
慢加急性肝衰竭:基于起病表现的新型临床分型特征及预后分析
武羽, 董金玲, 徐曼曼, 陈慧娜, 邹怀宾, 白丽, 陈煜
2023, 39(10): 2375-2382. DOI: 10.3969/j.issn.1001-5256.2023.10.015
摘要(1367) HTML (488) PDF (901KB)(107)
摘要:
  目的  分析慢加急性肝衰竭(ACLF)起病时肝内、外器官衰竭特点,探索新型ACLF临床分型特征,为疾病诊治及转归提供依据。  方法  回顾性收集2015年1月—2022年10月于首都医科大学附属北京佑安医院住院治疗的首次确诊为ACLF患者的临床资料。根据起病时肝内、外器官衰竭的情况,将患者分为Ⅰ型和Ⅱ型ACLF。Ⅰ型ACLF为慢性肝病基础上的肝功能衰竭;Ⅱ型ACLF为慢性肝病急性失代偿合并多脏器功能衰竭。分析Ⅰ型和Ⅱ型ACLF患者的临床特征,采用受试者工作特征曲线(ROC曲线)评估MELD、MELD-Na和CLIF-C ACLF评分系统对Ⅰ型和Ⅱ型ACLF患者90天预后的预测价值。符合正态分布的计量资料两组间比较采用成组t检验;非正态分布的计量资料两组间比较采用Wilcoxon秩和检验;计数资料两组间比较采用χ2检验或Fisher精确检验。  结果  共纳入582例ACLF患者,其中Ⅰ型ACLF患者535例,Ⅱ型ACLF患者47例。两组患者的病因均以乙型肝炎和酒精性肝病为主,组间差异均无统计学意义(P值均>0.05)。Ⅰ型ACLF以慢性非肝硬化肝病(28.2%)和代偿性肝硬化(56.8%)为主,Ⅱ型ACLF以代偿性肝硬化(34.0%)和失代偿性肝硬化(61.7%)为主,Ⅰ型和Ⅱ型ACLF患者的肝病基础差异有统计学意义(P<0.001)。Ⅱ型ACLF患者的中位MELD评分、MELD-Na评分和CLIF-C ACLF评分高于Ⅰ型,差异均有统计学意义(P值均<0.001)。Ⅱ型ACLF患者28天和90天病死率分别为38.3%和53.2%,高于Ⅰ型患者的15.5%和27.5%,差异均有统计学意义(P值均<0.001)。对于病程中未进展至多脏器衰竭的Ⅰ型ACLF患者,死亡组MELD评分升高者占63.7%,存活组MELD升高者占10.1%,差异有统计学意义(P<0.001);但是对病情进展至多脏器衰竭的Ⅰ型ACLF患者,在存活组、死亡组间MELD评分变化趋势差异无统计学意义(P>0.05)。在Ⅰ型ACLF患者中,MELD评分、MELD-Na评分和CLIF-C ACLF评分的ROC曲线下面积(AUC)分别为0.735、0.737和0.740,两两比较差异均无统计学意义(P值均>0.05)。在Ⅱ型ACLF患者中,CLIF-C ACLF评分的AUC为0.880,高于MELD评分(AUC=0.560)和MELD-Na评分(AUC=0.513),差异均有统计学意义(P值均<0.01)。  结论  Ⅰ型ACLF与Ⅱ型ACLF的肝病基础、临床特征和预后均存在差异,预后评分系统侧重不同,为新型ACLF临床分型提供了循证医学依据。
外周血淋巴细胞计数在慢加急性肝衰竭短期预后评估中的价值
刘小花, 杨淑娟, 刘瑜珊, 李娟, 张巧, 王亚敏, 闫涛涛, 杨瑗, 赵英仁, 何英利
2023, 39(10): 2383-2389. DOI: 10.3969/j.issn.1001-5256.2023.10.016
摘要(967) HTML (264) PDF (746KB)(69)
摘要:
  目的  探讨慢加急性肝衰竭(ACLF)患者预后影响因素,建立短期预后模型。  方法  回顾2011年1月—2016年12月在西安交通大学第一附属医院感染科住院的247例ACLF患者的基线临床资料。将患者分为生存组及死亡组,比较组间差异,分析预后影响因素,同时建立预后模型,应用受试者工作特征曲线(ROC曲线)评估预测效能并确定最佳截断值。正态分布的计量资料两组间比较采用成组t检验;不服从正态分布的资料两组间比较采用Mann-Whitney U秩和检验;计数资料两组间比较采用Fisher精确检验或Pearson卡方检验。Logistic单因素及多因素分析28天、90天预后相关的独立危险因素。使用Kaplan-Meier方法绘制28天生存曲线。  结果  经纳入及排除标准筛选后共纳入ACLF患者220例,28天生存组148例、死亡组72例,28天无移植生存率67.27%;90天生存组115例、死亡组105例,90天无移植生存率52.27%。Logistic回归分析结果显示女性(OR=2.149,P=0.030)、高MELD评分(OR=1.120,P<0.001)、外周血低淋巴细胞计数(OR=0.411,P=0.002)是影响28天预后的独立危险因素;据此建立影响28天预后的LS-MELD模型:-3.432+0.765×性别-0.890×淋巴细胞计数×10-9+0.113×MELD(性别赋值:男性为1,女性为2)。经ROC曲线确定模型的最佳截断值为0.35,据此将患者分为低LS-MELD组(≤0.35)及高LS-MELD组(>0.35),低LS-MELD组的28天生存率显著高于高LS-MELD组(P<0.001)。  结论  外周血淋巴细胞计数及性别联合MELD评分对ALCF患者的短期预后具有预测价值。
新型冠状病毒肺炎疫情期间长春地区细菌性肝脓肿临床特征分析
田雨, 董美丽, 张雨, 郝点点, 杜佳霖, 温晓玉
2023, 39(10): 2390-2395. DOI: 10.3969/j.issn.1001-5256.2023.10.017
摘要(836) HTML (273) PDF (594KB)(43)
摘要:
  目的  分析长春新型冠状病毒肺炎(新冠)疫情发生期间细菌性肝脓肿患者的临床特征及流行病学特点。  方法  回顾性筛选2022年3月1日—6月30日吉林大学第一医院出院的37 411例患者,最终纳入135例细菌性肝脓肿患者,收集临床资料并总结其临床特点,同时与2019—2021年同期的细菌性肝脓肿患者的发病情况及致病菌群进行比较分析。计量资料多组间比较采用Kruskal-Wallis H检验,计数资料多组间比较应用χ2检验。  结果  细菌性肝脓肿患者占同期本院收治患者的0.36%,较往年有不同程度增长(χ2=32.081,P<0.001)。135例细菌性肝脓肿患者的平均住院时间为11(6~18) d,住院时间较往年延长(H=9.223,P=0.026)。细菌性肝脓肿患者的白细胞计数、C反应蛋白水平较往年升高(H值分别为14.150、8.736,P值分别为0.003、0.033)。有69例(51.11%)患者行血培养,培养结果依次如下:无菌生长(59.42%),肺炎克雷伯菌(30.43%),大肠埃希菌(4.35%),脆弱拟杆菌(1.45%),屎肠球菌(1.45%),表皮葡萄球菌(1.45%),产酸克雷伯菌(1.45%)。有90例(66.67%)患者行脓液培养,培养结果如下:肺炎克雷伯菌(72.22%),无菌生长(14.44%),大肠埃希菌(4.44%),屎肠球菌(2.22%),铜绿假单胞菌(2.22%),鲍曼不动杆菌(1.11%),产气克雷伯菌(1.11%),产酸克雷伯菌(1.11%),铅黄肠球菌(1.11%)。127例(94.07%)患者经抗感染及超声引导下脓肿穿刺引流治疗后,病情好转至痊愈,3例(2.22%)患者在住院期间死亡。  结论  长春新冠疫情期间,本院肝脓肿患者较往年同期增加,住院时间延长,白细胞计数、C反应蛋白水平较往年升高,主要致病菌是肺炎克雷伯菌,大部分患者经治疗后好转。
补体应答基因32在小鼠部分肝切除后肝再生过程中的表达及意义
李兴元, 杨艳芳, 陈琰, 胡文慧, 赵小英, 唐俊明, 孔德营
2023, 39(10): 2396-2405. DOI: 10.3969/j.issn.1001-5256.2023.10.018
摘要(1525) HTML (247) PDF (3088KB)(78)
摘要:
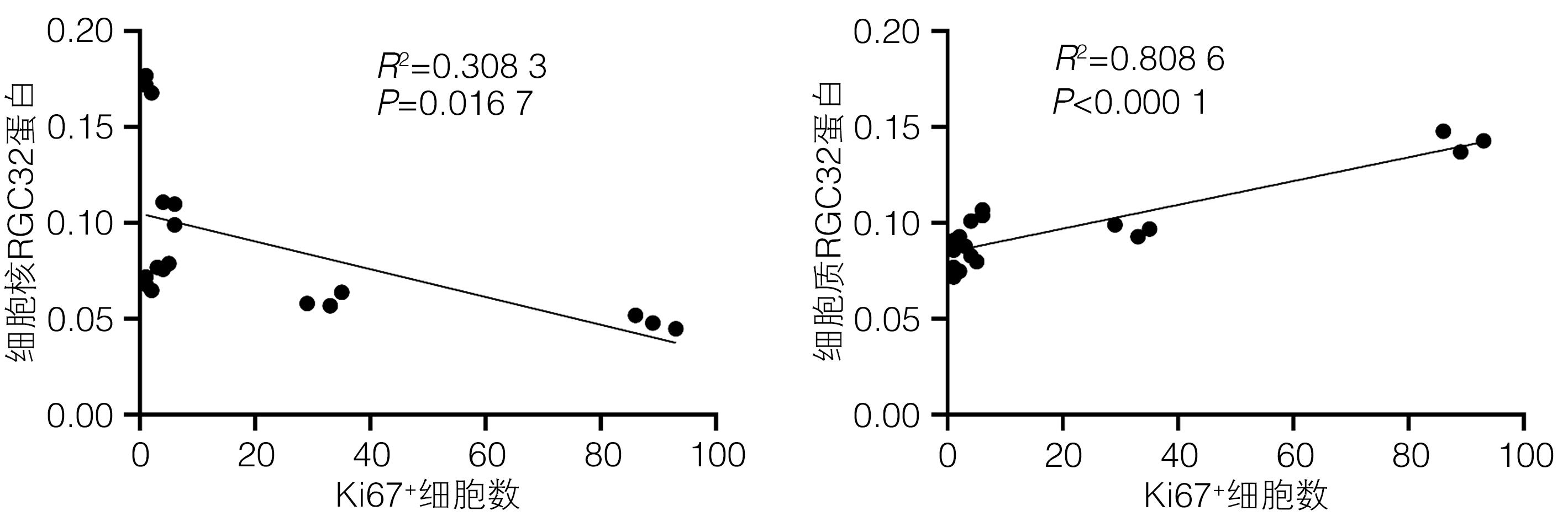
  目的  探讨补体应答基因32(RGC32)在部分肝切除(PH)术后肝再生过程中的表达及作用。  方法  42只10周龄雄性C57BL/6小鼠,随机分为对照组[切除小鼠完整的肝脏称重、拍照作为正常对照(sham组),进一步切除肝左叶和肝中叶后称重、拍照作为手术对照(0 d组),sham组和0 d组共用一组小鼠]、术后1天组(1 d)、术后2天组(2 d)、术后4天组(4 d)、术后6天组(6 d)、术后8天组(8 d)和术后10天组(10 d),每组6只;PH术建模成功后分别于术后1、2、4、6、8、10天处死小鼠,收集小鼠肝脏,检测肝脏大小变化。HE和油红O染色评估肝组织形态学变化,血清ALT、AST检测评价肝功能变化,免疫组化染色检测增殖细胞核抗原(PCNA)和Ki67表达并分析肝再生过程中细胞增殖变化,实时荧光定量PCR和免疫组化染色技术检测肝再生过程中RGC32的表达及其亚细胞分布。EdU细胞增殖实验分析L02细胞过表达或者敲除RGC32对肝细胞增殖的影响。计量资料多组间比较采用方差分析,进一步两两比较采用LSD-t检验;两组间比较采用成组t检验。相关性分析采用Pearson相关分析法。  结果  PH术后肝脏逐渐增大,第0~6天为肝体比(肝脏质量/体质量)上升的高峰期,不同时间点比较差异均有统计学意义(P值均<0.05);第6~10天肝脏大小变化不明显。PH术后肝脏脂滴显著增多,随着肝再生,脂滴减少,且呈现门静脉区和中央静脉区差异化(P值均<0.05)。与sham组比较,PH术后1天,血清ALT、AST水平明显升高(P值均<0.05),随后分别于术后第6天和术后第2天恢复至sham组水平(P值均>0.05)。免疫组化染色结果显示,PH术后PCNA和Ki67阳性肝实质细胞数迅速增多,第2天数目最多,分别为86±5和89±5,随后逐渐减少;而PCNA和Ki67阳性非实质细胞数逐渐增多,第6天才达到高峰,分别为34±5和25±3,随后逐渐减少。PH术后总RGC32表达在第2天升到最高,随后逐渐降低,细胞质RGC32表达变化趋势与之一致;而细胞核RGC32的表达在PH术后第2天降到最低,随后逐渐升高。相关性分析显示,细胞核RGC32的表达与肝实质细胞的增殖呈负相关(R2=0.308 3,P=0.016 7),细胞质RGC32的表达与肝实质细胞的增殖呈正相关(R2=0.808 6,P<0.000 1)。细胞实验显示,与对照组相比,RGC32过表达EdU阳性率减少15.6%(P<0.01),敲低RGC32表达EdU阳性率增加19.2%(P<0.01)。  结论  肝实质细胞和非实质细胞增殖不同步,共同参与了肝脏再生。肝切除术后肝再生过程中,RGC32表达存在核质分布差异,核RGC32对肝细胞增殖具有抑制作用。
胆道疾病
125I腔内照射联合仑伐替尼治疗进展期肝外胆管癌的效果和安全性分析
朱兴书, 陈鹏飞, 张萌帆, 李方正, 陈金威, 张文广, 段旭华, 任建庄, 韩新巍
2023, 39(10): 2406-2412. DOI: 10.3969/j.issn.1001-5256.2023.10.019
摘要(1107) HTML (319) PDF (1005KB)(56)
摘要:
  目的  探讨125I腔内照射联合仑伐替尼治疗进展期肝外胆管癌的有效性和安全性。  方法  回顾性纳入2018年1月—2021年11月于郑州大学第一附属医院介入科就诊的进展期肝外胆管癌患者25例。根据治疗方式分为两组,125I腔内照射联合仑伐替尼组患者13例(联合组)和单纯125I腔内照射组12例(对照组)。记录技术成功率、肝功能变化、支架通畅情况、生存期和不良事件的发生情况。正态分布的计量资料两组间比较采用成组t检验,偏态分布的计量资料两组比较采用Wilcoxon秩和检验,计数资料组间比较采用Fisher确切概率法。采用Kaplan-Meier和Log-rank检验评估生存期和支架通畅情况。  结果  两组所有患者均成功植入胆道支架和125I粒子,技术成功率100%。治疗1个月后,两组患者血清TBil、DBil、ALT和AST显著改善,与治疗前比较差异均有统计学意义(P值均<0.05)。对照组和联合组的中位支架通畅期分别为7.0和9.5个月,差异有统计学意义(P=0.022),中位生存期分别为11.5和15.6个月,差异有统计学意义(P=0.008)。治疗过程中联合组未出现不可耐受的不良事件。  结论  125I腔内照射联合仑伐替尼对比单纯125I腔内照射治疗进展期肝外胆管癌具有更好的疗效,是一种安全、有效的治疗方案。
清热利胆颗粒预防腹腔镜联合胆道镜术后胆总管结石复发的效果分析
李积强, 齐清会, 张桂信
2023, 39(10): 2413-2420. DOI: 10.3969/j.issn.1001-5256.2023.10.020
摘要(945) HTML (364) PDF (747KB)(51)
摘要:
  目的  通过回顾性队列研究分析中药清热利胆颗粒对于腹腔镜联合胆道镜术后胆总管结石复发的预防作用。  方法  纳入大连医科大学附属第一医院2010年1月1日—2020年12月31日行腹腔镜联合胆道镜取石术治疗的胆总管结石(含合并胆囊结石)住院患者共337例。收集患者相关临床资料,并依据随访结果将患者分为暴露组(常规治疗+清热利胆颗粒组)225例与非暴露组(常规治疗组)112例,详细记录两组患者结石复发的相关情况以及中药清热利胆颗粒的服用情况。观察两组患者胆总管结石的复发率及结石复发的时间,并分析胆总管结石复发的危险因素。计量资料符合正态分布时两组间比较采用成组t检验,不符合正态分布时两组间比较采用Mann-Whithey U检验;计数资料两组间比较采用χ2检验或Fisher确切概率法。使用Kaplan-Meier曲线估计两组患者胆总管结石复发的累积概率,两组间比较采用Log-rank检验。  结果  腹腔镜联合胆道镜术后胆总管结石复发26例,其中暴露组12例(5.33%),非暴露组14例(12.5%),暴露组复发率较非暴露组明显降低(χ2=5.394,P=0.020)。暴露组患者结石复发的平均时间为(40.1±26.7)个月,较非暴露组患者的结石复发平均时间(19.2±13.5)个月明显延长(t=2.383,P=0.017)。Kplan-Meier曲线分析显示非暴露组患者不同时间段的累积复发率均高于暴露组(P<0.05)。多因素Logistic回归分析显示胆总管直径≥14 mm(OR=2.935,P=0.031)与多发结石(OR=2.911,P=0.029)是腹腔镜联合胆道镜取石术后胆总管结石复发的独立危险因素。  结论  清热利胆颗粒可以有效降低腹腔镜联合胆道镜术后胆总管结石的复发率,并延长结石复发的时间,具有一定的预防术后结石复发的作用。
腹腔镜下胆道镜联合钬激光碎石术与传统开腹手术治疗胆管结石效果比较的Meta分析
牛向东, 余静, 汪旭云, 陈一锋, 马世勋, 丁国淦, 苗长丰, 王晓鹏, 苏河
2023, 39(10): 2421-2431. DOI: 10.3969/j.issn.1001-5256.2023.10.021
摘要(1034) HTML (376) PDF (2044KB)(70)
摘要:
  目的  通过Meta分析系统评价腹腔镜下胆道镜联合钬激光碎石术的有效性及安全性。  方法  本研究根据PRISMA指南完成,PROSPERO注册号:CRD42023406221。计算机检索中国知网、万方、维普等中文数据库以及PubMed、Embase、Cochrane Library、Web of Science等外文数据库中比较传统开腹手术与腹腔镜联合胆道镜钬激光治疗胆管结石的原始文献,通过优势比(OR)和95%可信区间(95%CI)评估二分类变量,通过加权平均差(WMD)和95%CI评估连续性变量,并对异质性较高结局指标进行敏感性分析。Begg检验和Egger检验用于评估发表偏倚。应用Stata 15.0软件和Review Manager 5.3软件进行统计分析。  结果  纳入来自中国的29项回顾性研究,共2 511例患者。Meta分析结果显示,与传统开腹手术相比,腹腔镜联合胆道镜钬激光治疗胆管结石的手术时间(WMD=-1.26,95%CI:-1.36~-1.16,P<0.001)、住院时间(WMD=-1.93,95%CI:-2.64~-1.12,P<0.001)及肠道功能恢复时间(WMD=-1.52,95%CI:-1.68~-1.35,P<0.001)更短,术中出血量更少(WMD=-1.79,95%CI:-1.93~-1.66,P<0.001),术中残石率更低(OR=0.15,95%CI:0.11~0.20,P<0.001),并发症更少(OR=0.17,95%CI:0.13~0.23,P<0.001)。  结论  相比于传统开腹手术治疗胆管结石,腹腔镜联合胆道镜钬激光治疗胆管结石显示出更好的有效性。
胰腺疾病
改良BISAP评分系统的建立及其在重症急性胰腺炎早期诊断和预后评估中的意义
李蓉洁, 彭依, 唐小龙, 张德才, 刘少俊
2023, 39(10): 2432-2442. DOI: 10.3969/j.issn.1001-5256.2023.10.022
摘要(1191) HTML (434) PDF (907KB)(78)
摘要:
  目的  建立改良BISAP评分系统,比较并分析BISAP评分系统与改良BISAP评分系统对急性胰腺炎(AP)严重程度及病情评估的价值。  方法  新系统的建立:回顾性收集2019年1月—2021年12月中南大学湘雅三医院收治的1 033例AP患者的临床资料。根据修订版Atlanta分级将其分为轻症急性胰腺炎(MAP)组(n=827)和重症急性胰腺炎(SAP)组(n=206),比较两组患者临床特征、实验室指标及影像学资料的差异,将差异有统计学意义的指标进行二元Logistic回归分析,筛选出SAP的独立危险因素,利用受试者特征曲线(ROC曲线)得出各独立危险因素的最大约登指数对应的最佳截断值,并根据不同情况分别赋值为0或1分,结合BISAP评分系统,建立改良BISAP评分系统。新系统验证:回顾性收集2017年1月—2018年12月中南大学湘雅三医院收治的473例AP患者的临床资料,对其进行BISAP评分与改良BISAP评分,利用ROC曲线下面积(AUC)分析比较两个评分系统对AP病情严重程度、预后的预测价值。计数资料应用χ²检验或Fisher精确检验进行两组间比较;计量资料两组间比较采用成组t检验和Mann-Whitney U检验。  结果  新系统的建立:MAP组与SAP组患者在入院方式、住院天数、是否入住ICU、死亡人数、合并基础疾病、出现并发症方面差异均有统计学意义(P值均<0.05)。二元Logistic回归分析显示,体温、NLR、CRP、Alb、TG、D二聚体、纤维蛋白原、MCTSI评分为SAP的独立危险因素(P值均<0.05)。ROC曲线分析显示CRP(AUC=0.921)、NLR(AUC=0.798)、D二聚体(AUC=0.768)及MCTSI评分(AUC=0.931)对SAP有较好的预测价值,且上述四项指标联合预测的AUC为0.976,与单个指标、两项指标联合及三项指标联合相比,其诊断效能更高,且差异有统计学意义(P值均<0.05)。新评分系统验证:共纳入473例患者,其中MAP组408例,SAP组65例。两组患者在入院方式、住院天数、是否入住ICU、死亡人数、出现并发症方面差异有统计学意义(P值均<0.05)。在预测SAP方面,改良BISAP评分优于BISAP评分(AUC:0.972 vs 0.887,P<0.05),改良BISAP评分>3为最佳临界值。改良BISAP评分在预测AP患者死亡方面也有较高价值(AUC=0.910),但与BISAP评分系统(AUC=0.896)比较差异无统计学意义(P=0.707)。  结论  改良BISAP评分在预测AP严重程度方面优于BISAP评分,在预测AP患者死亡方面也有较高的价值,可以比较准确、客观且在早期评估AP患者病情。
综述
热休克蛋白90在HBV复制中的作用
花胤, 方海丽, 刘守胜, 辛永宁, 张梅, 宣世英
2023, 39(10): 2443-2447. DOI: 10.3969/j.issn.1001-5256.2023.10.023
摘要(938) HTML (199) PDF (630KB)(62)
摘要:
HBV传播范围广,慢性感染状态多,治愈率低,提高HBV治愈率有助于改善患者的长期预后状况。热休克蛋白90(Hsp90)是广泛存在于生物体内的一种分子伴侣蛋白。近年来越来越多的研究表明,Hsp90与HBV感染有关,在HBV的复制过程中起重要作用,可与病毒的特定蛋白相互作用促进病毒复制,也可与宿主自身蛋白相互作用来发挥功能。本文就近年来Hsp90在HBV复制中的作用相关研究进展作一综述,以期为以Hsp90为靶点的抗HBV药物研发与HBV防治提供新的理论指导和方向。
妊娠合并戊型肝炎研究进展
钟曼华, 王静月, 黄缘
2023, 39(10): 2448-2453. DOI: 10.3969/j.issn.1001-5256.2023.10.024
摘要(985) HTML (231) PDF (694KB)(101)
摘要:
既往研究显示妊娠合并戊型肝炎病毒(HEV)感染易发展为肝衰竭,还可能伴有流产、死胎和垂直传播等不良结局,尤其是在HEV基因1型和2型流行的国家。我国近年已转为以HEV基因4型为主的散发流行,虽然研究显示我国大多数HEV感染的孕妇没有明显的临床症状,但观察到很高的妊娠不良结局发生率。本综述回顾了近年关于妊娠合并戊型肝炎的相关研究,包括病原学及流行病学、预后、重症化相关机制,以及治疗及预后相关进展,最后对妊娠合并戊型肝炎的筛查及预后评估提出了建议。
代谢相关脂肪性肝病与2型糖尿病的关系及共病机制研究进展
陈兆斌, 黄丽媛, 王炳元, 施军平, 张晶
2023, 39(10): 2454-2459. DOI: 10.3969/j.issn.1001-5256.2023.10.025
摘要(2283) HTML (388) PDF (961KB)(294)
摘要:
代谢相关脂肪性肝病和2型糖尿病发病率日益增长,二者关系密切,且相互作用、相互影响,但其具体机制目前尚未明确,研究表明二者之间可能通过胰岛素抵抗、炎症、部分肝细胞因子、细胞衰老互相促进,同时可通过部分肝细胞因子相互保护,进一步加强对2型糖尿病和代谢相关脂肪性肝病的关系及共病机制的研究,对两种疾病的临床预防、治疗具有十分重要的意义。
经颈静脉肝内门体分流术中联合侧支血管栓塞治疗肝硬化食管胃静脉曲张出血的应用进展与争议
吴琼, 赵连晖, 王广川, 张春清
2023, 39(10): 2460-2463. DOI: 10.3969/j.issn.1001-5256.2023.10.026
摘要(1049) HTML (220) PDF (506KB)(53)
摘要:
经颈静脉肝内门体分流术(TIPS)在国内外指南中被推荐用于肝硬化门静脉高压并发症的治疗,但其在疗效方面仍存在不确定性。越来越多的研究发现TIPS中联合侧支血管栓塞术(TIPS+E)治疗肝硬化门静脉高压食管胃静脉曲张出血具有一定优势。本文归纳了目前国内外TIPS+E的主要研究,总结了该技术现阶段的指南推荐情况及临床应用现状等,并提出了其适应证、血流动力学标准和栓塞材料选择等亟待解决的问题,未来仍需大样本量、多中心随机对照研究进一步明确。
肝硬化再代偿:现状与挑战
冯巩, 宋娟娟, 叶峰, 马永红, 任艺琳, 张子怡, 贺娜, 李雪萍, 弥曼
2023, 39(10): 2464-2469. DOI: 10.3969/j.issn.1001-5256.2023.10.027
摘要(1250) HTML (826) PDF (604KB)(201)
摘要:
传统上,从代偿性肝硬化到失代偿性肝硬化的进展被认为是疾病自然史中的一个不可逆转点,然而,随着潜在病因的抑制、治愈与疾病消退,越来越多的新证据挑战了这一观点,“肝硬化再代偿”的观点逐渐被接受。近年来,关于肝硬化再代偿具体可行的定义及患者的临床特征引发国内外学者的不断探索。本文通过总结近期国内外对“肝硬化再代偿”的研究,整合已有观点并梳理研究证据,指出现阶段再代偿领域面临的挑战主要包括缺乏深层次的临床与基础研究、需定义非酒精性脂肪性肝病背景下的再代偿,以及面临的伦理方面的问题,为该领域未来的研究提供了新的探索方向。
血液代谢标志物在原发性肝癌治疗反应及预后预测中的应用
刘志英, 周智航, 何松
2023, 39(10): 2470-2475. DOI: 10.3969/j.issn.1001-5256.2023.10.028
摘要(1189) HTML (292) PDF (619KB)(83)
摘要:
原发性肝癌是全球严重的癌症负担之一。代谢重编程是癌症的一种表型,血液代谢标志物与代谢重编程密切相关,可以预测肝癌患者复发风险和生存期情况或评估肝癌治疗反应,对于分层管理患者、制订合理治疗策略以及改善患者预后具有重要意义。本文回顾了近年来关于肝癌治疗反应评估和预后预测的血液代谢组学研究,归纳了具有预测意义的血液代谢物并简述其作用机制,分析了该领域的研究现状、存在问题和发展前景。认为芳香族氨基酸、脂质、胆汁酸等代谢物对肝癌预后预测有重要的临床应用价值,且代谢组学技术在寻找有用代谢物方面具有巨大潜力,但存在技术限制、研究不足、多重影响因素等许多有待解决的问题。
天然药食单体防治酒精性肝损伤的研究进展
叶敬榕, 林彦, 段涵怡, 任晓岚, 杨雪, 张凤英
2023, 39(10): 2476-2484. DOI: 10.3969/j.issn.1001-5256.2023.10.029
摘要(2034) HTML (464) PDF (877KB)(117)
摘要:
大量数据显示,酒精性肝损伤(ALI)的患病率呈逐年攀升趋势,且成为肝硬化、肝癌等慢性肝病致死的主要原因之一。现代医学对于ALI的预防主要是通过戒酒,治疗主要是采用具有抗氧化、抗纤维化作用的西药以及后期的营养支持。但西药的整体治疗效果并不理想,仅可缓解初期症状,若ALI较为严重,仍需采取手术治疗。研究表明,从天然药物、食物中提取的单体成分对ALI具有明显的防治作用,且安全性高、获取便利。因此,本文系统地概述了防治ALI的主要天然药食单体,并提出药食联用防治ALI的构想。从关注健康全过程的角度出发,以期探求更为有效的预防、保健及治疗方法,为ALI的防控提供研究思路。
自噬对肝衰竭的保护作用机制与临床价值
胡洋洋, 张兴, 罗越, 王亚东, 赵彩彦
2023, 39(10): 2485-2490. DOI: 10.3969/j.issn.1001-5256.2023.10.030
摘要(1022) HTML (371) PDF (747KB)(80)
摘要:
肝衰竭是一类严重临床肝病症候群,病情危重、病死率高,除肝移植外,缺乏理想的根治性治疗手段。肝衰竭发病机制复杂且尚未完全阐明,多种影响肝细胞坏死与再生平衡的因素参与其中。本文总结了自噬这一维持细胞稳态的关键性途径,指出自噬通过调控NLRP3炎症小体活化、对抗氧化应激、抑制细胞凋亡等多种方式在肝衰竭发病机制中发挥重要保护作用。同时认为外泌体、过氧化物酶体增殖物激活受体α等以自噬为靶点的分子信号通路参与拮抗肝衰竭发生、发展,将成为肝衰竭分子靶向治疗的重要思路和方向。
胆道支架的研究现状
阿布都喀哈尔·阿布都拉, 哈力木拉提·吾布力卡斯木, 段绍斌
2023, 39(10): 2491-2496. DOI: 10.3969/j.issn.1001-5256.2023.10.031
摘要(1668) HTML (1305) PDF (646KB)(158)
摘要:
胆道疾病是我国肝胆系统常见疾病类型,发病率较高,且相关并发症是严重影响患者健康的重要原因。胆道支架主要用于缓解和解除良恶性胆道狭窄和梗阻,具有创伤小、安全性高、符合胆道生理解剖结构等特征,已成为无法根治性切除的胰胆肿瘤引起的胆道梗阻首选姑息型治疗手段。然而,目前常用的胆道支架因细菌黏附、胆汁淤积、支架阻塞、支架迁移等缺点,未能达到理想治疗效果。近年来众多学者对胆道支架堵塞成因、改进支架设计、延长引流时效等方面进行了广泛而深入的研究和尝试,取得了一些进展。本文对各类胆道支架的类型、优缺点及发展史进行综述,并展望了胆道支架未来的研究方向和应用价值。
内镜逆行胰胆管造影术后出血的研究进展
范玲, 傅燕, 刘懿, 黄华, 倪静, 唐娟
2023, 39(10): 2497-2505. DOI: 10.3969/j.issn.1001-5256.2023.10.032
摘要(1114) HTML (616) PDF (731KB)(61)
摘要:
内镜逆行胰胆管造影(ERCP)术后出血多数轻微且具有自限性,但有时仍需要输血以及内镜下止血。然而常规内镜止血治疗后可能发生再次出血,需进行血管介入栓塞或外科手术干预,这些将显著增加ERCP术后出血相关的死亡风险。本文探讨了影响ERCP术后出血的危险因素,包括疾病特定因素、患者相关因素以及操作相关因素,并阐述了预防和治疗ERCP术后出血的不同措施,以期能为临床识别出血高危人群和制订精准手术策略提供参考。
全胰切除联合自体胰岛细胞移植的研究进展
李静静, 赵渊宇, 傅宏, 滕飞, 毛家玺, 郭闻渊
2023, 39(10): 2506-2512. DOI: 10.3969/j.issn.1001-5256.2023.10.033
摘要(1144) HTML (572) PDF (636KB)(55)
摘要:
自20世纪70年代以来,慢性胰腺炎患者已从全胰切除术合并自体胰岛细胞移植中获益。在过去的几十年里,随着外科技术和围手术期管理的不断改进,胰岛细胞功能、胰岛素不依赖率和患者存活率不断得到提高。本文归纳总结了自体胰岛细胞移植的术前适应证、手术操作的发展过程、术后管理监测的把控以及预后评估方面的研究进展。
国外期刊精品文章简介
Hepatology International|表达靶向HBV抗原的TCR-T细胞治疗肝移植后复发的肝细胞癌患者具有良好的安全性和可行性:Ⅰ期临床试验结果
2023, 39(10): 2431-2431. DOI: 10.3969/j.issn.1001-5256.2023.10.gwjpwzjj1
摘要(615) HTML (344) PDF (153KB)(46)
摘要:
消息
《临床肝胆病杂志》获评“2022年百种中国杰出学术期刊”
2023, 39(10): 2347-2347.
摘要(224) HTML (147)
摘要:
《临床肝胆病杂志》综合评价总分在消化病学类核心期刊中连续5年排名第一
2023, 39(10): 2395-2395.
摘要(235) HTML (159)
摘要:
《临床肝胆病杂志》荣获“第四届吉林省高校科技期刊奖·卓越奖”
2023, 39(10): 2505-2505.
摘要(261) HTML (182)
摘要:
致谢
本期审稿专家
2023, 39(10): 2420-2420. DOI: 10.3969/j.issn.1001-5256.2023.10.zhixie1
摘要(472) HTML (254) PDF (110KB)(37)
摘要: